我们在普通、简单的涵洞设计中,会出现很多错误或者是瑕疵,或多或少总会出现一些问题。主要是不能考虑到多方面的影响因素,并没有理解涵洞真正的设计意图。只要在设计过程中善于总结,不要总在相同的地方犯同样的错误,相信我们的设计能力和效率会更高。来看看大院总结的涵洞设计报告,对设计师非常有帮助。
目前涵洞设计、施工中的主要问题
1、功能性病害

高速公路圆管涵孔径取消1.0和1.25m,采用1.5和1.8m。
原因: 涵底设计高程与实际不符,洞口后期沉降较大,洞口平面与河道衔接不顺,堵塞物清理不及时,涵底纵坡偏小;
措施建议: 涵洞位置及数量应整体考虑、合理布设,尽量减少后期沉降,养护部门及时对洞口、洞内的堵塞物及锥坡长草进行清理;高速公路建议选择孔径不小于1.5m的圆管涵,方便清淤。

】原因: 涵内排水系统不畅或未设置;涵洞净空不足,超高车辆违规通行;管理不善,涵洞遭废弃;
措施建议: 应根据衔接道路实际情况,合理设置纵坡,尽量避免洞身位于凹曲线底部,洞内设置排水设施并保持排水顺畅,养护部门及时疏浚;设置明显的限高标志,必要时设限高门架。
2、技术性病害
各类裂缝


原因: 温度影响和混凝土收缩引起表面短细裂缝;结构厚度偏小、配筋不够、超载和不均匀沉降等原因引起结构性裂缝;施工措施不当导致施工裂缝;
措施: 采用更合理的结构尺寸和配筋率(适当考虑超载影响),加强防裂钢筋网的设置;严格施工措施,保证施工质量;

原因: 不均匀沉降引起错台现象;填缝料填塞不密实、老化脱落致使沉降缝渗水,水流将台背回填砂带出,产生涌砂现象,造成台背淘空。
措施建议: 填缝料宜采用热沥青浸泡麻絮,不宜采用乳化沥青浸泡;盖板涵的预制盖板顶面加铺油毛毡层;盖板涵、箱涵台后回填砂改为非黏性土。
3、其他病害 主要解决混凝土剥落的问题;在八字墙边缘外加铺2m长的铺砌,解决洞口铺砌冲刷的问题。诸如软基段涵洞两侧出现明显的跳车现象;通道口积水现象,洞口的横向排水沟及其盖板破损较严重等。
明涵与暗涵计算的区别
1.恒载:
①.明涵恒载一般仅包括桥面铺装、护栏等附属构造及自重;
②.暗涵恒载主要包括填土的重力和自重;
③.暗涵填土的重力与填土高度H成正比,其竖向和水平压力强度随着填土高度的增加而线性增加。
2.活载:明涵与暗涵均采用车辆荷载进行计算;
3.汽车冲击力:明涵需计汽车冲击力,暗涵不计;
4.横向车道布载系数:

涵洞上方横向布置多车道车辆荷载时,暗涵与明涵均需考虑车辆荷载的折减,布设一条车道车辆荷载时,应考虑车辆荷载的提高;
5.荷载分布宽度:
直接影响涵洞所受竖向和水平压力强度标准值的大小
①.明涵计算步骤与小桥大致相同,但与桥不同的是,涵洞采用的汽车荷载是车辆荷载,而桥梁采用车道荷载,仅在局部加载时采用车辆荷载;
②.明涵的车轮分布宽度计算详见《公路钢筋混凝土及预应力桥涵设计规范》(JTG 3362-2018)第4.2.3条;

③.暗涵的车轮分布宽度计算详见《公路涵洞设计规范》(JTG/T 3365-02-2020)第9.2.1条:车轮按其着地面积的边缘向下作30°角扩散,当几个车轮的压力扩散线相重叠时, 则扩散面积以最外边的扩散线为准。


比较来说: 暗涵所受车辆荷载作用力随着填土高度的增加而减小。
涵洞结构计算
(1) 涵洞的泄水能力及水力计算


(2) 圆管涵
根据《07涵洞细则》,混凝土圆管涵的设计仅考虑车辆荷载、圆管涵自重和填土产生的等效荷载的作用组合。不计算管壁环向压力和径向剪力,仅考虑弯矩作用效应。

