摘 要:
为从大量水位影响因子中提取重要特征实现水位的高效、精准预测,提出改进的深度残差收缩网络与长短时记忆网络的混合模型用于多时间尺度水位预测。选取水位、流量、电站出力等数据拟合为高维特征输入的形式便于网络提取水位变化的动态特征。利用新的半软阈值函数消除深度残差收缩网络的恒定偏差并降低水文数据中的噪声干扰。根据预测误差,采用新构建的误差权重修正函数配合交叉熵函数对水位影响因子进行权重修正。阿基米德优化算法被用于调整长短时记忆网络的参数。将新模型应用于向家坝水电站下游水位的多时间尺度预测,结果表明,该方法的预测精度比现有CNN-LSTM、SVR等模型分别提高47%、61%,预测效率分别提高57%、20%,其短期、中期和长期的最大预测误差为0.09 m、0.14 m、0.31 m,证明模型在多时间尺度的水位预测中取得良好的精度和效率。此外,考虑支流流量后的预测误差最高可降低0.03m,证明模型对回水顶托等复杂水文的适应性,研究成果为洪水预测和城市雨洪预警提供新思路。
关键词:
水位预测;深度残差收缩网络;长短时记忆网络;特征提取;梯级水电站;
作者简介:
胡昊(1979—),男,副教授,校长,博士,主要从事智慧水利、清洁能源与多能互补研究。
*马鑫(1992—),男,硕士研究生,主要从事水电站优化调度、水文水资源数据挖掘、电力系统分析研究。
基金:
国家重点研发计划重点专项“长江水资源开发保护战略与关键技术研究”项目(2019YFC0409000);
河南省高等学校青年骨干教师培养计划(2019GGJS105);
河南省高等学校重点科研项目(22A57006);
河南省重点研发与推广专项(222102320134);
引用:
胡昊,马鑫,徐杨,等. 基于权重修正和 DRSN-LSTM 模型的向家坝下游水位多时间尺度预测[J]. 水利水电技术( 中英文) , 2022,53( 7) : 46-57.
HU Hao,MA Xin,XU Yang,et al. Multi-time scale prediction for Xiangjiaba's downstream water level based on weight correction and DRSN-LSTM model[J]. Water Resources and Hydropower Engineering,2022,53( 7) : 46-57.
0 引 言
目前,大型水电站的水位预测模型尚存在预警能力不足、预报精细化不够、模型智能化欠缺、经验性模型偏多等问题。在实际工况中,上下游水电站之间水位的相互作用、坝间往复流、联合调度产生弃水等因素增加了水位预测的难度。与此同时,国内外针对梯级水电站的水位预测研究较少,且向家坝电站下游水位变化受其下游支流(岷江、横江)回水顶托影响,复杂的水文条件给水位预测带来了更多不确定性。为满足智慧水利的发展需求,搭建精准高效的多时间尺度水位预测模型有助于维护水电站的运行安全并提高其综合效益。
常用的水位预测方法集中在常规水力学模型和人工智能两个方向。水动力学模型、非恒定流法、水位流量查值法等方法能快速获取预测水位,其中,大型梯级水电站常用的标准曲线法是基于流量-水位关系来完成水位预测,而短时间内水位与流量的映射关系是变化的,可能存在一个水位值对应多个流量值的情况从而影响最终的预测结果。与此同时,梯级水电站单体复杂程度高,上下游梯级之间联系紧密,其水位变化受电站出力、流量变化、上游水位、气候、温度、蒸发量、坡程、时间滞后性等多因素影响,且基于时序的水文数据存在非线性和不确定性的特征,导致常规水力学方法难以准确地对水位变化特性进行规律性分析和趋势预测。部分研究已经开始探索机器学习等智能技术在水位预测中的效果,诸如决策树、支持向量机、随机森林和神经网络等。为获取受潮汐影响下的水位结果,ZHONG等将电站的多个水位日数据嵌入KALMAN滤波模型中进行水位预测,该方法能够准确捕捉线性关系间的特点,但不适用于多步预测,尤其在水位关系是非线性条件下其预测误差存在较大波动;李欣等在时空序列的基础上构建径向基函数的神经网络来预测向家坝下游水位,该方法在处理非线性的水文数据时有良好的表现,但仅以水位数据作为输入,忽略其他因素对水位的影响权重,而且在计算过程中,该模型会将特征转化为数字来进行数值的推理计算,易导致部分信息丢失;WEI等为了提高支持向量机在水位预测中的精度,采用粒子群优化算法对相关向量机的参数进行优化,并采用小波分解对水文数据进行处理,但该方法需要信号系统的专业知识,设计较为复杂,且在数据重组阶段可能出现特征丢失或特征重叠情况。