
A.I.的背后
2015年, AlphaGo与人类围棋天才李世石五番棋决战。
第四局,李世石判断黑空中有棋,下出白78挖。李世石这史诗级的“神之一手”,
体现了人类巅峰的直觉、算力和创造力。

五年过去了,李世石这位天才棋手已经退役。
AI却在各个智力领域将人类逼得连连败退。
- 2016年,DeepMind又打败当时世界排名第一的柯洁。
- 2017年,Libratus赢得了德州扑克大战。
- 2018年,Watson肺癌治疗精确度达到90%超过人类医生。
- 2019年,A.I.又开始了“深度学习”暴风雨式的革命。
………
也有人说,自然科学领域A.I.可以战胜人类。
但在艺术领域,人工智能它没有办法与人类比肩。
A. I.真的就不懂艺术吗?
即使它写不出《第九交响曲》这样的经典,
难道不能创作出朗朗上口的儿歌?
即使A.I.不能“自由思考主观表达”,
但在艺术上助力人类总可以吧。
A.I.真的不能“主观创造”?
A. I.的思维方式到底是怎样的?
A. I.的智能与人类智力到底有何不同?
要回答这些问题,我们先要研究“贝叶斯定理”。
因为它是隐藏在A.I.背后的智能基石。
“不科学”的贝叶斯公式
历史有许多天才,生前籍籍无名,死后众人崇拜。
18世纪数学家托马斯·贝叶斯也是其中一位。
“贝叶斯”定理源于解决“逆向概率”问题时写的论文。
在此之前,人们只会计算“正向概率”。
什么是“正向概率”呢:
假设袋子里面有P只红球,Q只白球,它们除了颜色之外,其它性状完全一样。你伸手进去摸一把,摸到红球的概率是多少是可以推算出来的。
但反过来是否也可以计算,我们可以将它视为“逆向概率”:
如果我们事先并不知道袋子里面红球和白球的比例,而是闭着眼睛摸出一些球,然后根据手中红球和白球的比例,对袋子里红球和白球的比例作出推测。
这个问题就是逆向概率问题。
通俗地讲,就像一个迷信星座的HR,如果碰到一个处女座应聘者,HR会推断那个人多半是一个追求完美的人。
这就是说,当你不能准确知悉某个事物本质时,你可以依靠经验去判断其本质属性。
这个研究看起来平淡无奇,名不见经传的贝叶斯也未引人注意。
他写的论文直到他死后的第二年,才由他的一位朋友在1763年发表。
明珠蒙尘,就像画界的梵高,画稿生前无人问津,死后价值连城。
为什么贝叶斯定理200多年来一直被雪藏,不受科学家待见?
因为它与当时的经典统计学相悖,甚至是“不科学”的。
经典统计学中,数字规律来源于随机取样再行计算。
贝叶斯方法则建立在主观判断基础上,你可以先估计一个值,然后根据客观事实不断修正。
从主观猜测出发,这显然不符合科学精神,所以贝叶斯定理为人诟病。
1774年,法国的大数学家拉普拉斯也看到贝叶斯定理的价值。
不过他知道人类的普遍毛病,总是用传统来反对新思想。他懒得与人争论,直接给出数学表达:

贝叶斯公式是这样工作的
贝叶斯定理简单优雅、深刻隽永。
贝叶斯定理并不好懂,每一个因子背后都藏着深意。
它到底是如何“为人民服务”的呢?
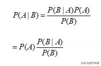
对于贝叶斯定理,参照上面的公式,首先要了解各个概率所对应的事件。
P(A|B)是在B发生的情况下A发生的概率;
也叫作A的后验概率,是在B事件发生之后,对A事件概率的重新评估。
P(A)是A发生的概率;
也叫作A的先验概率,是在B事件发生之前,对A事件概率的一个判断。
P(B|A)是在A发生的情况下B发生的概率。
P(B)是B发生的概率。

