◎转自|中信出版
最近你的心情咋样?

除了股票基金过山车般的涨跌之外,工作例会上,你使用的数据PPT模板让展示更加美观有趣,获得老板好评。
一把游戏结束,系统自动送上战力统计,你的队友明显拖了后腿,下次不要和ta组队了。
此时手机又提醒你视屏时间过长,建议休息一下,因为科学研究表明,连续视屏超过x小时便会使视力下降y%……
我们信任数据,认为数据总是客观情况的客观反映。可事实真的如此吗?
2018年,复旦大学开设了一门新的通识课程,邀请学校多个专业的教授对学生每天可能接触到的信息进行“真伪鉴定”,向学生阐述什么是“伪科学”,一经开课便节节爆满。
这门名叫“似是而非”的新课并非复旦大学首创,它的灵感来源于美国华盛顿大学的“拆穿胡扯”(Calling Bullshit)公开课。

这门课由生物学教授卡尔·伯格斯特龙和信息学副教授杰文·韦斯特联合主讲,他们从逻辑和传播渠道的角度揭开数据伪科学如何产生与传播。课程信息一挂在官网就被抢光名额。
这两门课如此火爆,原因是相同的:识别数据陷阱,已然成为当代生活的刚需。数据信息真的可以为“伪科学”操控,虽然我们已经能够识别出披着“震惊×××”外衣的老式胡扯,但它们分裂出来的新亚种令人眼花缭乱。
伯格斯特龙和韦斯特将这些把戏统称为“胡扯”。
01
何为胡扯?
那么胡扯到底指什么呢?
作者伯格斯特龙和韦斯特认为:
胡扯就是全然不顾事实、逻辑连贯性或实际传递的信息,而是利用语言、统计数字、数据图表和其他表现形式,通过分散注意力、震慑或恐吓等方法,达到说服或打动听话人的目的。
数据胡扯的最终目的,是通过有意为之的操作,使本应该客观的数据,为己所用。
我们暴露在胡扯面前的时间和机率可能远远超过我们所认为的,形式也是五花八门。
02
胡扯的视觉把戏
“大鸭子”是一个养鸭户于1931年建造的鸭子形商店,如今已经成为一个受人喜爱的地标。

“大鸭子”,位于美国纽约长岛佛兰德斯
但是作为一座建筑,大鸭子并没有什么特别的功能。在建筑理论中,它已经成为形式优先于功能的标志,“鸭子”也由此成了装饰超过用途的建筑的代名词。
相似地, 形式大于数据的图形就可被称为“鸭子”。

《今日美国》是制造数据可视化“鸭子”的先驱之一。上图显然可以代表《今日美国》的风格。
下面这个图形的设计者用两个餐叉的尖齿代表条形图中的条形。

这样做有什么坏处呢?坏处很多:
- 条形是图形中 承载信息 的部分,但它们在这张图中只占了 很小一部分空间 ;
- 倾斜的角度 也会引发争议,因为我们不习惯解读这种角度的条形图;
- 两把餐叉并排,但 底部水平线并没有对齐 ,容易造成错觉;
- 幸好数值被写出来了。但如果必须依靠数值来解读图形, 为什么不直接用表格避免前三个坏处呢 ?
我们说胡扯就是公然无视事实和逻辑连贯性,企图通过分散注意力、震慑或恐吓来说服或打动受众。
但可爱有什么不对吗?其实“鸭子”真正让我们担心的原因在于, 试图装得可爱会让读者更难理解它表示的数据,逐渐变成胡扯。
比如这张图,创意可嘉,但是把一个饼形图扭曲成羊角,只会在读者对这些数量进行视觉比较时增加难度。
数据可视化的“鸭子”只是有胡扯的影子,那么被我们称为“ 水晶鞋” 的那一类数据可视化就是完美的 胡扯 。
“水晶鞋”是将一种类型的数据硬套上用于展示另一类数据的视觉形式。 这样做的目的是借用好的可视化形式的权威性表现自己的权威性,完全不考虑数据本身与形式的兼容性。
就像格林兄弟的原版《灰姑娘》故事中,继姐为了穿上水晶鞋切掉了脚趾,削平了脚后跟。
其中最被滥用的形式之一就是 地铁线路图 ,它甚至引发了元层级的评论——“以地铁线路图作为象征的地图的地铁线路图”。

以地铁线路图作为象征的地图的地铁线路图
另一种流行的图表形式是带标签的示意图。这种图的“重灾区”之一,就是PPT。
谁没用过几个看起来丰富、有趣又清晰的PPT模板呢?或者自创一些可爱的模型,就像这只独角兽。

然而图表上的标签毫无道理可言。 前肢与“机器学习”和“可视化”有什么关系?为什么“R编程”与后腿有关呢?右后腿为什么没有加标签?为什么头部的“分析型思想者”指的是一种人,而身体的其他部分指的是技能?……
03
扭曲的数字黑箱
如果我们给“鸭子”们“拔毛”,让数据赤裸裸地呈现在我们眼前,是不是就可以规避掉胡扯了?一定意义上是的,但不绝对。因为还存在着另一种更加隐形的欺诈——数据的来源本身。
当科学家测量元素的原子质量时,这些元素不会密谋增加自己的重量,以便把自己在元素周期表上的位置悄悄往后挪一点儿。

