科学知识/学习方法/手工教程,「狂丸科学」可能是你见过最好玩的*今条头日**号

------每天晚上 · 一起看趣味科学------
你可能没有注意到,今天其实是一个数学节日:
圆周率日(Pi Day),3月14号,正是取自π的近似值3.14。
说到圆周率,大家能联想到最多的话题,应该就是「你能背到第几位?」然而事实上π除了自身那串长长的数字外,其实还有很多有趣的相关知识,今天就让狂丸带大家了解一下。
从小学起我们就开始接触圆周率了,它用希腊字母π表示,读作Pi,中文音译「派」。它是一个常数,用来指代圆的周长和直径的比值,约等于3.14159265358979……。它是一个无理数,也就是说,它小数点后面是无限不循环的。

π在数学上一直都是一个十分特殊的存在,它已经被人们研究了上千年,甚至还衍生出了无数周边,比如今天这个圆周率日,也算是周边产品之一了。

可即便已经过去了几千年,人们对它的乐趣依然有增无减。人们永远无法完整地列出π小数点后面的数字,但从古至今,从粗略到精确,数学家们都在努力地用各种计算方法精确π的数值。π是无穷尽的,而探索π的过程也是无穷尽的。

圆周率计算史
如果我们追溯历史,最早关于π的记录还要回到公元前,四大文明古国中的古埃及和古巴比伦就有π的身影,公元前1900年到1600年左右出现的泥板上就有关于π的估值计算。
而历史上第一个最严谨的π值计算,是希腊数学家阿基米德发现的,他也可以说是π的理论集大成者了。他最早用正多边形的几何算法来演算π的数值,简单来说,阿基米德通过计算圆的外切正六边形和内接正六边形的边长,不断推算出π的上限值和下限值,最后他把π的数值精确到了3.1408到3.1429之间。
这一多边形几何算法甚至被广泛使用了1000多年,所以有时候人们也称π为阿基米德常数。

手拿圆规的阿基米德
中国在π的历史上也有一个不得不提的人物,他就是数学家祖冲之。公元480年,祖冲之利用割圆术的方法,把π精确到了3.141592920。后来被证明这个数值只有前七位是正确的,但在那之后的800年里,这一数值都被认为是精确度最高的π估值。

祖冲之
接着,之后的数学家基本靠着阿基米德最初确立的多边形几何算法来计算π的数值,1630年奥地利天文学家克里斯托夫·格林伯格把π精确到了第38位小数,这是迄今为止依靠阿基米德的多边形几何算法达到的最准确结果。

多边形几何算法示意图
16、17世纪左右,人们换了一种更为精准的计算方法:无穷级数算法。这个方式最早是由印度的科学家在1400到1500年间发现的。
在运用无穷级数算法计算π的人物里,有一个我们相当熟悉的身影:牛顿。
牛顿曾经用这种方法计算出π到第15位,算完后还曾表示羞愧,觉得自己耗费很多精力在π上,被它折磨得很惨。

牛顿
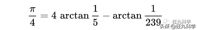
后来慢慢出现了一些公式,比如英国数学家梅钦,他在1706年发明了梅钦公式(图),并用公式算出了π的第100位小数。

梅钦公式
当然,在计算π的路上,总有一些数学家翻过车。比如英国数学家威廉·谢克斯,他花了15年的时间把π算到了707位,最后却发现第528位小数算错了…...这就等于后面的也都白算了。

再后来,计算机出现,人们便开始用计算机技术刷新π的位数。直到1973年,人们计算出了小数点后的第一百万位小数。

你说为什么古往今来这么多人都跟π杠上了呢,计算π到底有什么意义?其实从实用角度来看,π的数值并不需要太精确,39位数就已经基本能满足绝大多数数学方面、宇宙学方面的计算需求了,但人们依然在不断追寻π。除了对打破记录这件事有股谜之冲动,更多的可能还是一部分人对数学和π的热爱吧。

圆周率的背诵
计算π有时无法满足爱好者对它的狂热,所以背诵π越来越成为一个数学爱好者的潮流。在2015年以前,圆周率背诵方面的吉尼斯世界纪录保持者一直是来自中国的吕超,他在2005年时成功背诵出π的67890位数。在2015年时,来自印度的Sharma, Suresh Kumar把纪录刷新到了70030位,整整耗时17个小时14分钟。