而贝叶斯定理的含义也不言而喻:先预估一个“先验概率”,再加入实验结果,看这个实验到底是增强还是削弱了“先验概率”,修正后得到更接近事实的“后验概率”。
就知道你没看懂……那还是举个例子吧!
我们以COVID-19疫情为例。
假设COVID-19的发病率是0.001,即1000人中会有1个人得病。
某病毒研究所研发出了一种试剂,可以用来检验你是否得病。
它的准确率是0.99。即在你确实得病的情况下,它有99%的可能呈现阳性。
它的误报率是0.05,即在你没有得病的情况下,也有5%可能呈现阳性(也就是医学界令人头疼的“假阳性”)
可怕的事情来了:如果你的检验结果为阳性,那你确实生病的可能性有多大?
这是一个要命的问题,你一定想知道结果,所以你得好好看以下推论。
假定A事件表示生病,那么P(A)为0.001,这就是“先验概率”。
假定B事件表示阳性,那么要计算P(A|B),即检测后对发病率的估计。
P(B|A)表示生病情况下呈阳性,也就是“真阳性”,P(B|A)为0.99。
P(B)是一种全概率,为每一个样本子空间中发生B概率的总和。它有两个子情况,一个是没有误报的“真阳性”,一个是误报了的“假阳性”,套用全概率公式后:

一种准确率为99%的试剂,你被检测到呈阳性。
你可能被吓得失魂落魄,人生就这样88了吗?可在贝叶斯的眼中,这种可信度也不过2%。原因无它,5%的误报率在医学界可谓非常高了。
别看表面的数据,我们要相信贝叶斯的数学结论。
看似冷酷的贝叶斯定理会温柔的安慰你:
别怕,不到2%的概率。
贝叶斯公式取得了人类信任
今天的贝叶斯理论已经开始遍布各地。
从物理学到癌症研究,从生态学到心理学,
贝叶斯定理几乎像“热力学第二定律”一样放之宇宙皆准了。
物理学家提出量子机器的贝叶斯解释,捍卫弦和多重宇宙理论。
哲学家主张作为一个整体的科学可以被视为一个贝叶斯过程。
而在IT界,AI大脑的思考和决策树,更是被工程师设计成了一个贝叶斯程序。
在日常生活中,我们也常使用贝叶斯公式进行决策,只是自己没有注意到这就是“贝叶斯定理”。
比如我们到河边钓鱼,根本就不知道哪里有鱼,似乎只能随机选择,但实际上我们会根据贝叶斯方法,利用以往积累经验找一个回水湾区开始垂钓。
这就是根据先验知识进行主观判断,在钓过以后加强这种判断,然后下一次进行再选择。
所以,在认识事物不全面的情况下,贝叶斯方法是一种理性且科学的方法。
贝叶斯理论现在被认可主要来源于两件事:
❶《联邦*党**人文集》作者揭密
1788年,《联邦*党**人文集》匿名出版,两位作者写作风格几乎一致。其中12篇文章作者存在争议,而要找出每一篇文章的作者极其困难。
两位统计学教授采用以贝叶斯公式为核心的分类算法,10多年的时间,他们推断出12篇文章的作者,而他们的研究方法也在统计学界引发轰动。
❷美国天蝎号核潜艇搜救
1968年5月,美国海军天蝎号核潜艇在大西洋亚速海海域失踪。军方通过各种技术手段调查无果,最后不得不求助于数学家John Craven。
Craven提出的方案同样也使用了贝叶斯公式,搜索某个区域后根据搜索结果修正概率图,再逐个排除小概率的搜索区域,几个月后,潜艇果然在爆炸点西南方的海底被找到了。
2014年初马航MH370航班失联,科学家想到的第一个方法就是利用海难空难搜救的通行方法——贝叶斯定理开始区域搜索。
这个时候,贝叶斯公式已经名满天下了。
贝叶斯定理展示“神迹”
当然,贝叶斯定理名扬天下,主要还是在人工智能领域的应用。特别是自然语音的技术识别,让人类见识了A.I.的“思考力”。
人类语言的多义性,可以说是信息里最复杂最动态的一部分。
机器怎么知道你在说什么?
2020年,只要你看到机器翻译的准确性,
你也会感叹这简直就是“神迹”,它们比大部分现场翻译要强得多。
语音识别本质上是找到概率最大的文字序列。
一旦出现条件概率,贝叶斯定理总能挺身而出。
我们用P(f|e)区别于以上的P(A|B)来解释语音识别功能。
统计机器翻译的问题可以描述为:给定一个句子e,它可能的外文翻译f中哪个是最靠谱的。
即我们需要计算:P(f|e)