混凝土圆管涵结构应按《04桥规》的规定进行承载能力极限状态的承载能力(强度)和正常使用极限状态下的裂缝宽度的验算。
(3) 盖板涵(EXCEL表格计算)


1)盖板的长度与宽度之比大于等于2时,按简支单向板计算。
2)分离式涵台:作为上下端简支的竖梁计算。
3)整体式涵台身按上端与盖板不可移动的铰接、下端与基础固结计算。
现浇盖板的合理宽度:


L0=2、4、6m盖板涵,当B1=400cm,现浇板钢筋含量与预制单向板钢筋含量相差不大,取B1=400m是经济合理的且现浇板宽不至于过小。
(4) 箱涵


① 采用矩形框架超静定结构计算,涵底地基反力假设为直线分布。
② 边界条件:刚性约束底板水平方向位移。
③ 考虑车辆荷载、覆土竖向压力、台侧主动土压力和涵身自重;不考虑剪切变形、砼收缩效应,涵体内外的温度变化按±15℃考虑。
④ 荷载施加:横、纵向车轮布置按公路的车辆荷载方式布置。
斜交箱涵整体扭转



斜交角度≥30°时,斜交箱涵的整体扭矩较大,对于斜交角度≥30°(不推荐采用一字墙)。
(一字墙计算)

单元类型:板单元
边界条件:涵身侧固结,不考虑墙前土体对一字墙约束。
荷载:一字墙自重、墙后主动土压力(分解为:垂直于墙面的正压力和平行于墙面的摩擦力),不考虑墙前被动土压力,考虑地震作用。
配筋率:≤166kg/m3
(5) 拱涵(全断面计算模型)

1)拱圈按无铰拱计算,矢跨比采用1/2。拱脚与涵台身固结,涵台身与整体式基础固结,形成弹性框架结构解算内力。
2)边界条件:在拱圈侧、涵台侧、基础底设置弹性支撑。
3)不考虑曲率、剪切变形、温度作用效应和混凝土收缩效应,考虑弹性压缩的影响。
4)不考虑车辆荷载,仅考虑覆土竖向压力、台侧主动土压力和涵身自重。
拱圈弹性压缩的影响,弹性压缩对内力的影响不可忽略。


矢跨比分析:失跨比采用1/2 对拱圈受力有利。

地基类型不同,m值影响:
若考虑涵台、地基与拱圈的共同作用,地基抗力系数对拱圈和底板内力产生较大的影响。
右表为不同m值在覆土竖向压力作用下拱圈和底板内力变化的比较。
①m值增大,拱圈、底板的内力、应力均减小(拱圈轴力除外),台身应力也减小,但基底压力增大。
②m值增大,拱顶正弯矩减小,拱脚负弯矩减小并有可能变成正弯矩。
③设计可取m=80000kN/m4 进行计算。

(6) 八字墙


1)单元类型:实体单元
2)边界条件:基础底为竖向只受压;约束基础侧的水平向线位移;
3)荷载:八字墙自重、墙后(含基础)主动土压力(分解为:垂直于墙面的正压力和平行于墙面的摩擦力) 、考虑地震作用;
4)结构尺寸调整:墙顶厚度由原来的40cm增加至55cm,台背斜度由4:1调整为3.5:1;基底应力不大于200kpa。
5)八字墙张角:考虑墙后土压力的影响,对盖板涵、箱涵和拱涵,因墙高较高,张角取为20°;圆管涵因墙高较矮,张角取为30°。
涵洞研究总结
●以往涵洞地基承载力基本容许值的计算直接采用上部荷载所产生地基应力,没有考虑侧填土对地基容许承载力的提高作用,使得涵洞地基加固设计偏于保守,造成较大的投资浪费。
●以涵洞地基工后沉降不大于20cm为控制条件,在不同的地基条件和涵顶填土高度情况下,按沉降控制的地基承载力容许值均大于规范公式修正值。
●涵洞顶土压力:涵洞位置最大土压力为516.4kPa,一般路堤处土压力值为364.4kPa,则马斯顿效应的涵洞荷载放大系数为1.31。
●当基础底板与涵身线刚比λ越大,涵身外侧受拉弯矩越小,底板节点下侧受拉弯矩越小,底板跨中上侧受拉弯矩则越大。



