10只基金,8只不值得买,该怎么选?
看分析点评,每篇都说好,该相信吗?
买基金,在哪里看靠谱分析?
彩虹种子的用户这么评价

保持客观、中立的态度
提供专业、易懂的评价
关注彩虹种子,陪伴你的投资
这是园长为你分析的第627只基金
本文非基金公司推广软文,请放心阅读
国联安核心优势

基金要素
基金代码 :011994。
基金类型 :偏股混合型,股票资产不低于60%。
业绩比较基准 :沪深300指数收益率*65%+中债综合指数收益率*25%+恒生指数收益率*10%
募集上限 :本基金无募集上限。
基金公司 :国联安基金,目前总规模将近700亿元。其中股票型和混合型基金合计管理规模将近350亿元,管理规模不算大,但权益类投资的占比比较高。

在这波行情上涨的过程中,国联安基金的整体管理规模整体上没有增长,实在是有些尴尬。。。
基金经理 :本基金的基金经理是刘斌先生,他拥有14年证券从业经验和超过7年的基金经理管理经验,目前管理5只基金,合计管理规模18亿元。这个规模,很小了。单只产品的规模会更小。

代表基金 :刘斌先生管理时间最长的基金是一只平衡混合型基金—— 国联安稳健基金 (255010.OF ),从2013年12月28日至今,累计收益率225.67%,年化收益率16.83%。长期业绩表现非常优秀。(数据来源:WIND,截止2021.07.28)

由于国联安稳健基金的股票仓位常年在70%,我们再来看一下他管理的偏股混合型基金—— 国联安优势基金 (257030.OF ),从2015年4月28日至今,累计收益率83.42%,年化收益率10.18%。长期业绩表现比较优秀。(数据来源:WIND,截止2021.07.28)


从净值图和分年度业绩表现来看,有以下结论和推断:
- 长期能够跑赢沪深300指数;
- 长期和偏股混合型基金指数表现相当;
- 最近三年持续跑输偏股混合型基金指数;
- 整体风格预计不极端,具体的,我们需要看一下持仓情况;
另外,在查看刘斌先生管理的基金时,发现他的产品之间差异非常大,今年以来,涨幅最高的基金将近16%,跌幅最高的基金下跌了将近9%,前后相差了25%之多。

经过对比持仓和季度报告中的观点,基本上可以明确的是,国联安远见成长基金主要是徐志华先生来管理,国联安新蓝筹红利基金主要是张汉毅先生担任管理。
而刘斌先生自己独立管理的三只基金中,除了国联安稳健基金是60%的股票仓位,跌幅较小之外,另外两只基本一致。这个挂名的情况大家需要注意。
持仓特点
第一 ,前十大重仓股占比基本上一直在50%以上,最近1年多时间,更是达到了将近70%,属于非常高的持股集中度。

第二 ,最近3年的换手率在2倍左右,但是在2017年,换手率竟然高达6倍,这个变化,需要我们在访谈中和定期报告中,去寻找答案。

第三 ,基金的平均持股周期为2.1年,是一个比较长的水平。其中,超过3年的持仓占比将近25%,1-2年的持仓,占比超过30%。也有超过25%的仓位持仓时间不满半年。