这个式子的右端很容易解释:
那些先验概率较高,并且更可能生成句子e的外文句子f将会胜出。
我们只需简单统计就可以得出任意一个外文句子f的出现概率。
随着大量数据输入模型进行迭代,随着计算能力不断提高,随着大数据技术的发展,贝叶斯定理威力日益凸显,贝叶斯公式巨大的实用价值也愈发体现出来。
语音识别仅仅只是贝叶斯公式运用的其中一个例子。
实际上,贝叶斯思想已经渗透到了人工智能方方面面。
贝叶斯网络,AI智慧的拓展
语音识别,见证了贝叶斯定理的能力。
贝叶斯网络的拓展,则可以看到更强大的人工智能未来。
借助经典统计学,人类已经解决了一些相对简单的问题。
然而经典统计学方法却无法解释复杂参数所导致的现象,例如:
- 龙卷风的成因,2的50次方种可能的最小参数值比对;
- 星系起源,2的350次方种可能的星云数据处理;
- 大脑运作机制,2的1000次方种可能的意识量子流;
- 癌症致病基因,2的20000次方种可能的基因图谱;
……
面对这样数量级的运算,经典统计学显得力不从心。
科学家别无选择,最终寻找贝叶斯定理给予帮助。
把某种现象的相关参数连接起来,再把数据代入贝叶斯公式得到概率值,公式结网形成一个成因网,即贝叶斯网络,如下图所示:

这也是贝叶斯网络被称为概率网络、因果网络的原因。
利用先验知识和样本数据,确立随机变量之间的关联,然后得出结论。
一个又一个的节点,一个又一个的概率,都来源于人类的先验知识,有效知识越多,贝叶斯网络展示的力量越让人震撼。
今天一场轰轰烈烈的“贝叶斯革命”正在AI界发生:
贝叶斯公式已经渗入到工程师的骨子里,贝叶斯分类算法也成为主流算法。
在很多工程师眼中,贝叶斯定理就是AI发展的基石。
A.I.的思考方式:无文理之分
读懂了贝叶斯定理,也就基本理解了A.I.的思考方式。
这也是为什么“大数据+算法+算力”构成人工智能三要素。
❶大数据,它是A.I.的老师,它教会A.I.成为一个什么样的人。
❷算力,这属于个人能力,长大后的A.I.处理问题时需要的能量。
❸算法,创世主赋予的方*论法**(天赋),算法越优秀越事半功倍。