顺便说一句,元素周期表也是一款常用“水晶鞋”
但是,管理者往往会有所体会——当他们衡量员工的工作效率时,员工往往会在量化数据上做文章,以让工作表现更好看一些。
我们在很多领域都能看到这个现象。
当汽车销售人员按达成的销售额获得奖金时,他们就会为客户提供更大的折扣,以便快速完成销售额;而当销售数量成为目标时,销售人员也会提供更大的折扣,以快速增加销售量。
这两个方式并不能都保证利润成正比增长,而利润往往是企业最看重的。
这便是“古德哈特定律”:
指标变成目标后,就不再是一个好的指标。
如果某个指标附加有足够多的奖励,人们就会想方设法地提高自己的得分,而这样做就会削弱该指标原本的评估价值。 正是量化指标本身改变了需要量化的对象的行为。
还有一种更接近纯粹胡扯的现象—— 数学滥用 ,而且它并不罕见。
数学滥用(Mathiness)指的是那些看起来都像是数学表达式的东西,但它们和数学可以说是毫无关系。
比如信任方程:

按照这个方程,当自利感降到最低时,信任度就会非常高,那么我们是不是应该根据 抛硬币 的结果决定一切呢?毕竟硬币真实可靠又不会自私自利。
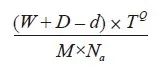
又如“一年中最悲伤的一天”(一月的第三个星期一)的公式:

W代表天气,d代表债务,T代表圣诞节以来的时间,Q代表放弃新年决心以来的时间,M代表干劲不足,Na代表采取行动的必要性。(不清楚D在公式中代表什么。)
看起来多么像是一种严谨的数学方法!但它到底是什么意思呢?这 些量如何测量,单位又是什么? 如果只是要表达正相关还是负相关,那么大可不必采取这种形式,它不但无用,还会让人费解。
04
数据胡扯,科学领域也不能幸免
是的,科学领域也会屡屡中招。
还记得古德哈特定律吗?“指标变成目标后,就不再是一个好的指标。”在科学领域, 使用引文指标来衡量期刊质量已经导致编辑钻制度空子。
有的期刊会在1月份发表更多文章,这样一来,这些文章本年度被引用的机会就会增加。 所有这些反常的行为都违背了期刊的使命,削弱了引用数作为质量指标的有效性。
类似地,对科研人士的论文数量指标催生了只要给钱便可发表文章的 “掠夺性期刊” ,也让科研领域成为了胡扯的高发地带。
虽然掠夺性期刊的主要客户是给简历增色的边缘学术人,但也包括气候怀疑论者、反对疫苗者、神创论者和艾滋病否认论者。
他们以版面费为代价换取在科研领域的“一面之地”,然后说他们的边缘信仰通过了“同行评议”的科学。这是典型的胡扯污染。

作为读者,我们没有任何万无一失的方法,可以确定无疑地知道一篇科学论文是否完全正确。但伯格斯特龙和韦斯特提醒我们, 至少要保持合理的怀疑,这是辨别胡扯的第一步。
比如注意论文中的论断与它是在哪儿发表的是否相匹配,尤其要警惕低层次期刊上出现的异乎寻常的论断。
05
拆穿胡扯,你需要一些技巧
辨别可能的胡扯的最终目的,是指斥胡扯。
然而清除胡扯的代价要远远高于制造胡扯,哪怕真正符合科研方*论法**的论文也是如此。伯格斯特龙和韦斯特就借助一个精彩的驳斥案例,反证了这种“高端胡扯”的屏蔽性与危险。他们给这种方法取名为“ 令人难忘驳斥法 ”。

这个令人难忘的针对功能磁共振成像技术(fMRI)的驳斥出现在一次神经科学会议上。
fMRI能够帮助神经科学家探索哪些大脑区域参与了哪些认知,典型的研究会比较对象和对照组的fMRI图像,并思考为什么大脑的某些部分亮度有所不同。
但是,实验软件必须对评估结果的统计学意义做出假设。而最近的一项研究表明,这些假设有时会严重夸大差异。问题已经暴露,但科学家们并未对这个问题的严重性达成一致。
于是一份标题为《通过死大西洋鲑鱼研究人类神经活动:论多重比较校正的重要性》的学术墙报登场了。你没看错: 一条死鲑鱼。
这是一个故意为之的愚蠢实验。研究人员跟那条死鱼交谈,还给它看了人们在不同社交环境中的照片。结果令人震惊。当鲑鱼被问及人们的情绪时,影像显示它脑干的几个区域表现出来的活跃性高于它在“休息”时的活跃性。

这还只是对人类社交场景的“反应”,想象一下,如果这条鲑鱼被问及鲑鱼的情绪,这些区域会多么明亮。
要么是我们在死鱼认知方面取得了惊人发现,要么是我们未经修正的统计方法出了问题。
指斥胡扯不只是为了增强自信,它还是一种道义上的责任。正如我们在开头所说,世界充斥着各式各样的胡扯,有些是无伤大雅的,有些是小麻烦,还有一些甚至很有趣,但很多胡扯会给科学的诚实和生死攸关的决策带来严重的后果。
“数据成了新式胡扯者的杀手锏”。但我们绝不否认科学是理解物理世界的一个成功的标准手段。不管我们抱怨什么,不管我们发现了什么偏见,不管我们遇到什么问题,不管我们说了什么废话,科学最终还是会成功的。
内容来源:中信出版《大数据算法天花乱坠的时代,如何识别“数据陷阱”?》
关于我们
「数字经济先锋号」是成都数联产服科技有限公司旗下数字经济研究交流平台。围绕数字产业、数字基建、数字治理、数字生态等数字应用领域,揭示与记录数字经济发展点滴与脉络。
数联产服是BBD数联铭品集团数字经济智库,产业大数据服务商。数联产服具备全流程大数据治理-分析-决策支撑服务能力,面向各级政府和产业运营机构提供基于大数据的产业经济发展解决方案和综合服务。