七种配筋类型中,类型1-a造价最低,类型1-c与类型2每延米造价基本相当,造价较高的为类型1-b、类型3和类型4。
台身基础底面采用圬工结构,基础顶面采用钢筋砼结构具有经济性。全部采用钢筋砼结构经济性最差。
调整基础与台身线刚度比,使得台身受力偏心距接近并小于第一类偏压偏心距限值最为经济。
涵洞跨径D、填土高度H、沟谷宽度B、地基土模量Ed与Ks值正相关,填土模量Et、沟谷坡度α与Ks值负相关。随着填土高度H的增加,涵洞垂直土压力集中系数Ks值呈逐渐增大,当H/D=2.5~5时为最大,之后趋于稳定并略有减小。沟谷地形的坡体在一定程度上分担了涵顶土柱重量,降低了涵顶垂直土压力的应力集中,因此建议工程实际中尽可能保留沟槽。

目前针对高填方涵洞的减载措施大都是通过调整涵顶平面上覆填土的沉降,来实现将作用在涵顶的填土荷载向台背外侧填土转移,以减小涵顶荷载的目的。
涵洞的主要减载措施有:中松侧实法、提高涵台背后填土压实度或采用低压缩性材料、采用柔性填料(EPS)、先填后挖法、加筋减载法。对涵洞地基进行加固处理时,地基加固后的模量不宜过高,在满足地基承载力要求的基础上,应尽量采用柔性的地基处理方法。
盖板涵和箱涵的台后填土采用非黏性土,不只限于中粗砂、石屑、碎石等。

圆管涵、盖板涵和拱涵,填土高度扩展至20m。箱涵,填土高度扩展至6m。净跨径增加至6m跨径。
为减弱洞口处冲刷,洞口铺砌宜向外延伸2m。
对沉降缝需采取特殊的防水、防漏砂措施。
涵顶底板主筋未设置起弯,优化后主筋数量增加较少,更容易保证结点附近的斜截面抗弯承载力,且施工更便利。
注意事项
(1) 圆管涵
1)填土高度为0.5m~20m。
2)圆管涵参考图适用于圆管涵纵坡≤3%的情况。
3)圆管涵参考图的洞口形式为八字墙,八字墙按1:1.5和1:1.75的边坡坡率进行设计。
4)汽车荷载为公路-Ⅱ级。
5)圆管涵标准节段长度为1.0m,在考虑现场吊装能力后,可适当加长预制管节以加快施工进度。

(2) 盖板涵
1)填土高度为0.5m~20.0m。
2)汽车荷载为公路-Ⅱ级。
3)涵洞基础分为分离式和整体式,可根据实际涵洞基底的地基承载力基本容许值[fa0]选用。
4)盖板涵参考图的洞口形式为八字墙,八字墙按1:1.5和1:1.75的边坡坡率进行设计。
5)盖板涵参考图适用于涵洞纵坡≤5%的情况。
6)当通道涵周边的地下水位高于涵底标高较大时,应考虑地下水的浮力影响,根据工程的具体情况做专门的抗浮设计。
7)盖板涵参考图提供的现浇正交盖板标准宽度为400cm;当现浇正交盖板宽度B1<400cm时,可参照B1=400cm盖板钢筋构造图中提供的配筋原则进行施工;当B1>400cm时,应重新进行盖板的配筋计算。
8)端部预制斜交盖板仅适用于斜度θ≤15°的涵洞。


(3) 箱涵
1)无压力式单孔箱涵填土高度0.5~6.0m。
2)箱涵主要适用于软土地基、经处理后承载力仍偏低的特殊地基及受路面标高、洞口两端连接线标高限制导致建筑高度受限的通道涵。
3)八字翼墙按路基边坡为1:1.5进行设计的尺寸。
4)箱涵洞口形式分为八字翼墙和一字翼墙两种型式。八字翼墙适用于0°~45°的箱涵,一字翼墙适用于0°~25°的箱涵,两种洞口型式可自行选择使用。当斜交角为30°~45°时,考虑到端部涵段的整体滑移稳定性,洞口可采用八字翼墙,不推荐采用一字翼墙。