此外,单一的机器学习算法在面对大量时间序列数据时仍存在计算效率偏低、数据特征提取不完整、参数设置存在主观干扰等问题。在众多智能模型中,卷积神经网络凭借其在图像识别、故障诊断领域的良好表现使其在水位预测领域拥有了巨大的发展潜能,该模型能够从大量数据中学习映射变量和响应变量之间复杂的函数关系,不依靠主观经验设置关键阈值和模型框架。BARZEGAR等已将卷积神经网络应用于水位预测,采用水位相关的多影响因素作为模型输入,依靠模型的特征提取能力获取长时间序列下的水位预测结果。相比其他模型,卷积神经网络 (CNN)的深层结构有效地提高了预测性能。此外,基于时序建模的深度学习方法还包括长短期记忆网络 (LSTM)和循环神经网络(RNN)。特征优选被用于对水位影响因子进行筛选以改善LSTM在水位中的预测精度,嵌入的梯度下降算法则是提高运算效率,但结果表明,特征优选阶段带来的误差会在网络传递中被放大,导致最终预测结果的误差无法满足要求;王亦斌等利用EMD-LSTM模型将水文数据进行模态分解并单独进行特征预测,随后将单个预测结果进行数据重组、叠加以获取预测水位,但数据在LSTM中仅能单向传递,无法并行,对多特征数据敏感度较低,且LSTM无法准确捕捉空间特征或非时间因素对水位产生的影响。为了弥补单一模型的缺陷,已有学者利用CNN-LSTM组合模型进行水位预测,前端的CNN网络被用于强化对输入数据的特征捕捉,以弥补LSTM的弱点,该模型在预测精度和时效性均比单一的LSTM模型有着显著进步,但上述方法在处理高维数据和复杂模型时仍存在梯度消失、局部最优解等问题。新提出的深度残差收缩网络(DRSN)能有效解决CNN存在的足部,该网络的注意力机制和子通道阈值机制能够针对多维输入单独设定阈值,而且,特征工程的注意力机制可以结合数据领域的知识使模型获取更好的计算效果并增强对数据特征的敏感度,避免了高维数据给模型带来困扰的问题,网络中的软阈值结构可以实现自主的滤波学习,相比于传统的小波阈值更为高效、准确,不需要专家经验和繁杂的专业知识来设置滤波器。更重要的是,网络的去噪机制能够抑制由噪声干扰或水文数据测绘误差带来的影响。
综上,本研究将最新的深度残差收缩网络与长短时记忆网络组合进行水位预测,通过将输入数据拟合为特征图的相似结构进而将原始水文数据转换为特定形式输入模型,目的是将敏感度预测任务转化为数值预测,并引入可变权重函数根据网络预测误差进行自修正,确保水位预测模型在面对多种影响因子时能从多角度完成分析并实现水位的精准预测。最终,利用该模型对向家坝水电站的下游水位进行多时间尺度预测,为水电站优化调度提供参考依据。
1 研究区域概况
溪洛渡-向家坝梯级水电站是金沙江下游最后的梯级水电站,两座水电站控制着约97%的金沙江流域面积与下游三峡-葛洲坝相互配合,为长江流域中下游防洪提供了重要的保障。
溪洛渡水电站位于四川省雷波县和云南省永善县交汇处,以发电为主,兼具防洪、拦沙及改善库区和下游河道生态环境与航运条件等综合效益,并为下游水电站提供梯级补偿。溪洛渡水电站正常水位600 m, 汛期水位降至560 m, 在汛期运行时水位可上调2.0 m, 并拥有巨大的可供调节容量64.6亿m3。
向家坝水电站位于云南省水富市与四川省宜宾市交界的金沙江下游河段上,是金沙江水电基地最后一级水电站,也是中国第三大水电站,世界第五大水电站。水电站上游距离溪洛渡水电站坝址157 km, 电站水库正常蓄水位380 m, 汛期水位降至370 m, 在汛期运行时水位可上调2.5 m, 回水长度156.6 km, 该水电站还兼具灌溉与航运功能。此外,电站下游的岷江、横江在流量较大时会产生明显的回水顶托影响,进一步增加了下游水文的复杂度。
2 研究方法
2.1 深度残差收缩网络
深度残差收缩网络中的跨层连接能实现数据特征的正向传递和反向回溯,可提高模型的训练效率并避免梯度爆炸等问题,其结构如图1所示。

