
作者 | 重庆南开(融侨)中学 辛酉丑
中秋的天气已无盛夏的脾气,恰似一个中年人渐渐退去年轻时的狂躁。中秋节不出去走走,就是浪费光阴。燕子和朝晖想邀黑娃出去耍,他们来到黑娃家,黑娃正在做作业。黑娃爹放下手中的书,招呼燕子、朝晖坐下,倒上茶水,摆上瓜子花生,叫黑娃出来陪同学聊天。聊着聊着黑娃爹无意间问起他们的学习进度,燕子说数列刚学完,黑娃爹想了解孩子们的学习情况,建议一起来玩诗会。想到《红楼梦》中的玩诗会,燕子很高兴,觉得可以当一回公子小姐。为了及时巩固新知识,黑娃爹建议以数列为题,一个人用诗词出题,其他人回答问题。
朝晖担心找不到题材,就抢先说:“我先出题。”
燕子笑着问:“凭什么你先出题?”
朝晖说:“现在官员要求年轻化,年龄小的优先晋升,我年龄最小,所以我先出题。”
燕子调侃着说:“那也不一定,你看中医院,老中医生意最好,我觉得谁年龄大,谁优先。”
黑娃爹提议朝晖和燕子用游戏确定出题顺序,赢家先出题,输家最后出题,黑娃排第二。见大家没有异议,黑娃爹抓一把花生放在桌上,告诉规则:你们两人轮流拿花生,每次至少拿1颗,至多拿3颗,谁拿到最后一颗花生,就算谁赢。黑娃爹一看桌上有15颗花生,有意照顾朝晖,让他先拿。
朝晖曾经玩过类似的游戏,数数桌上花生的颗数,他拿走3颗,接下来燕子也拿走3颗;朝晖又拿走1颗,燕子跟着拿走1颗;朝晖再拿走3颗,燕子看见桌上剩下的4颗花生,迟疑一会儿,后悔道:“我上当了,叔叔照顾朝晖。只要桌上花生颗数是4、8、12、16……这样的等差数列,谁先拿谁输,其实朝晖第1次拿3颗,他就稳赢了。愿赌服输,朝晖你出题吧。”
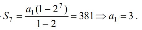
朝晖想到2017年全国卷中的高考试题,说:“远望巍巍塔七层,红光点点倍加增。共灯三百八十一,请问塔顶几盏灯?”

燕子抢答:“这不是梅毂成的‘巍巍宝塔’吗,小case,看我秒杀它。”说着就拿出纸笔开始演算。
设塔顶红灯数为 a1 盏,由题意得

黑娃检查了燕子的答案,信心十足地说:“正确的,答案是3盏。”
黑娃爹肯定了燕子的解答,说道:“你们俩都是三好学生,这种简单题肯定难不倒你们,我将这个题改一下,弄个加强版试试,‘遥望高塔若干层,红光点点数倍增。共灯三百八十一,请问塔顶几盏灯?’”
燕子心想,黑娃爹真厉害!把“塔七层”改为“若干层”,把“倍加增”为“数倍增”,条件削弱了也能解出来吗?梅毂成和吴敬肯定没想到!黑娃不作声,默默的在纸上演算,突然开心地说:“真的可以算出来。”他的草稿纸上清晰地写了三行字:
设塔顶红灯数为 a1 盏,高塔有 n 层,下一层灯数是上一层灯数的 q 倍。
由题意得

因为a1∈N*,q∈N*,3和127都是素数,“若干层”表明至少也有3层,显然,a1=3。
黑娃爹点头称是,夸他的“奥数”没有白学,现在轮到黑娃出题。
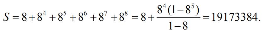
黑娃说:“诸葛统兵八员将,每将又分八个营。每营里面排八阵,每阵先锋有八人。每人旗头有八个,每个旗头八队成。每队更该八个甲,每个甲头八个兵。请问:孔明带领多少人?”

朝晖皱起眉头,说:“有将有营还有阵,旗头甲头加上兵,我头都大了。”
燕子说:“这是梅毂成的‘孔明统兵’,so easy。”立即拿出纸笔进行演算。
她把将、先锋、旗头、对张,甲头,士兵排列出来。得到一数列8、84、85、86、87、88.

燕子看了看黑娃爹的眼神,说道:“数据有点大,不知道算错没有。”
黑娃爹检查了燕子的解答过程,发现全完正确。接下来轮到燕子出题。
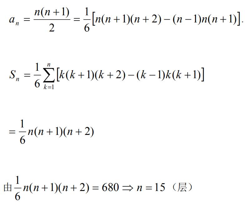
燕子看了一眼黑娃,说:“题霸,难题来了哟,红桃一垛积难知,共该六百八十枚。三角垛来尖上一,每面底子几何为?”
朝晖说:“这是垛积问题,肯定超纲,太难了,伤脑细胞。”
黑娃默不作声,拿出纸笔仔细演算,在纸上写到:
由题意可知:三角垛顶上第一层是1个,第二层是3个,第三层是6个……整堆桃子是680个。令第 n 层有 an 个桃子,则a1=1,a2=3,…

