
今天要解读的知识点是换元法。
问题索引:
- 换元法的使用场景是什么?
- 需要积累的换元基本公式有哪些?
首先来解决第一个问题,换元的使用场景,换元的重要使用场景是三角代换,目的是通过三角代换去掉根号。
在这里需要注意一个问题:在解不定积分的时候,换元在最后需要还原变量,而解定积分的时候,就不需要了,因为换元的时候,上下限也跟着换了,相当于计算了另外一个在数值上与原积分相同的积分。
三角代换常用公式

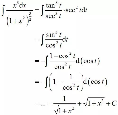
例题:

做变换:


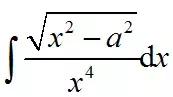
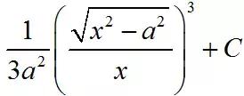
思考题:

提示:

答案:

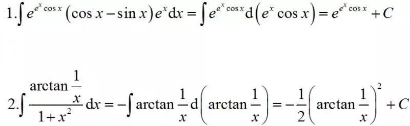
昨天问题答案:

——END——

今天要解读的知识点是换元法。
问题索引:
首先来解决第一个问题,换元的使用场景,换元的重要使用场景是三角代换,目的是通过三角代换去掉根号。
在这里需要注意一个问题:在解不定积分的时候,换元在最后需要还原变量,而解定积分的时候,就不需要了,因为换元的时候,上下限也跟着换了,相当于计算了另外一个在数值上与原积分相同的积分。
三角代换常用公式

例题:

做变换:


思考题:

提示:

答案:

昨天问题答案:

——END——