题如标题。
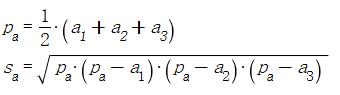
第一反应这个命题是假的。因为最朴素的思想,大名鼎鼎的“海*公伦**式”,用三角形三边长求面积,即:
公式中a,b,c是三角形三边长度,p是三角形周长的一半,S是三角形面积。显然,这里虽然确定了S和2p,得到了关于a,b,c的两个方程,但未知数是三个,那么通常来说,解是不唯一的。
当然,证明一个命题是假的,只需要找到一个反例。从教科书和网上不难找到现成的反例,比如下面两组反例:
【1】边长分别为【17, 25, 28】和【20,21,29】的两个三角形。
【2】边长分别为【4, 11, 11】和【7,7,12】的两个三角形。
虽然对于一道判断题来说,一个反例就可以判断出对错。但本着料敌从宽的思想,万一下次的题目改成:给定一个三角形,找出和这个三角形周长和面积都一致但跟它不全等的三角形。上面的反例就没有用了。接下来就是研究这个问题:
可以肯定,如果存在这样的三角形,那么是无穷多个,三角形是一个解集。还是从海*公伦**式出发,两个方程,三个未知数(三边长)。所以其中一条边长是自由变量,就是在合理的范围内自由取值。
所谓合理,就是那些朴素的几何条件,比如:三角形边长是正实数,三角形任意一边的长度小于半周长p(否则三边形成不了三角形)。选定其中一条边为自由变量之后,三角形的其余两边由两个方程约束,可以求得确定的表达式。
总结一下,就是:以给定三角形A的周长2p和面积S,及待定三角形B在合理范围内选定的一边长 ,可以求得B的另外两条边 的表达式。这样就得到了三角形B的形式解。
所谓形式解,就是解的合理性仍需验证。因为 的表达式中往往含有根式,如根式内的值是负实数,则开根式就会得到含虚部的复数。这样的结果是不合理的,因为平面图形的空间是 空间,一个含有虚部的复数是无法在这个空间内标记的。若得到这样的结果,说明 的取值不合理,需要重新选取。
形式解若通过了合理性验证,就得到了一个合理的三角形B。
上面叙述的方法整理为下面的计算过程:
【1】首先给定一个三角形(三角形A),即给定三角形的三边长:
计算A的半周长和面积(由海*公伦**式):

【2】然后对于待求的三角形B,给定其中一边的长度:
计算B的半周长和面积(由海*公伦**式):

其中,因为半周长相等,所以这里求面积使用的是A的半周长,这样表达式中将尽可能多地出现已知数据,对后续解方程有利。
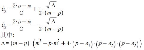
【3】解方程组:
根据已知条件,得到方程组{ },其中 是选定的,未知数为 ,这样就可以解得未知数的解析式。解这个方程组过程复杂,这里直接写出结果(经过整理):

结果中: 为给定的三角形A的三边长;p为半周长; 为待定三角形B首先确定的一边的长度。
若有必要,这里可以通过以下不等式组求出m的取值范围:
(1) 结果为实数,则: (此不等式并不好解)
(2) 边长为正数,则: m>0
(3) 三角形边长小于半周长,则: m<p
通过上述不等式组,可以求得m的具体取值范围。此时得到的就是通解:
即满足上述表达式的所有合理的解都是满足题目要求的三角形。
当然,如果具体找出一个特解(找出具体的某一个三角形),则求m的范围不是必须的,因为可以尝试取初值,计算得到形式解,形式解经检验合理,就是最终解。
【4】具体求出一个例子:
这里选定一组数据,找出一组三角形:
选定三角形A的三边为:3,4,5 (显然这是一个经典的直角三角形)。
选定三角形B的一边为:
套用上面的公式,可得:
可以验证,以 为三边长度的三角形B的面积为6,周长为12。周长和面积数据与三角形A一致。但显然,三角形A和三角形B不是全等的,因为最基础的三边就不相等。
----------
最后,再从直观的几何角度看待这一问题:
前面【1】到【4】部分基于代数方程的方法对于中学生理解这一结论有一定的困难。本部分基于直观的平面几何知识,构造出两个三角形,它们的周长和面积一致,但不全等。
几何方法主要基于椭圆的一个定义:一动点到两定点距离之和为定值,该动点的轨迹为椭圆。
首先,将待定三角形B首先选定的 当作椭圆两个焦点的距离,该距离为2c。且椭圆周上的任意动点到两个焦点的距离之和为定值,该定值是2a。显然,2c选定后,2a就可以由已知的周长计算而得,即: 。进一步的, 。这样,椭圆的半长轴a和半短轴b都已得到,于是得到一个确定的椭圆:
另外,由于三角形B的一边长 已选定,
由三角形面积公式,得: ,可解得此边的高:
这里,s是已知的面积值,则h的值可确定。于是得到两条确定的直线:
当初始c的取值合理时,可使得h<b,即三角形B的高度h小于椭圆短半轴b的长度。此时椭圆和两条直线之间存在四个交点(当相切时则是两个交点)。连接 的两个端点( 即:坐标 )和这些交点中的任意一个。都可以得到三角形B,它与给定的三角形A的周长和面积都相等,但两个三角形不全等。
下图演示了第四部分求得的例子:

图中黑色三角形是给定的三角形A(3,4,5),这是一个经典的直角三角形。
图中四个彩色三角形就是求得的三角形B
显然彩色的三角形B都不是直角三角形,它与三角形A不全等。