图1 深度残差收缩网络的构建单元和整体结构
数据在输入层被降维整合后输入卷积层,卷积核提取到有用的特征信息并将其传递给残差收缩层,每一个特征图均可以有一个及以上的特征通道,该特点能满足将上游水库水位、电站出力、下游支流流量等多个水位影响因子设为特征图*特中**征通道的需求。经过激活函数、批量规范处理 (BN)、软阈值操作、全局平均池化层以及交叉熵评价后获取最终水位输出。因不同通道对目标的影响权重不同,模型中的注意力机制和完全GAP层将对每一个通道设置权重并输出,从大量输入信息中捕捉关键内容并提取重要特征,删除不重要特征或降低其权重值,同时,网络的间隙层可以减少连接层的权重数量维持网络稳定。而上游电站水位、电站出力、流量等因素在目标水位的变化中有着不同的影响权重。因此,注意力机制配合子通道阈值功能协助网络捕捉水位变化过程中的空间特征和时序特征。
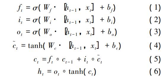
2.2 长短时记忆网络
LSTM对时间序列数据有着更高的敏感性,相比于RNN有着更高的效率,其结构如图2所示。

图2 LSTM网络中记忆模块的结构
模型的遗忘门、输入门和输出门的计算方程为

式中,ft,it和ot分别代表在t时刻下遗忘门,输入门和输出门的计算结果;Wf,Wi和Wo分别代表权重矩阵的遗忘门,输入门和输出门;bf 、 bi 和 bo 分别代表遗忘门、输入和输出门的偏差;σ代表激活函数sigmoid; [ht-1,xt]表示将两个向量连接成一个较长的向量。其中ct表示时间t的状态;ht 表示t时刻隐藏层的状态;xt代表在t时刻当前的序列输入;ct-1和ht-1分别代表记忆层和隐藏层在上一时刻的状态。存储模块输出t时刻的存储单元状态和隐藏层状态,c˜t 表示输入单元在时间t 的状态;Wc表示输入单元状态权重矩阵;bc表示输入状态的偏置项;tanh 表示激活函数☉。
3 模型改进
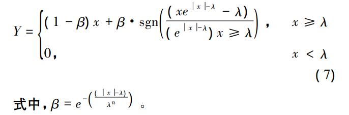
3.1 拥有可变软阈值的深度残差收缩网络
深度残差收缩网络中软阈值函数由于渐进性不佳,在设置阈值时易将区间范围内的数值强制置“0”或“1”,增大特征阈值的偏差。例如,若流量在某一数值范围内不会导致水位变化(或水位波动在可接受范围内),而软阈值函数会忽略该数值区间并强制判定,致使模型捕捉到错误的特征进而影响最终结果的精度。因此,本研究构建精度更高的可变软阈值函数对其进行替换,该函数结构为

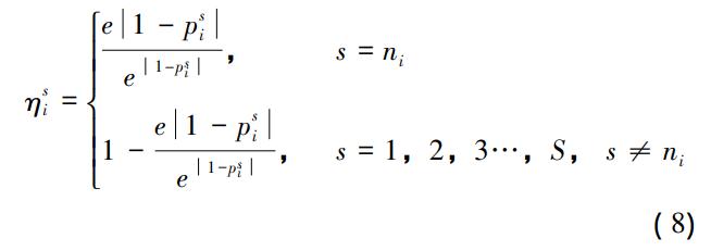
3.2 误差损失纠正的可变权重交叉熵函数
若网络对水位影响因子进行权重赋值时出现误差,该误差会在网络传递中被放大并影响最终预测结果。构建新的可变权重交叉熵函数使模型能根据预测误差的评价结果对影响因子的权重进行动态修正,当网络提取到水位影响因子的特征并进行赋值后,可变权重交叉熵评价函数会根据预测误差重新对水位影响因子权重值进行修改,使模型始终处于动态调整中,以适应不断输入的数据特征和真实工况。
令(mi,ni)为状态样本,模型将该样本判定为其真实状态且正确率越高的情况下,交叉熵损失越低,模型整体精度更高。在新函数中,特征捕捉错误时的损失权重为

式中,psiis代表将样本特征识别为第s种状态的概率。
构建该函数的另一目的是提高模型对目标特征的区分度,尤其是在样本数据较少的情况下,避免模型在初始训练阶段出现大误差累积。损失函数的表达式由交叉熵损失和误判损失组成,其表达式如为