(4) 拱涵
1)拱涵适用于单孔涵洞,分3种型式:通道拱涵、过水拱涵、过人兼过水拱涵。涵洞净高H0为2.0m的拱涵仅作为过水拱涵使用。
2)拱涵主要适用于填土高度较大、地基条件好(地基承载力基本容许值[fa0]≥400kPa),同时建筑高度不受限的涵洞,不适用于土质地基。
3)若为岩石地基,可考虑采用分离式基础,需结合具体项目另行设计。
4)当拱涵轴线与道路设计线斜交时,可适当延伸涵洞长度,采取“斜交正做”的处理方式。
5)公路-Ⅱ级时可参照使用。
6)拱涵适用于涵顶填土高度8~20m的涵洞设计,小于8m填土时,考虑经济适用性,一般建议采用盖板涵设计。


(5) 其他施工注意事项
1)涵洞完成后,基底混凝土强度应达到设计强度的85%时,方可进行回填。涵身两侧的墙背填土要求严格夯实。洞身两侧填土应严格对称均衡,水平分层夯实,其每侧长度不应小于洞身两侧填土高度的一倍,压实度不小于96%。涵洞两侧紧靠涵台部分的回填土不宜采用大型机械进行压实施工,宜采用人工配合小型机械的方法夯填密实。
2)施工中当涵洞上填土高度不足0.5m时,严禁采用振动或碾压设备对涵顶和涵洞范围内的填土进行碾压;填土高度不足1.0m时,采用人工或小型机具夯填;填土高度超过1.0m时,方可采用机械填筑。对于拱涵,填土高度不足3.0m时,压路机通过涵洞顶时,必须静压通过,禁止开振动器。
3)基底地基土承载力检测:采用轻便动力触探、静力触探等方法对涵洞基底地基土的承载力进行检测,检测频率一般情况下每10~20m布置一个断面,每个涵洞不少于三个断面,每个断面不少于三个检测点,地质条件复杂时适当加密。
涵长计算注意点:
对于正交涵洞,用《见习日记》中或者《铁路小桥涵设计》中记录的公式,正确计算涵洞长度;对于斜交涵洞,用《标准图》中的公式,正确计算涵洞长度。
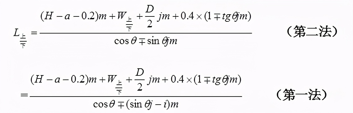
斜交斜做盖板涵入口靠上坡端涵长计算(采用第二法计算——对于陡坡涵洞)公式为:

涵洞涵身分节:
首先确定出入口定长,(正交)一般情况翼墙式洞门为1米,端墙式洞门为2米,(斜交定长查斜交涵洞兰图中的Bo值)然后,按3米或2米的涵节分节,沉降缝一般设置为3厘米。用适当的涵节加沉降缝加出入口定长凑足涵长,不够或多出部分,用最后一节涵节变化满足,应保证宁长勿短的要求。具体计算公式为:
整个涵长=1(或2)+n×涵节长度+(n+1)×0.03+1(或2)
涵洞数量计算及查表:
注意,在查表时,涵身数量等于表中所查数据乘以各涵节相加的涵身长,而不是乘以总涵长;出入口数量计算时,应注意是否有提高节,当有提高节时,可以直接用查到的出口加上入口数量即可;若无提高节,则用出口数量乘以2则为出入口数量。
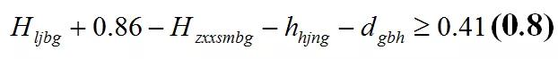
标高控制设计 时,必须满足轨底至盖板顶≥0.41(0.8)米的最低要求,用公式表示为:

上式中:

用上式求出最大的泄水面标高后,再根据拟订的泄水面坡度,反推到上游路肩垂直对下来的泄水面处的标高,再用上式检算是否满足大于等于0.41的要求,如不满足,应适当降低泄水面标高,直到刚好满足时为最佳(因为此时既满足规范要求,又做到了尽量少开挖基础)。
帽石宽度:
孔跨为2m及以下的帽石宽度为0.4m;
孔跨为>2m的帽石宽度为0.45m。
“ 路基中心处轨底至梯形盖板顶的高度 ”是指路基中心处的轨底标高至上(下)游入(出)口梯形盖板顶的高度,可以用轨底标高减去入(出)口的泄水面标高,再减去箱涵结构高度和出入口处的梯形盖板厚度即可得到。
高填土的涵洞设计:
对于高填土的涵洞,我院的涵洞程序暂时还不能直接对其进行计算和CAD成图,所以,必须先将其压底之后(压到可以生成图形的范围内,即压到数据库内有为止)用GBH程序生成后,再将填土高反抬上去。具体压底填土高的办法为:已知高填方的涵洞一般情况下从路肩以下8米边坡坡率为1:1.5;8米以下为1:1.75。如压底a米(a<=8)则增加的路肩宽度为Wj=1.5×a+b+a×(1.75-1.5)米(b为变坡率时留出的平台宽度,a×(1.75-1.5)为压底路肩后按规定放坡后由于1.75和1.5边坡不同引起的差值)如图;若a>8米,则Wj=8×1.5+b+(a-8)×1.75+H×(1.75-1.5)。以上是用本人推出的第一法公式求得的加宽路肩公式;H为压底后剩余填方高度。


第二法为:
(1)a<=8米时,Wj=a×1.75+b
(2)a>8米时,Wj= a×1.75+b
基础需要换填时的考虑
一般情况下,基础大多数为150Kpa以上的砂粘土及各类岩石,所以不需要换填。当基础所在层的地质提供应力小于150Kpa时,(比如大多数情况下外业给的是120Kpa),就需要对基础进行基础换填,一般情况为换填砂夹卵石,其换填深度公式为:

另外设计过程中应详细思考,特别是在查表时,应该先将要查的那一页细看,并且完整的看一遍之后,再开始查用数据,方才可靠!
涵洞设计与放样
涵洞放样:
根据涵洞设计图,在实地上把涵洞的中心线先确定下来。根据涵洞设计尺寸,把涵洞的基础、涵身、洞口基础、洞口墙身在实地上放样出来,用桩做标记,并用白灰划线。

一、涵洞中心线的确定
仪器立在涵洞中桩,根据设计的斜交角度,旋转水平度盘至涵洞中心线方向,在该方向上定出涵洞的L上和L下长度,定桩。在远离涵长的该方向上确定四个方向桩(A、B、C、D),上下游各两个,注意在订桩时应该使桩相对固定。
二、涵身基础的放样
涵身基础的放样是依据涵洞中线与涵洞设计图里的基础尺寸,利用经纬仪和钢尺在实地上确定基础的轮廓线。
如图,基础放样的步骤如下:

1、立仪于O点,瞄准线路方向,拨转涵洞角度,量取距离1/2,订出涵洞上游长度A点,同理定出B点。
2、立仪于A点,瞄准O点,旋转90度方向,量取1/2,订出台基内侧边缘点1。
3、从1点在该方向上量取a,订出2点。同理订出3、4点。
4、在1、2、3、4点订桩并用白灰把四点连线,涵身的基础线则放样完毕。
5、同理可以放出另一侧的涵身基础线。
三、台身的放样
据上图在基础样放完后,在基础线内量取台身的尺寸并划线。
四、洞口放样
举例洞口为八字翼墙的放样方法,如下图。

步骤:
1、立经纬仪于A点,对中、整平。
2、瞄准涵台台身内侧方向,倒镜1800,拨转300为翼墙方向,在该方向上量取设计图尺寸

得墙身顶端内侧边缘点。
3、继续旋转水平度盘600,从A点量取距离2,再量距离3,再量距离4,倒镜1800,从A量取距离1。
4、同理,可以得出洞口端部的5个点。
5、最外的两条线为基础轮廓线,靠近的两条为墙身底部线,中间等宽的部位为墙顶线。用桩订设,划白灰线。
涵洞的各构造物的端点的坐标也可通过涵洞中桩的坐标进行计算,用全站仪进行坐标放样,测定各端点。
文章内容来自网络,如有侵权,请联系删除。
关注“艾三维技术”微信公众号,免费获得BIM软件7天免费试用和13个BIM软件系列教程,还有精彩案例,BIM解决方案,定期发送!