当速度达到光速时,无论多远的距离,在感觉上都是瞬时到达?
在牛顿的绝对时空观中有一个绝对参考系以太的存在!这个所谓的绝对时空观并没有经过严格的科学论证,但在牛顿的权威震慑下,绝对时空观仍然在物理界统治了200年之久!但随着科学的进步,绝对时空观疲态尽显,而迈克尔逊莫雷实验则从根本上打破了这个所谓的绝对参考系以太的存在!

迈克耳逊莫雷实验演示图
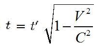
真空中光速是不变的!而关于速度叠加部分:早在爱因斯坦在1905年发表狭义相对论之前,关于速度叠加的就洛仑兹变换就已经揭开了速度的秘密!而爱因斯坦的狭义相对论则从根本上揭示了速度与时间以及质量之间的关系!当然讨论本题,我们只需要一个钟慢效应公式即可!

从上述公式中我们可以很简单的计算出,假如u=c时,那么这个左边的t=0,这是一个比较有趣的结果,因为0表示不需要时间,而t'则是实际到达的时间(距离/速度),这里需要澄清下,可能有很多人搞不清这两个之间的关系!
1、外部观测者看起来需要多少时间
假如以光速前往比邻星,那么4.22光年的距离需要4.22/1=4.22年,这是我们外部观测者所经历的时间,在我们看来这艘飞船所用的时间是4.22年一点都不会少!
2、乘客所经过的时间是多少呢?
就是上述公式中的t=t'×0=0
乘客经过0时间到达比邻星!也就是说乘客不需要时间即到达比邻星!
但事实上光速是不可能到达的,因为光速还有一个质增效应,会使接近光速的飞船质量增加到无穷大,而飞船发动机推力却是有限的!

既然不能到达光速,那么我们假设到达99.999999%光速总可以吧,根据上述公式计算,这个时间交换比将会达到7072倍,那么我们看起来到达比邻星要多久呢?
大约:5.23小时即可到达
看来这个时间还是可以接受的,但事实上我们看到这艘飞船飞到比邻星所花的时间为:
4.2200000422年

一点时间都少不了,该多久就是多久,只不过乘员的感觉的时间短了,而他们在我们这个时空中经过的时间与距离都不会改变!