导函数区间与定义域的区别 (反函数的值域为原函数的定义域)

反之,原函数的导函数值域为非正(负)实数集时的定义域为原函数单调递减区间。

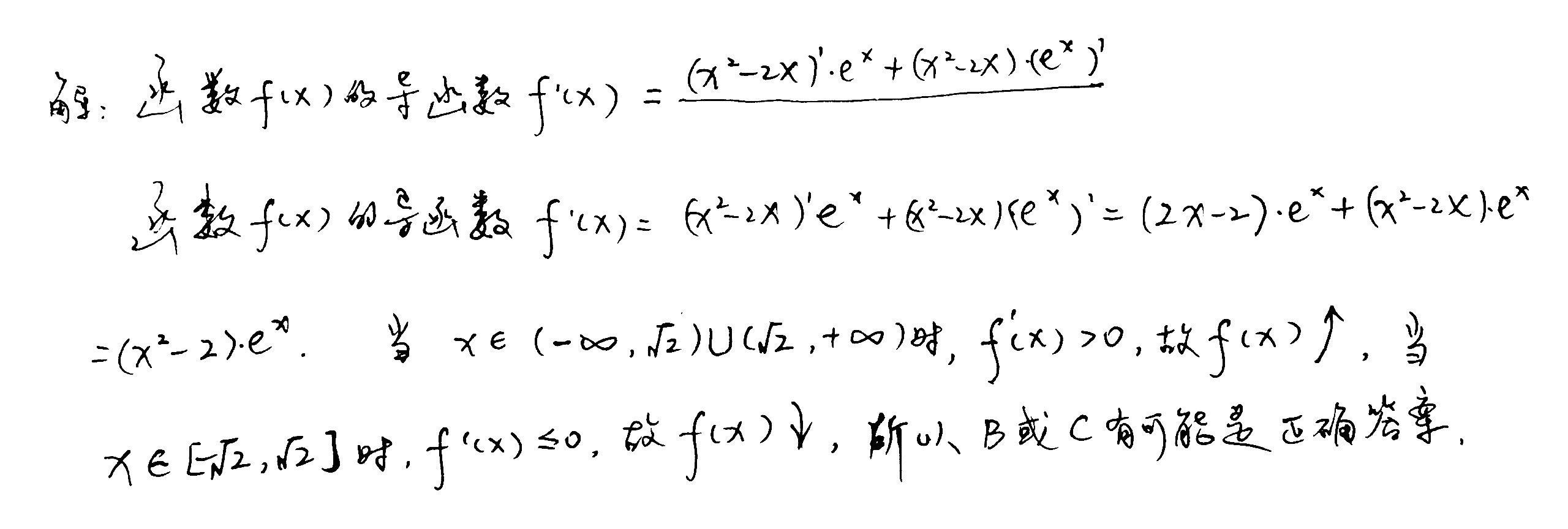
导数函数的单调性如何找定义域,导数的值域是原函数的定义域

导数函数的单调性如何找定义域,导数的值域是原函数的定义域

导数函数的单调性如何找定义域,导数的值域是原函数的定义域

导数函数的单调性如何找定义域,导数的值域是原函数的定义域

导数函数的单调性如何找定义域,导数的值域是原函数的定义域

导数函数的单调性如何找定义域,导数的值域是原函数的定义域

导数函数的单调性如何找定义域,导数的值域是原函数的定义域

导数函数的单调性如何找定义域,导数的值域是原函数的定义域