即,每层桃子个数分别是1、3、6、10、15、21、28、36、45、55、66、78、91、105、120.
黑娃爹夸奖黑娃的裂项求和用得好,燕子心想:我只想到用自然数平方和公式计算,没想到还可以用裂项求和,暗暗佩服黑娃聪明。
黑娃爹见孩子们的基础知识很扎实,不仅等差数列和等比数列掌握较好,而且求通项和求和都很熟练,想到古代文人喜欢用数字创作诗歌,他想考考孩子们的文化知识。于是建议大家玩数学诗接龙赛。每个人背诵一首与数学相关的诗歌,如果接不上,就惩罚喝一杯茶水。
朝晖抢先回答,背诵了宋·邵雍的《山村咏怀》:“一去二三里,烟村四五家。亭台六七座,八九十枝花。”

黑娃爹满意地点点头,说:“这首诗利用一至十的数字与其他词语组合,融为一体,寥寥几笔就构成一幅自然朴实而又朦胧的山村风景画。”
黑娃立即接龙,他背诵了清·郑板桥的《咏雪》:“一片二片三四片,五片六片七八片;千片万片无数片,飞入梅花总不见。”

大家鼓掌称赞。黑娃爹点评:“这首诗利用单调递增的整数数列,表现雪花的多、密以及飞舞的动态,使人宛如置身于大雪纷飞的广袤天地之中。”
燕子想了想,她背诵了明·伦文叙的《百鸟归巢图》:“归来一只复一只,三四 五六 七八只。凤凰何少鸟何多,啄尽人间千石食。”

朝晖听了,满脸疑惑,问:“这是《百鸟归巢图》,怎么四句诗中的数字加起来只有35只鸟,为什么称它百鸟图?”
黑娃爹说:“朝晖这个问题提得好,为什么不叫三十五鸟图?”
燕子说:“这里是文字游戏,诗中的‘一只复一只’是指两个一,‘三四’是指三个四,‘五六’是指五个六,‘七八’是指七个八,由2×1+3×4+5×6+7×8=100”。
“哦!原来如此。”大家点头称是。
又该朝晖接龙了,他想来想去,好不容易想到了清·王士祯的《题秋江独钓图》:“一蓑一笠一扁舟,一丈丝纶一寸钩。一曲高歌一樽酒,一人独钓一江秋。”

黑娃爹心中暗自赞叹,说:“这首诗短短四句,用了九个一,朗朗上口。道出了逍遥之中深藏几许萧瑟,自在之余伴有几多孤寂。垂钩者红尘看破,只得借酒消愁,载载孑立,形影相吊。”
接着该黑娃接龙,他背诵了宋·朱淑真的《断肠迷》:“下楼来,金钱卜落;问苍天,人在何方?恨王孙,一直去了;詈冤家,言去难留。悔当初,吾错失口,有上交无下交。皂白何须问?分开不用刀,从今莫把仇人靠,千种相思一撇销。”

朝晖听后,说:“黑哥违规了,这首诗没有数字,不是数学诗,罚一杯茶水。”
黑娃爹说:“不急,你们听我解释。这首诗虽然没有直接给出数学,却隐藏着数字和数学原理,我们请燕子给大家讲解。”
燕子说:“作者用的减法原理,容易发现:下-卜=一;天-人=二;王-l=三。”

燕子刚解释两句,朝晖就抢过话题,说:“我明白了,詈-言=四;吾-口=五;交-乂=六;皂-白=七……”

燕子鼓掌笑着说:“朝晖,看不出来,学会举一反三了。”
接下来该燕子接龙,她皱着眉头想了又想,说:“我接不上了。”
朝晖兴奋不已,“才女,怎么样,你也有没词了的时候,来!来!来!罚一杯茶水。”
黑娃爹看了看手表,说:“算了,该是吃午饭的时候了,茶水就不罚了,我们出去吃饭,庆祝中秋佳节。”
孩子拍手叫好,齐夸黑娃爹懂生活、有品位。大家一路说笑,直向街中央走去。

作者简介:辛酉丑,重庆潼南人,1991年7月毕业于西南师范大学数学系,重庆南开中学正高级教师,重庆“322”重点人才(二层次),重庆学术技术带头人后备。主持省级课题2项,主研省级课题2项,参与国家级课题2项;参与编写了大学教材《小学数学教育概论》和重庆地方教材《研究性学习》;出版专著《数学与生活》,《数学解题泄天机》,在《数学教育学报》《数学通报》等杂志发表论文70多篇,其中核心期刊20多篇;数学教育论文曾获全国紫京杯数学教育创新论文一等奖,初等数学论文获全国第二届青年初等数学研究奖;指导学生在《数学通报》等杂志发表文章16篇,指导8名学生进入全国高中数学奥林匹克冬令营,中国数学会三次授予优秀教练员。近几年在西南大学、重庆师范大学、重庆教育科学研究院、重庆第二师范学院、重庆三峡学院以及重庆部分区县教师进修学院和一些中学主讲40多场。重庆晚报、重庆晨报等媒体曾专题报道。
|
1 |
院坝童心 |

传播数学,普及大众
欢迎把我们推荐给你身边的朋友
▼