氟康唑与伏立康唑都是*唑三**类抗真菌药物,通过抑制真菌中由细胞色素 P450 介导的 14α-甾醇去甲基化阻止了麦角甾醇的生物合成,从而发挥杀菌作用。由于其安全、高效、广谱的特性,被广泛应用于深部真菌感染的治疗和预防 [1]。
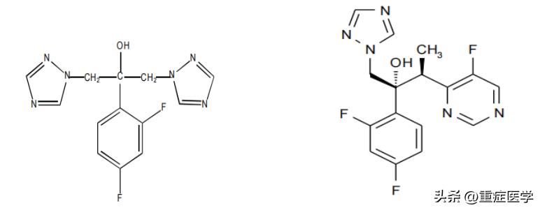
然而,两者化学结构并不相同。氟康唑化学名称为 2-(2, 4-二氟苯基)-1, 3-双
-(1 H-1, 2, 4-*唑三**-1-基)-2-丙醇分子式:C13 H12F2N6O。伏立康唑化学名称:(2R,3S)-2-(2,4-二氟苯基)-3-(5-氟基-4-嘧啶)-1-(1 H-1,2,4-*唑三**-1-基)-2-丁醇,分子式:C16 H14F3N5O。

氟康唑化学结构(左)与伏立康唑化学结构(右)
正是因为化学结构的不同,两者抗菌谱显著不同。临床抗真菌治疗该如何选择?让我们一起来看看吧!
1
抗菌谱不同
氟康唑对酵母样菌抗菌活性强,尤其是对白色念珠菌与新生隐球菌,但对光滑念珠菌及克柔念珠菌基本无活性;而伏立康唑除对曲霉菌作用显著外,对耐氟康唑的念珠菌属、隐球菌、镰刀霉属和组织胞浆菌等具有较好抗菌活性 [1-2],具体见表 1:
表 1 氟康唑与伏立康唑对常见真菌的抗菌活性比较 [3]

注:++为推荐、+为敏感、±为抗菌活性不确定、0 为不推荐、抗菌活性不佳或天然耐药
2
临床应用的区别
近年来, 我国侵袭性真菌感染(IFD)发病率日益增高,其中主要病原体为曲霉、隐球菌、念珠菌,而肺是 IFD 最常见的靶器官 [1,4]。对于轻症的白色念珠菌、新生隐球菌感染,首选氟康唑治疗;对于曲霉菌感染,首选伏立康唑治疗。具体推荐如下:
侵袭性曲霉病(IA):
曲霉分生孢子吸入后可暂时黏附和寄居呼吸道,如吸入量大或人体免疫功能损害则萌发菌丝,引起发病。肺部是 IA 最常见的感染部位,超过 75% 的 IA 发生于肺部,少见鼻窦、中枢神经系统和心脏等部位感染 [5]。烟曲霉是引起 IFD 的最常见致病菌,其治疗方案见表 2:
表 2 侵袭性曲霉病的治疗方案 [1,4-6]

隐球菌病:
隐球菌可以感染人体的任何组织和脏器 ,最常见的部位是中枢神经系统,其次为肺部和皮肤,但近年来,肺隐球菌病发病率逐年增高,其治疗方案见表 3:
表 3 隐球菌病的治疗方案 [7-8]

侵袭性念珠菌病:
念珠菌血症是侵袭性念珠菌病最常见的临床类型,常预后不佳,其他感染类型包括腹腔、心脏、眼内、中枢、肺部等部位感染。原发性念珠菌肺炎临床上较为少见,下呼吸道标本直接镜检和分离培养出的念珠菌无法区分定植与感染,临床意义不大。侵袭性念珠菌病治疗方案见表 4:
表 4 侵袭性念珠菌病的治疗方案 [1,4,9]

非常见肺部真菌病的治疗:
(1)组织胞浆菌病的治疗:严重感染,包括中枢神经系统感染,初始治疗应予两性霉素 B 治疗,而轻至中度的感染使用伊曲康唑治疗。氟康唑疗效次于伊曲康唑,伏立康唑和泊沙康唑对于 H 荚膜组织胞浆菌病疗效显著,用于抢救治疗。
(2)球孢子菌病的治疗: 免疫健全患者初次感染球孢子菌且没有播散风险者,不建议抗真菌治疗。对于有并发症或播散风险高的患者,首选氟康唑或治疗,严重感染可选择两性霉素 B 治疗,病情改善后予氟康唑或伊曲康唑序贯治疗。
3
两种药物的不良反应及注意事项
氟康唑与伏立康唑口服生物利用度高,对肝肾功能不全者需调整剂量,具体见表 5:
表 5 氟康唑与伏立康唑不良反应及注意事项

参考文献
[1] 中华医学会呼吸病学分会. 肺真菌病诊断和治疗专家共识 [J]. 中华结核和呼吸杂志,2007.30(11):821-834.
[2] 药理学(第 9 版). 人民卫生出版社
转自:丁香园感染时间