式中,Eal代表交叉熵损失;Fsiis代表错误判定目标损失 (误将样本识别为s, s≠ni)。根据公式可知,特征识别准确率越高,损失权重值越小,模型整体交叉熵损失越小。
3.3 长短时记忆网络的改进
为了降低因参数设置不合理导致误差增大以及逆向传递算法在推导过程中导致“梯度消失”和“梯度爆炸”等问题。研究中采用阿基米德优化算法(AOA)将权值迭代更新转化为求解最优来优化LSTM内部参数,AOA算法在平衡局部搜索能力和全局搜索能力方面表现突出,适用于解决多目标约束的复杂问题,且收敛速度突出。在调试阶段,采用LSTM的预测误差作为适应度函数,若连续5次迭代停滞,则采用高斯随机游走策略跳出停滞,步骤为

式中,x*r(t)表示群体中最好的个体;sin(π·t/(2·tmax))表示调整行走步长的正弦函数。过程中,采用数据共享将第二次的预测结果设置为阿基米德算法的初始对象位置,降低搜索时间。具体的优化流程如图3所示。

图3 LSTM网络中参数优化策略
各流程具体内容为:(1)以第i时刻的水位作为输入,采用数据共享。从第二次预测过程开始,将AOA的初始种群设置改为第一次预测的最优对象,并初始化种群参数。(2)LSTM的预测误差用于计算对象的适应度。比较局部解和全局最优解,判断算法是否停滞(陷入局部最优)。(3)若落入局部最优,则采用随机游走策略跳出局部最优;若未出现局部最优,则直接使用适应度函数更新对象的速度和位置来提高预测精度。(4)判断权重值和偏差是否满足最优解条件,若不满足,返回步骤2循环;若满足,则将所获结果作为 LSTM的内部参数进行预测。(5)输出预测结果。
3.4 数据选取及构建
研究中采用基于时间序列的高维特征量作为输入,为保证输入数据拥有类似于特征图的结构,即,长度、宽度和特征通道,本研究将数据拟合成三维分布的形式。输入数据及其特征图形如图4所示,图中编号对应关系如表1所列。输入数据的选取会影响特征提取及预测结果的精度。此外,数据种类过多可能会增加模型的复杂度,例如河道形状、地表植被、土壤含水量、蒸发量、渗透量、日照强度、降水量等间接因素以及电站坝上、坝下水位、流量、电站出力等直观因素。为突出长江流域水资源特征并降低数据计算导致的误差,研究中选择监控数据作为模型输入,主要包括溪洛渡电站下游水位、向家坝电站总出力、向家坝电站上游水位、上一时刻向家坝电站下游水位、当前时刻岷江流量、当前时刻横江流量,上述数据为相互独立的时间序列,能够体现水电站调度的空间特征和季节特征。其中溪洛渡下游水位站数据取自中心场水位站。向家坝水文站测站下游1.9 km处有横江汇入,28 km处有岷江汇入,当有较大支流汇入(横江中高水和岷江高水),会对水电站下游水位产生回水顶托,增加断面水位流量关系的复杂度。为降低回水顶托对水位预测的影响。研究中将岷江流量、横江(高场水文站)流量纳入输入因子。数据集为2014—2021年的水电站相关数据,DRSN调试阶段采用十字交叉法训练数据,将每一组数据集划分为10个子集,保证每一组数据的特征均能被捕捉。LSTM则将训练集和测试集数据按照7∶3进行分配,具体预见期根据不同预测步长设置。

图4 输入数据的构成及其特征图形式

3.5 IDRSN-LSTM混合模型
本研究提出的IDRSN-LSTM模型的流程图(见图5)。深度残差收缩网络中A为特征通道数(输入因子的数量)设置为6,B对应图像的宽度,本研究中对应流量,采样间隔一致,设为1,网络层数、卷积核数及通道数根据调试最优效果设置,结构框架为ResNet34。网络的训练率在前20个时期为0.1,随后40个时期为0.01,最后40个时期为0.001。为避免模型出现过拟合,向目标函数中添加惩罚项与L2正则化,惩罚系数设为0.001。根据优化结果,LSTM的学习率设置为0.001,隐藏神经元数设置为10,批量激活函数为“relu”,迭代次数设置为100次,批量大小设置为64,模型最终输出结果为向家坝下游水位。研究中针对多时间尺度进行预测,范围涵盖小时、天、旬、年。具体步骤为:假定当前时刻为T,向前追溯nΔT月/日/小时(n为正整数;ΔT为水位信息采样间隔,根据预测时长调整),采用第T-nΔT年/日/小时到第T月/日/小时的数据填充预测时间窗口并进行预测,获取nΔT月/日/小时后的预测结果。电站可以根据预测结果调整运行措施,如下:若预测结果显示ΔT月/日/小时后水位会出现异常波动,则提前ΔT1天调整电站运行规程。

