目录
- 图像坐标系
- 图像数字化
图像坐标系
在前面的数据标注文章中讲述如何进行标注,而标注后会保留4个坐标点,那么这些坐标点如何表示在图片中的位置?要表示一个点或图形的位置,就需要涉及到坐标系的概念。今天就来了解一下图像的坐标系。一般大家首先接触到的坐标系应该是的笛卡尔坐标系,如下所示:

如下图所示,是以图像左上角为原点建立的以像素为单位的直角坐标系u-v。其横坐标u与纵坐标v分别是在其图像数组中所在的列数和行数。

以上坐标在OpenCV中,u对应 x , v对应 y
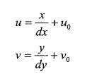
由于(u,v)只代表像素的列数与行数,而像素在图像中的位置并没有用物理单位表示出来,所以还要建立以物理单位(如毫米)表示的图像坐标系x-y。将相机光轴与图像平面的交点(一般位于图像平面的中心处,也称为图像的主点(principal point)定义为该坐标系的原点O1,且x轴与u轴平行,y轴与v轴平行,假设(u0,v0)代表O1在u-v坐标系下的坐标,dx与dy分别表示每个像素在横轴x和纵轴y上的物理尺寸,则图像中的每个像素在u-v坐标系中的坐标和在x-y坐标系中的坐标之间都存在如下的关系:

上述公式中我们假设物理坐标系统中的单位为mm,则dx的单位为mm/px,而x/dx的单位则是px.
为使用方便,一般常用齐次坐标与矩阵形式表示为:

以上知识可能比较难懂,那么可能真正对我们有用的知识如下所示:

那么坐标系、行列、宽高的对应的关系如下所示:
row=height=ycol=width=x
使用OpenCV获取图像的大小
以上面的示例图为例,原始图片大小为:

示例代码如下所示:
import cv2
import numpy as np
import os
def GetImgFile(path,imgExtName=(".png",".bmp",".jpg",".jpeg",".gif")):
imgFileList=[ imgFile for r,s,fs in os.walk(imgPath) for imgFile in fs
if os.path.isfile(os.path.join(r,imgFile)) and
os.path.splitext(os.path.join(r,imgFile))[-1].lower() in imgExtName ]
return imgFileList
def GetImgHeightAndWidth(path,imgList):
tempDict={}
for item in imgList:
imgFullPath=path+"\\"+item
img=cv2.imdecode(np.fromfile(imgFullPath,dtype=np.uint8),cv2.IMREAD_COLOR)
imgHeight,imgWidth,_=img.shape
tempDict[item]={"Height":imgHeight,"Width":imgWidth}
return tempDict
if __name__ == "__main__":
imgPath=r"F:\编程资料\编程工程\AI学习笔记\03图像知识\测试图片"
imgShape=GetImgHeightAndWidth(imgPath,GetImgFile(imgPath))
print(imgShape)
输出结果如下所示:
{'TestImage.jpg': {'Height': 604, 'Width': 403}}
图像数字化
图像数字化简单来讲,就是如何将图像保存为计算机能够识别和还原的对象。数字化后的图像其本质上就是一个多维矩阵,例如常见的RGB图像其实可以理解为3个二维矩阵的叠加,矩阵中每个值对应颜色通道上的值(0~255),灰度图则是1个二维矩阵。如下所示:

如上图所示,该图片大小为604*403,因此有3个604*403的矩阵。
在CV领域,矩阵的概念用得非常多,下面简单介绍一下相关的概念,不做深究。
矩阵
在数学概念中,矩阵(Matrix)是一个按照阵列形式排列的实数或复数的集合。如下图所示:

这是一个(m+1)*(n+1)矩阵,行列索引从0开始
使用代码创建矩阵
在Python中常用于numpy模块创建和处理矩阵,示例代码如下所示:
import numpy as np mat=np.array(range(10,35)).reshape(5,5) print(mat)
输出的二维矩阵如下所示,从编程的角度来理解,就是一个二维的数组。
[[10 11 12 13 14] [15 16 17 18 19] [20 21 22 23 24] [25 26 27 28 29] [30 31 32 33 34]]
矩阵与图像
从前面已经可以大致猜到矩阵与图像的关系了。既然图像可以用多个矩阵来表示,那也就是意味着,我们可以自己通过代码来创建图像,示例如下所示:
import cv2
import numpy as np
mat=np.array([
[[255,0,0],[0,255,0],[0,0,255]],
[[123,145,239],[10,100,134],[0,235,252]],
[[23,45,12],[56,12,78],[128,150,12]]
],dtype=np.uint8)
cv2.namedWindow("Create Img",cv2.WINDOW_NORMAL)
cv2.imshow("Create Img",mat)
cv2.waitKey()
生成的图片效果片如下所示:

在上面3*3矩阵中,mat[m][n]分别代表BGR的值,如下图所示:

通过上面的示例,大家应该了解到图片是如何用矩阵进行表示存储的。平常大家看到的彩*图色**片也都采用这种方式组成,图片越大,则矩阵规模也越大。
通道概念
- 通道就是每个拥有的色彩维度
1、对于灰度图像,只有一个色彩维度,因此是单通道2、对于RGB彩*图色**像,有RGB三个色彩维度,因此是3通道3、对于RGBA彩*图色**像,有RGBA(A:alpha透明度)四个色彩维度,因此是4通道
- 大部分图像都可以用3维矩阵来表示
单纯从代码角度来讲,1维矩阵就是普通数组,3维矩阵就是3维数组,多维矩阵就是多维数组
使用OpenCV读取RGB通道图片
示例代码如下所示:
import cv2
import numpy as np
import os
def GetImgFile(path,imgExtName=(".png",".bmp",".jpg",".jpeg",".gif")):
imgFileList=[ imgFile for r,s,fs in os.walk(imgPath) for imgFile in fs
if os.path.isfile(os.path.join(r,imgFile)) and
os.path.splitext(os.path.join(r,imgFile))[-1].lower() in imgExtName ]
return imgFileList
def GetBGRInfo(path,imgList):
for item in imgList:
imgFullPath=path+"\\"+item
img=cv2.imdecode(np.fromfile(imgFullPath,dtype=np.uint8),cv2.IMREAD_COLOR)
ShowImg(img,winName="Source IMG")
# 分享BGR的通道信息
b,g,r=cv2.split(img)
# 创建与img相同大小的零矩阵
zerosArray=np.zeros(img.shape[:2],dtype="uint8")
# 显示(B,0,0)图像
ShowImg(cv2.merge([b,zerosArray,zerosArray]),"Blue Channel")
# 显示(0,G,0)图像
ShowImg(cv2.merge([zerosArray,g,zerosArray]),"Green Channel")
# 显示(0,0,R)图像
ShowImg(cv2.merge([zerosArray,zerosArray,r]),"Red Channel")
# 显示代码合成的BGR图像
ShowImg(cv2.merge([b,g,r]),"Merge Img-BGR")
# 显示代码合成的RGB图像
ShowImg(cv2.merge([r, g, b]), "Merge Img-RGB")
def ShowImg(obj,winName="ImgShow"):
cv2.imshow(winName,obj)
if cv2.waitKey(0) == ord("q") or cv2.waitKey(0) == ord("Q"):
cv2.destroyAllWindows()
if __name__ == "__main__":
imgPath=r"F:\测试图片"
imgFileList=GetImgFile(imgPath)
GetBGRInfo(imgPath,imgFileList)
- 显示BGR单独通道信息的效果图如下所示:

- 显示原始图片、BGR合成图片、RGB合成的图片效果如下所示:

既然能分离出BGR的通道信息,再按BGR的顺序进行合并,就可以恢复原始的图片。如果不是按这个顺序进行合并的话,会出现什么的效果图呢?可以从上面最后一张图片寻找答案。
- 注意事项
在使用cv2.split(img)分离通道信息直接使用如下代码进行显示:
b,g,r=cv2.split(img) ShowImg(b,"Blue Channel") ShowImg(g,"Green Channel") ShowImg(r,"Red Channel")
如果按照以上方式进行显示,只是会得到三张不同的灰度图:

上面已经分离出BGR三个通道,为什么不是三张BGR的图像?原因如下所示:
当调用imshow(b)时,是把图像的BGR三个通道值都变为b的值,所以传递的三个通道值均为(b,b,b),在前一篇讲过,如果三个通道的值一样,则为灰度图。当使用cv2.merge方法将某个通道与零矩阵进行合并,则形成(b,0,0)从而只显示某一通道的色彩信息。
码农三哥,一名普通程序员,会点java软件开发,对AI人工智能有点兴趣,后续会每日分享些关于互联网技术方面的文章,感兴趣的朋友可以关注我,一起学习交流
想转型或刚步入程序员Java开发的朋友,有问题可以留言或私信我!