从这些核心要素出发,我们回头来看开头的问题:
A. I.真的不懂艺术吗?
它不能“主观创造”吗?
它在艺术上不能助力人类吗?
答案是否定的,人工智能思维方式并无文理之别。
它是个理科生,也是个文科生,还是个艺术生。
A.I.的思维基因来源于主观性“贝叶斯定理”,只要有好的数据,机器经过学习,可以创作出经典艺术作品。
当前,“AI+艺术”已经成为新思潮。
法国艺术团队Obvious通过绘画数据创作《爱德蒙德贝拉米》A.I.艺术品,在佳士得拍出432500美元高价,震惊世人。
AI也能作曲!OpenAI神经网络已经能创作任何流派。2019年,来自澳洲的《绝美世界》获得AI版“欧洲歌唱大赛”冠军,这支歌曲以纪念澳洲大火中丧生的动物为背景,以欧洲歌唱大赛歌曲为大数据,交由AI谱曲填词。
知名音乐人Newton Rex谈到:音乐人生充满创意,用正面眼光看待AI在音乐中扮演的角色,音乐教育,人类与AI也可以携手。
A.I.是一个好的音乐助理
A.I.技术在艺术教育已经做出贡献,举个例子:腾讯发起一个“腾讯荷风艺术行动”公益项目,探索出一条“AI+艺术教育”的道路,目标是普及乡村青少年艺术教育。
2019年7月,腾讯发起“互联网音乐教室计划”,把AI技术融入到音乐课堂中。
截至今年5月,计划中的100个音乐教室已在*疆新**、四川、河北等10省份成功落地,为超过8万乡村师生提供音乐教学服务,还将陆续投入到疫后艺术课程的复课之中。

互联网音乐教室计划
在这个公益活动中,AI技术在艺术教育中起了很大作用。
❶实时对孩子的学习情况互动反馈
❷清楚了解学生的学习行为轨迹
❸提供更精准化个性化的学习策略
❹对学生而言,AI 就像一个专属助教
❺对老师而言,可以集中精力创造性教学
❻对家长而方,完整了解学习到的知识点
A.I.可能不会代替传统意义上的音乐老师,但它会是一个任劳任怨的助理。
这些学校多了一位全天候的专业音乐老师,“点亮”孩子的音乐梦想。

今年六一,“腾讯荷风艺术行动”携手QQ音乐、全民K歌发起的“艺术行动儿童音乐共创大赛”评选揭晓,4首优秀原创儿歌及10个优秀儿歌创词作品从8150首作品中脱颖而出。
其中,《未来的你加油》《小蚂蚁》《爸爸》《雪娃娃》等4首获奖作品,被收录进《儿歌新唱》公益音乐专辑,由“腾讯荷风艺术行动”联合QQ音乐首发,成为送给孩子们最为特别的儿童节礼物。
王俊凯、AI艾灵、艺术行动小朋友《点亮》MV_腾讯视频
当然,A.I.除了在音乐教育上是一个不错助理,它还可以写歌词,唱歌曲:“艾灵”就是由腾讯AILab打造的“数字人”,此次它将与王俊凯合作,听众通过“王俊凯AI唱我的歌”H5,选择代表自己童年想象的关键词,“艾灵”就可以在线智能创作乐曲,并实时演唱。
其原理,就是利用汉字、音乐旋律与和弦的素材,通过DurIAN-singing synthesis的声学模型,经过贝叶斯网络组合,变成歌曲后,再进行个性化歌声合成,模拟王俊凯音色唱出。

A.I.会说出“我思故我在”吗?
从贝叶斯定理出发,工程师认为人工智只能是数学概率,
绝不会产生自由意志;
人们一直相信,AI永远不懂人的爱恨情仇,就像白天不懂夜的黑。
然而,人工智能对艺术的模拟,已经超越大部分人的鉴别能力,
不久将来,AI可能会通过“音乐图灵测试”,
最好的音乐AI与最伟大的音乐教师又有何分别?
也许AI距离在艺术领域大规模的应用尚有差距,
但腾讯在运用AI力量普及艺术教育方面的探索,未尝不是一种很好的探索。
- Google自动驾驶汽车的操纵系统;
- 挑战人类最后智慧堡垒的AlphaGo系统;
- 腾讯OpenAI在音乐生成方面的新创作;
从贝叶斯网络到神经网络,AI越来越像人。
这一切,都建立在在贝叶斯定理的基因上。
如果AI能够创造一首歌,那么它就能成为伟大的音乐教堂。
笛卡尔说出“我思故我在”时,被认为是“人类的觉醒”。
A.I.有一天也会问“我是谁”吗?
如果人类想在底层系统中预设答案。
那么我们会设定:
你是“具有自由意志的A.I.”,
还是“你是人类创造的A.I.”。