图5 改进的DRSN-LSTM模型的整体流程
3.6 模型评价指标
为了验证模型的预测效果,采用相关系数(r)、均方根误差 (RMSE)、平均绝对误差 (MAE)、Nash-Sutcliffe 模型计算效率系数(NSE)评估所开发模型的性能,具体公式为

式中N代表样本数据的数量;y0表示实际观测水位;yF表示预测水位;y¯0表示观测水位的平均值;y¯F表示预测水位的平均值;r表示无量纲的度量,数值越接近1则表示效果越理想。MAE和RMSE则是评价模型的精度,数值越接近0精度越高。NSE展示了模型之间性能的对比,理想值为1。
4 溪洛渡-向家坝梯级水电站水位预测模型
4.1 试验设置
本文中硬件配置为i7-9750中央处理器和NVIDIA GeForce GTX处理器的工作站,模型在python环境下运行。
4.2 预测结果分析
采用改进后的混合模型对向家坝水电站下游水位开展预测,预测步长为(小时-天)、中期(旬-月)和长期(季度-年),短期水位的预测和采样频率为2 h/次,中期水位的预测和采样频率为3次/d, 长期水位采样频率为3次/月,分别在上、中、下旬。图6—图8分别为向家坝短期下游水位预测值与实测值对比,中期下游水位预测值与预测值对比,长期下游水位预测值与实际值对比。表2给出了预测模型的效果。

图6 基于新模型短期水位预测值与实测值的比较

图7 基于新模型中期水位预测值与实测值的比较

图8 基于新模型长期水位预测值与实测值的比较

根据上述结果可知,新模型关于短期、中期、长期的水位预测值基本与观测水位一致。在短期预测中,最大误差为0.09 m, RMSE控制在0.019左右,图6中显示在水位出现较大变幅时,预测误差偏大,但在2~3个采样周期内能稳定在较小范围内,随后预测曲线与观测曲线基本重叠。在中期预测时,最大误差为0.17 m, 该数值能够满足向家坝水电站的航运水位日变幅要求(向家坝水电站要求航运水位日变幅不得超过0.2 m),RMSE维持在0.152左右,与短期预测相似的是,预测误差也会因水位的较大变幅存在震荡,这也说明了水位变幅 “时滞性”会对水位预测产生影响(中、短期水位时滞约在2.5~4.5 h, 且与流量变化有关)。此外,为了实现较少样本下的精准预测,在短期和中期预测中的采样间隔较大,初始数据量相对较少,虽然在训练阶段有足够的样本,但在测试过程中较少的输入数据可能会导致预测精度存在小范围波动。分析出现较大误差当日的水文和气象数据发现,关联时间段内上、下游出现强降雨等极端天气及梯级水电站的大幅度调度操作占据了主导地位。当进行长期预测时,模型的最大预测误差达到了0.31 m, RMSE明显升高,最大值可达0.462,这表明年尺度的结果不能完全满足中、短期的水位分析需求(日调峰、防洪等),虽然误差相对较大,但其预测结果可以为电站的月调度、年调度计划提供有力的数据支持。此外,长期预测中较大的采样间隔较大无法精准反映出每日的水位变化特征,且自然年中不同季节存在极端天气等情况也会影响预测精度,若要实现年尺度的精准预测,长期精准的气象预测是必要条件。此外,金沙江上游乌东德、白鹤滩等大型梯级水利枢纽相继投入运营将会对下游梯级水电站的流量、水位等产生影响,因此,需要注意到,人为主观因素(能源市场配置和发电计划)在水位和流量变化中逐渐占据了更高的影响权重,这给长期的水位预测也带来了更大的不确定性。后续研究将尝试提高模型在水位剧烈波动下的预测精度。
4.3 结果讨论
为了进一步验证新模型的效果,将其与常用水位预测技术进行对比。参照对象为BP神经网络(BP)、水动力模型、支持向量回归(SVR)、随机森林(RF)、CNN-LSTM模型。水动力学模型采用向家坝电站水位,地形边界采用长江干流,横江,岷江。SVR模型的调节因子设为5,选用径向核函数,误差设置为0.05;RF中决策树的数量设置为100,树的最大深度设置为10,每个节点内部最小样本数设置为2,每个分组中最大特征为3,每个叶子的最小样本数和每个分裂中的最大特征数设置为2;CNN-LSTM模型中卷积核大小设置为3,激活函数采用“sigmoid”,输出一维水位数据,在LSTM网络中学习率设置为0.001,批量大小设置为32,激活函数采用“relu”,迭代次数设置为100次。BP神经网络层数为3,激活函数为“Tanh”,隐藏神经元个数设置为10。各模型预测结果如表3—表5所列,图9展示了各模型关于水位预测性能的泰勒图。