结合上述三点, 刘斌先生属于持股集中度很高+持股周期比较长的 “偏巴菲特式”选手 。不过,他在2017年前后,应该切换过投资框架。

第四 ,从资产配置图来看,刘斌先生一直保持80%-90%的股票仓位,在部分时间会做小幅度的仓位变化,比如2018年年中,2020年年底。

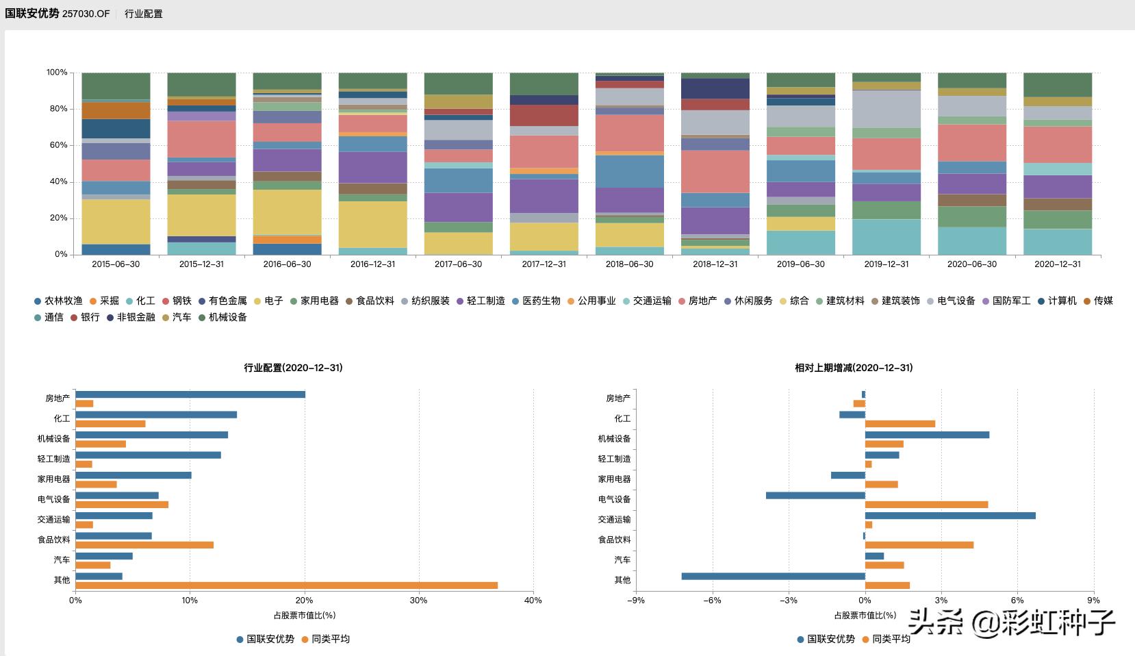
第五 ,从组合的风格配置图来看,从2017年至今,一直比较均衡。


结合上述, 刘斌先生属于基本不做仓位择时+基本不做风格择时的 “偏巍然不动型”选手 。

第六 ,整体上来看,刘斌的持仓行业比较分散,并且短期变化幅度是比较小的,比较符合他的交易特征。值得一提的是,在2017年前后,他基本上抛弃了之前一直持有的电子板块,转而增加了一部分的化工板块和电气设备板块。

现阶段的前三大重仓行业分别是房地产、化工和机械设备,合计占比不到50%。这是比较典型的大盘价值风格持仓,这也意味着最近的净值会比较惨。
目前, 组合处于行业分散+组合估值分位水平较低的状态中 。
第七 ,我们再来看一下基金二季报中刘斌的观点。
二季度市场整体上涨,以电子、电气设备为代表的新兴行业涨幅较大,行业和部分个股均创出了新高。而代表传统经济的周期类板块则持续低迷,部分行业和个股创出了新低,市场结构性分化的特征仍然十分显著,行业板块之间一季度有所收敛的估值裂口再次拉大。
这里依旧谈到了分化的问题。
虽然我们对市场进行持续紧密的观察和研究,但市场只是投资的基本背景,我们并不试图掌握和利用市场的短期波动,实际上这也很难做到,市场的很多波动即使是事后也很难正确的理解,更毋论事前进行预测。
意思很明确,不做市场预测,没能力预测,预测不了。
最可把握的依然是公司本身,我们更愿意研究公司本身的价值和商业逻辑以及公司当前的状态,也更愿意在公司价值低估或者合理的时候买入并持有那些长期价值显著的公司,很多时候我们也无法预计公司的股价何时会有所表现,但只要公司长期价值被低估且公司管理层敬业积极上进,我们就有足够的耐心期待其价值实现。
偏价值投资的框架。
二季度本基金的操作很少,对现有的组合保有足够的信心。如我们在本基金2020年年报中所提及的,我们所看好的标的主要集中于房地产、轻工、机械、自动化、饮料及物流等行业,我们更看重的是这些公司本身卓越的经营能力和长期发展空间。

再来看一下前十大重仓股,和上个季度没有发生个股上的变化。地产板块,持有了万科和保利地产,分列第三和第九大持仓。家用电器板块,持有了老板电器和格力电器,分列第六和第七大持仓。其他行业就都只有一只个股,物流的顺丰、化工的万华化学、电器设备的汇川技术、食品饮料的伊利股份,这几只大市值公司也是耳熟能详了。另外,还有家具行业的索菲亚、轮胎模具行业的豪迈科技,是中小市值公司。整体组合是符合刘斌的投资框架的。
投资理念与投资框架
在最近的一次访谈中,刘斌先生谈到了他的投资理念,他是一位典型的价值投资者,希望能够通过深度的研究,去发现优秀的公司,同时在估值合理的阶段去买入。

刘斌在访谈中,还谈到了一个他的目标,他希望他能够做到年化16%的收益率,做到20年20倍。很有意思。

对于卖出的问题,他表示他认可巴菲特的观点,如果基本面不变坏,那么就不要考虑卖出的事情。

再来看一下,他对于地产板块的理解。

这篇访谈很精彩,还有不少的内容,大家可以搜索《国联安刘斌:解构20年20倍的工程系统》一文进行了解。
一句话点评
国联安基金本身是一家中小型的基金公司,但他们的权益类投资占比还是比较高的。今天的主角刘斌先生是一位比较典型的价值投资者,我们认为他的言行是比较一致的。
虽然说,短期的表现不理想,但这确实是很多价值投资框架的基金经理,在现阶段面临的普遍问题。但是,如果清晰的认清他的投资理念,并且能够坚定的持有。刘斌先生是一个比较值得信任的基金经理。
对于新人和绝大多数投资者, 本基金值得少买,同时,如果去买了,需要能够持有较长的时间,2-3年以上。
觉得靠谱,立刻关注
破解投资难题,就在彩虹种子
关注|点赞|分享
关注彩虹种子,陪伴你的投资
风险提示 :基金有风险,投资需谨慎。本文非基金推荐,文中的观点、打分不作为买卖的依据,仅供参考。文中观点仅代表个人观点,不作为对投资决策承诺,文章内信息均来源于公开资料,本文作者对这些信息的准确性和完整性不作任何保证。文章中的内容和意见基于对历史数据的分析结果,不保证所包含的内容和意见在未来不发生变化。本文仅供参考,在任何情况下,本文中的信息或所表述的意见均不构成对任何人投资建议。
不值得买 :占对应资产类别的仓位占比为0%,不建议超过5%。
值得少买 :占对应资产类别的仓位占比为5%-10%,不建议超过15%。
值得买 :占对应资产类别的仓位占比为10%-15%,不建议超过20%。
❤️❤️❤️
如有收获
打赏一元
支持彩虹种子吧
❤️❤️❤️