来源:人民网 / 中国背诵圆周率第一人吕超
圆周率的应用
除了在π计算和背诵方面的迷之狂热,圆周率的应用领域也相当广泛。最基础的一个应用就是关于圆周长、面积的计算。这个无穷大的数值昭示着最简单的一个道理:圆周长与圆直径的比值恒定。也就是说,不论这个圆有多大,不论是大到测量地球周长之于赤道的关系,还是小如一枚硬币的周长与直径的关系,这个比值π是始终不变的。
除了数学方面的应用,π还常出现在其他学科,比如统计学、物理学和工程学等等。

圆周率日的确立
就这样,数学家们因为热爱不断精确着π的数值,并把它运用在不同领域。为了让身为外行的普罗大众也参与进来,美国的麻省理工大学最先提出倡议:把3月14日定为圆周率日,美国众议院在2009年正式通过了这一提案。就这样,现在每到3.14这一天,甚至再准确点,15点9分或者1点59分,一些高校的数学系开始组织起各项活动,以此庆祝被π苦苦折磨的日子,哦不,是与π快乐共处的日子。

当我提到pi,第一反应不是π,是派?
而谷歌的首页,每逢节日或特殊纪念日,都会出相关主题的封面涂鸦,并把主题与Google这几个字母完美融合在一起。2010年的圆周率日,谷歌设计了一款以π为主题的涂鸦,里面不仅包含了圆周率的定义,π值的范围,圆周周长与面积公式,甚至还有球体体积公式和圆周的外切、内接多边形的示意图。把π这一元素和谷歌logo完美结合。

来源:Google
相关日期
巧的是,3月14日正好是美国物理学家爱因斯坦的生日,同样也是去年刚刚去世的英国宇宙学家史蒂芬·霍金的忌日。
除了3月14日,π的周边节日之一还包括圆周率近似值日:7月22日。这是因为22/7是π的近似值,作为一个有理数,它甚至比3.14更接近π,所以有些人也会在这一天进行庆祝活动。

庆祝活动
每到3.14这个圆周率日,各个学校的庆祝活动自然成了一个亮点。
最经典的一个环节莫过于,在「派」节吃派,显得特别正派。外国小伙伴热衷烘焙,各式各样的派都出现了。




来源:Twitter@Phil Rhodes
还有吃pizza的,因为pizza这个单词前面正好是个「pi」。吃的时候还可以顺带计算一下pizza的圆周长和圆面积。

为了彻底庆祝圆周率日,除了吃π,还要喝π。有一种鸡尾酒,因为名字叫piña colada,开头正好是「pi」,所以它荣幸地成为了3.14这一天的饮品担当。

制作π的手环。在狂丸看来,这一项活动其实特别有意思,这个游戏规则是提前设定好0-9这10个数字分别对应的珠子颜色,然后根据π的数值,依次把珠子按π进行排列,最后串成一个手串。

还有些的老师会进行填词游戏,所填单词必须全部都是以「pi」开头。

而有的学校老师则会穿上带有π元素的衣服来上课。

或是学生和老师们组成π状的人形列队,再用航拍摄像留下纪念。

还有一个比较猎奇的,就是进行π的田径接力比赛。这项活动的规则是,每个选手在交接时必须问出一个有关π的问题,下一个接棒员必须回答出问题后,才能接过交接棒继续跑下去。

你的Pi Day
除了上面这些庆祝活动,你还可以在圆周率日网站piday.org上找到属于你自己的Pi Day。
你可以在这个网上查到自己生日出现在圆周率中的第几位。比如狂丸试了试2016年3月2日,这正好是狂丸推送第一篇文章的日子。结果显示狂丸排在π中的第18302位。

了解完这些关于圆周率的知识,狂丸又重燃了对数学的热爱,时隔多年想重新把圆周率再学一学,然而发现,自己和π的关系,可能只剩下画圈圈了。

(文中图片均来源自网络,仅作交流学习使用)
如果你也想测测自己的生日会出现在圆周率中的第几位,关注微信公众号:狂丸科学,在后台对话框回复关键词「圆周率」即可获取测试地址。