图9 水位预测模型的泰勒图
根据试验结果对比可知,新的混合模型在短期水位预测(RMSE=0.019,MAE=0.017,NSC=0.998,r=0.995)、中期水位预测(RMSE=0.061,MAE=0.056,NSC=0.980,r=0.984)和长期预测(RMSE=0.083,MAE=0.078,NSC=0.950,r=0.955)均取得了最好的效果。尽管在进行长期水位预测时,模型的指标发生了相对明显的波动,但仍优于其他模型,紧随其后的是CNN-LSTM(RMSE=0.109,MAE=0.102,NSC=0.935,r=0.941)。从表中数据可知,在短期的水位预测中,各模型误差较为接近,当预测步长扩大时,模型的差距开始凸显,水动力学、BP、SVR等模型的预测效果仍然能保持在一个可接受的范围内,表现较差的为RF模型(RMSE=0.298,MAE=0.271,NSC=0.813,r=0.820)和ANN(RMSE=0.420,MAE=0.418,NSC=0.759,r=0.771)。综合表中数据及泰勒图可知,本研究提出的模型在各个阶段的预测误差均更加稳定,其散射度相较于其他模型更低。相比于CNN-LSTM模型,新的模型的精度不仅得到了提升,且运算耗时也显著降低,这证明了新开发的DRSN比CNN有着更高的特征提取能力和计算效果。此外,当输入参数中增加了下游支流的流量后,预测精度再次得到了提升,可见,增加输入变量的类别对预测精度的提升是正相关的。现阶段的改进已经在精度和速度方面取得了较为均衡的结果,后续研究重点可添加更多水位影响因素以提升模型的全面性。

5 结 论
为满足梯级水电站下游水位高效精准预测的需求,提出新的DRSN-LSTM混合模型用于向家坝水电站下游水位的多时间尺度预测,主要贡献如下:
(1)将与水位变化相关的影响因子以特征图的形式组合构建出高维特征量输入深度残差收缩网络,提高了模型对数据时空特征的捕捉精度。新构造的软阈值函数有效避免模型因恒定偏差陷入局部最优的情况。构建的误差修正函数使模型可以根据预测误差实现权重动态调整,显著提高了最终水位的预测精度。经阿基米德优化算法改良后的 LSTM能够在短时间下输出精准的水位预测结果并缓解“梯度爆炸”和“梯度消失”。
(2)试验结果表明,相比CNN-LSTM模型,新模型最大预测误差降低了0.08 m, 计算时间降低约50%。与其他预测方法相比,新模型可以将预测误差降低0.05 m以上,预测效率提升23%以上。此外,向输入数据中添加支流流量,新模型最高可降低预测误差0.03 m, 也验证其对复杂水文的变化有着良好的敏感度。
该模型实现了精准的多时间尺度水位预测且在少量样本下亦有较好的效果,为复杂条件下的水位预测和洪水预警提供了重要的参考依据。
水利水电技术(中英文)
水利部《水利水电技术(中英文)》杂志是中国水利水电行业的综合性技术期刊(月刊),为全国中文核心期刊,面向国内外公开发行。本刊以介绍我国水资源的开发、利用、治理、配置、节约和保护,以及水利水电工程的勘测、设计、施工、运行管理和科学研究等方面的技术经验为主,同时也报道国外的先进技术。期刊主要栏目有:水文水资源、水工建筑、工程施工、工程基础、水力学、机电技术、泥沙研究、水环境与水生态、运行管理、试验研究、工程地质、金属结构、水利经济、水利规划、防汛抗旱、建设管理、新能源、城市水利、农村水利、水土保持、水库移民、水利现代化、国际水利等。
