在物理层处理的上下文环境中,LTE波束成形的整个过程如下所示。
<BeamForming的预编码>
在使用BeamForming的情况下,预编码几乎什么都不做,而在下面显示为BF(Beam Forming)的阶段发生了类似于Precoding的事情。 从理论上讲,我们可以按照以下三种大致方式来实现Beamforming。 但据我了解,在LTE中,<场景1>是最常用的。 (注意:在5G / NR中使用大量天线的系统中,最有可能使用<场景3>)
<场景1:纯基带>

基带Beamforming
这种类型的基本波束成形模型在36.101(B.4.1,B.4.2,B.4.3)中进行了描述,并提出了以下三种不同的类别。
<情况2:纯射频>

纯射频Beamforming
<情况3:混合模式>

混合模式Beamforming
<单层随机波束成形(天线端口5、7或8):36.101 B.4.1>
此类型有以下两种情况。 TM8,DCI格式2B单层将属于这种类型。
i)在另一个天线端口上没有同时传输

单层Beamforming:只有一个端口传输
ii)在另一个天线端口上同时传输

单层Beamforming:两个端口都有传输
<双层随机波束成形(天线端口7和8):36.101 B.4.2>
TM8,DCI格式2B双层波束成形就属于这种类型。

双层Beamforming
<通用波束成形模型(天线端口7-14):36.101 B.4.3>
TM9,DCI格式2C双层将属于这种类型的Beamforming。

通用波束成形模型
与其他模型(如B.4.1和B.4.2)不同,W(i)的定义并不总是很明显。 36.101 B.4.3说“预编码器矩阵W(i)用于特定的测试用例。”,这意味着我们必须定义特定的测试用例(情况),然后尝试定义W(i)。
例子1:8 x 2(8天线,2层)
在此示例中,我将研究通过8 Tx天线传输两层数据的情况。 两个UE特定参考信号p7,p8进行波束成形,并且将发送8个CSI RS端口(p15〜p22)以在UE侧进行CSI估计。 天线端口和物理天线之间的总体映射如下所示。
<天线端口与物理天线之间的映射>

天线端口与物理天线之间的映射
首先,似乎很明显,我们需要一些东西来在8根物理天线上分配两层数据,并且很容易理解我们需要遵循以下形式的矩阵。
<波束成形矩阵将两个用户端口转换为8根物理天线>

波束成形矩阵将两个用户端口转换为8根物理天线
现在我们必须找出(或定义)每个矩阵单元的值。为此,我们必须更具体地定义模型。
36.213 7.2.4预编码矩阵指示符(PMI)的定义如下,本示例由下面的高亮部分描述。
对于传输模式4、5和6,预编码反馈用于基于信道的码本的预编码,并且依赖于UE报告预编码矩阵指示符(PMI)。对于传输模式8,如果配置了PMI / RI报告,则UE将报告PMI。对于传输模式9,如果配置了PMI / RI报告且CSI-RS端口数大于1,则UE将报告PMI。UE应基于7.2.1和7.2.2中描述的反馈模式报告PMI。对于其他传输模式,不支持PMI报告。
矩阵的确切值由UE PMI报告确定,网络根据下表构造矩阵W(i)。
36.213表7.2.4-2使用天线端口15至22进行2层CSI报告的码本

36.213表7.2.4-2使用天线端口15至22进行2层CSI报告的码本
让我感到困惑的第一件事是“ i_1和i_2定义在哪里?” 它们是什么意思(表示)? 这些在36.213的第7.2.1节“宽带反馈->模式1-2描述”中进行了描述,如下所示。 当然,了解这些变量的实际含义将花费很长时间。 (首先,您必须首先了解CQI / RI反馈类型页面上的所有内容,才能了解这些i_1和i_2)

以下是来自36.212的有关来自UE的i1和i2报告的更详细的信息。
<36.212-表5.2.3.3.1-3A:用于RI和i1的联合报告的UCI字段(使用2/4/8天线端口配置PMI / RI报告的传输模式9和使用2/4/8天线端口配置PMI / RI报告的传输模式10 )>

<36.212-表5.2.3.3.2-2B:用于UE选择的子带报告的信道质量反馈的UCI字段(配置有8个天线端口的PMI / RI报告配置的传输模式9和配置有PMI / RI报告的传输模式10 带有8个天线端口)>

<36.212-表5.2.3.3.2-2B:用于UE选择的子带报告的信道质量反馈的UCI字段(配置有8个天线端口的PMI / RI报告配置的传输模式9和配置有PMI / RI报告的传输模式10 带有8个天线端口)>

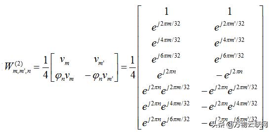
现在让我们研究W(i)矩阵的更多细节。 让我们为这种情况构造W(i)矩阵的通用形式。 矩阵在上表的底部定义。
您会注意到W(i)由以下两个部分组成。
参照36.213 7.2.4

使用这两个组件,可以构造W(i)矩阵的通用形式,如下所示。 对于每种特定情况,我们必须找出n,m',n来用特定值填充矩阵。 n,m',n由PMI报告和表7.2.4-2确定。
参照36.213表7.2.4-2

<CSI RS配置>
如上所述,Beamforming实现的关键问题是如何为每个传输找出合适的BeamForming矩阵。就像在常见的MIMO技术中一样,我们可以想到以下几种不同的方法。
i)开环方法:这是基于以下假设:网络“ SOMEHOW”知道适当的波束成形矩阵,而没有来自UE的任何信息。理想情况下,我们可以考虑以下两种方法。 (实际上方法a)没有多大意义)
a)对所有传输应用相同的波束成形矩阵
b)应用动态变化的波束成形矩阵,但不基于特定的UE报告
ii)闭环方法:这是网络根据UE的特定报告生成正确的波束成形矩阵的方法。为此,网络发送称为(CSI-RS)的特定导频信号,UE根据接收到的CSI-RS评估其接收信号质量,并将结果报告给网络。 (有关LTE中为此目的使用的CSI-RS配置,我们会在“ CSI-RS和周期性”部分中讲解)