鱼羊 发自 凹非寺
量子位 | 公众号 QbitAI
当2000万人在领英搞职场社交的时候,殊不知平台正在悄悄拿他们做实验。
足足五年后,最新结论出现:
那些跟你没那么熟的朋友,比你的亲密友人更能帮你找到工作。
研究来自领英和哈佛商学院等研究机构,已经在Science上发表。

具体而言,他们在5年时间里,利用A/B测试,在“猜您认识”这项推荐功能中,向2000万用户推送了不同版本的算法。
结果发现,对找工作最有帮助的,往往不是那些与你互动最频繁、联系最紧密的好友,而是“中等关系”好友。
对,就是列表跟你有10个左右共同联系人,但平时也不咋互动的人。

具体怎么一回事儿,一起来看。
面向2000万人的5年期社会实验
要说清楚这个事儿,咱们还得从“弱关系”(weak tie)理论说起。
1973年,美国社会学家马克·格兰诺维特发表了一篇名为《弱关系的力量》的论文。
这篇论文被认为是最具影响力的社会学论文之一,引用次数已达到近6.7万次。
格兰诺维特在论文中提出:
人们与频繁接触的亲朋好友的关系,属于一种“强关系”,通过这种关系获取的往往是同质化的信息。
社会上更为广泛的是一种并不深入的人际关系。这种弱关系能够使个体获得通过强关系无法获取到的信息,从而在工作和事业上,在信息的扩散上起到决定作用。
简单来说,就是没那么熟的人往往能提供来自另一个社会关系网络的信息。
具体到找工作这种事上,也就是求职者能从“弱关系”里获得更丰富的职位信息。

此番领英的超大规模实验,正是给这一理论提供了支持性证据。
论文作者、领英数据科学家Karthik Rajkumar提到,在研究中,他们设置了7种“猜您认识”算法的变体。
比如,其中一种变体会让用户之间形成更多的联系,包括更多的弱关系。而另一种变体在给用户推荐更多联系人时,只推荐具有强关系的人。
在为期 5年 、面向 2000万用户 的大规模测试之后,领英获得了大量随机实验数据。数据分析结果显示:
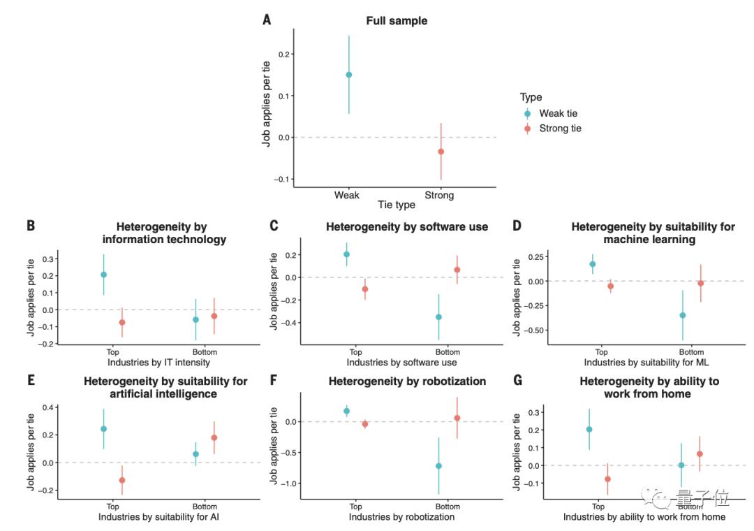
在领英上, 相对较弱的社会关系在促成就业方面的效果,能达到较强社会关系的2倍 。

△左图为最小二乘法回归分析
这里“较弱的社会关系”指的是拥有10个共同好友的情况,而“较强的社会关系”指的是拥有20个以上共同好友的情况。

需要说明的是,尽管在以共同好友数量(上图)和以互动强度 (下图) 为关系评价标准的实验中,最小二乘法回归分析均显示,强关系与换工作的概率增加有关,但针对大量样本、持续5年、覆盖世界各地区的实验分析结果均显示了相反的情况。

最终,研究人员得到了三个主要结论:
- 相对弱的关系更能增加工作流动的可能性。
- 以共同好友数量为评价标准,关系强弱和工作流动之间存在一个倒U型关系,即中等关系增加工作流动的可能性最大,强关系增加工作流动的可能性最小;以互动强度为评价标准,弱关系对工作流动影响最大,强关系则影响最小。
- 增加共同好友数适中、互动性较弱的关系节点,对找工作这件事最有利。
另外,论文还提到,弱关系的力量是因行业而异的:数字化程度较高的行业中,弱关系力量更强;而在数字化程度较低的行业中,强关系对找工作更有利。

实验引发争议
在领英的这一实验结果引发关注的同时,争议之声也随之而来。
纽约时报就援引专家观点,尖锐地指出:
领英的做法可能改变了许多人的生活。对人们进行长期、大规模的实验,可能会影响他们的工作前景。
并且领英用户对此实验并不知情。
但也有网友指出,A/B测试是科技公司应用算法的常见手段,阴谋论大可不必。但关键是各组之间的差异到底有多大。
如果差别大到有如白天和黑夜,那么领英这么做确实不道德。

领英的官方发言人亦对此事进行了回应:
我们只是在努力为用户做出更好的推荐。
在测试期间,有一些人比其他人早一两个星期得到了更好的算法,这就会在数据中产生足够的变化,使我们能够观察到并进行分析。
实验的对象是算法而不是人。
那么,你怎么看?
参考链接: [1]https://www.science.org/doi/10.1126/science.abl4476 [2]https://arstechnica.com/tech-policy/2022/09/experts-debate-the-ethics-of-linkedins-algorithm-experiments-on-20m-users/
— 完 —
量子位 QbitAI · 头条号签约
关注我们,第一时间获知前沿科技动态