
提要
分类讨论是初中数学中煎要的思想之一,解答分类讨论的问题,要求学生必须具备坚实的基础知识和基本技能。学生在审题过程中不注意进行全面的分析与查找,常会遗漏个别符合题意的结果,导致解答不完整。分类讨论的实质是化繁为简,将一个复杂的问题分为几个简单的问题,分而治之。
知识全解
一.分类讨论思想的概念
分类讨论思想是一种最基本的解决问题的思维策略,就是把要研究的数学对象按照标准划分为若干不同的类别,然后逐类进行研究求解的一种数学解题思想。但是问题不能以统一的同一种方法处理或同一形式来表述,概括时,根据数学对象的本质属性的相同点和不同点,再按照一定的原则或某一确定的标准,在比较的基础上,将对象划分为若干个既有联系又有区别的部分,进行逐类讨论,最后把几类结论汇总,从而得出问题的答案。
二、引起分类讨论的原因
分类讨论思想贯穿整个中学数学的全部内容中,初中阶段数*运学**用分类讨论思想解决的数学问题,其引起分类的原因主要可以归结为以下几个方面.
(1)概念本身是分类定义的,如绝对值等
(2)问题中涉及的教学定理、公式或运算性质、法则是有条件或范围是限制的,或者是分类给出的
(3)含有字母系数(参数)的问题,有时需对该字母的不同取值范围进行讨论
(4)某些不确定的数量、不确定的图形的形状或位置、不确定的结论等都要进行分类讨论
三.通常解答分类讨论型问题的一般步骤如下
(1)确定分类对象
(2)对问题中的某些条件进行分类,要遵循同一标准,进行合理分类。(需理清分类的界限,选择分类标准,并做到不重复,不遗漏)
(3)逐类进行讨论(有时分类并不是一次完成的,还须进行逐级分类,对于不同级的分类,其分类标准不一定统一)
(4)对各类讨论结果进行归纳,并加以整合,归纳出结论,运用分类讨论思想解决问题时要在确保正确的基础上尽量减少分类,使问题解决过程简洁化
经典例题
类型1 由限制条件或范围引起的分类
例1 如图所示,在△ABC中,AB=AC,中线BD把△ABC的周长分为15和6两部分,求△ABC各边的长

【解析】设AD=CD=x,则AB=AC=2x,
当AB+AD=15,BC+ CD =6时,得2x+x= 15,x=5,BC=1
所以三角形的三边长为10、10、1;
当AB+AD=6,BC+CD=15时,得2x+x=6,x=2,BC=13,
所以三角形的三边长为4、4、13
因为4+4<13,所以不能构成三角形,
因此△ABC的三边长为AB=AC=10,BC=1。
【点评】解答此类问题时,要注意分情况讨论,以防漏解,同时要加强对于三角形*特中**殊线段的性质的理解及运用
类型2 含有字母的分类
例2 设a是有理数,则|a| -a的值( )
A.是负数 B.是非负数 C.是正数 D.可以是正数也可以是负数
【解析】由于题中没有给出a是正数、负数还是0,故需分情况讨论
当a为正数时,|a| -a=a-a=0
当a为负数时,|a| -a= -a-a= -2a>0
当a为0时,|a| -a=0-0=0
综上所述,|a| -a≥0,故选B。
【点评】当被研究的问题包含多种情形,不能一概而论时,必须按可能出现的所有情形来分别讨论,得出各种情形下相应的结论,这种处理问题的思维方法称为分类思想。运用它可以克服思维的片面性,有效地考查学生思维的全面性与严谨性。
类型3 对各类问题的不确定性进行分类
例3 如图所示,⊙O的半径为3cm,B为⊙O外一点,OB交⊙O于点A,AB= OA,动点P从点A出发,以πcms的速度在⊙O上按逆时针方向运动一周回到点A立即停止.当点P运动的时间为_____s时,BP与⊙O相切

【解析】点P在⊙O上运动过程中,BP与⊙O相切会出现在两个不同的位置上:
①当点P运动到直线OA的上方时,若BP与⊙O相切,连接OP,则∠OPB=90度
∵OP=OA =AB,∴∠B=30度,∴∠ POA =60度
∴劣弧AP的长为60π×3/180=π(cm)
∴点P运动的时间为1s
②当点P运动到直线OA的下方点P’位置时,若BP'与⊙O相切,连接OP'。同①,可得∠P'OA=60度。
∴优弧APP’的长为(360-60)π×3/180=5π(cm)
∴点P运动的时间为5s.故填1或5.
【点评】除了上述类型外,压轴题中的存在性问题和探究性问题也经常要对不同的情况进行讨论,这里由于篇幅的原因,就不一一叙述了。总之,应用分类讨论思想解题时,必须明确分类的依据,保证分类标准前后一致,另外分出的各类情况应该既不重复也无遗漏。
真题演练
例1 三角形三边之间的关系
己知等腰三角形的两边长分别为5和6,则这个等腰三角形的周长为( )
A.11 B.16 C. 1 7 D.16或17
【解析】①等腰三角形的腰为5,底为6时,周长为5+5+6=16;
②当等腰三角形的腰为6,底为5时,周长为5+6+6-17
故这个等腰三角形的周长为16或17,故选D.
【点评】在解答此题时要注惠进行分类讨论,判断能否构成三角形的简单方法是看较短两条线段的和是否大于最长的线段,若大于,则能构成三角形;反之不能。
例2 圆中分类讨论
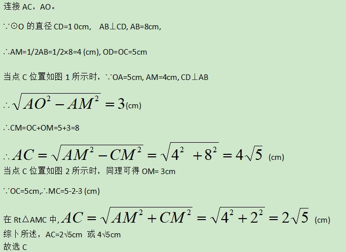
已知⊙O的直径CD=10cm,AB是⊙O的弦,AB⊥CD,垂足为M,且AB=8cm,则AC的长为( ).
A.2√5cm B.4√5cm C.2√5cm 或4√5cm D.2√3cm 或√3cm
【解析】先根据题意画出图形,由于点C的位置不能确定,故应分两种情况进行讨论

图1 图2

【点评】解决圆的有关双解问题时,当没有图形时,应该根据题意仔细画出图形;当有图形时,要根据题意注惠兼顾到每一种情况,把缺少的图形画出来帮助分析题意,尽量避免因思维定势造成漏解的情形。
例3点、线的运动变化引起的分类
如图所示,在直角坐标系中,Rt△OAB的直角顶点A在x轴上,OA=4,AB=3,动点M从点A出发,以每秒1个单位长度的速度,沿AO向终点O移动,同时点N从点O出发,以每秒1.25个单位长度的速度,沿OB向终点B移动。当两个动点运动了x秒(0<x<4)时,解答下列问题:
(1)求点N的坐标(用含x的代数式表示)
(2)设△OMN的面积是S,求S与x之间的函数表达式;但x为何值时,S有最大值?最大值是多少?
(3)在两个动点运动过程中,是否存在某一时刻,使△OMN是直角三角形?若存在,求出x的值;若不存在,请说明理由。

【解析】(1)根据题意得:MA=x,ON=1.25x

(3) 存在某一时刻,使△OMN是直角三角形,理由如下
分两种情况:①若∠OMN=90度,如图所示

则MN||AB
此时OM=4-x,ON=1.25x
∵MN||AB
∴△OMN∽△OAB,∴OM/OA=ON/OB,即(4-x)/4=1.25x/5
解得:x=2
②若∠OMN=90度,如图所示

则∠OMN=∠OAB
此时OM=4-x,ON=1.25x
∵∠ONM=∠OAB,∠MON=∠BOA
∴△OMN∽△OBA,∴OM/OB=ON/OA,即(4-x)/5=1.25x/4
解得:x=64/41
综上所述,x的值是2或64/41
【点评】本题是相似形综合题目,考查了相似三角形的判定与性质,勾股定理,坐标与图形特征,直角三角形的性质,三角形面积的计算,求二次函数的解析式以及最值等知识;本题难度较大,综合性强,特别是(3)中,需要进行分类讨论,通过证明三角形相似才能得出结果。