太阳表层温度大约在5500摄氏度,如果哪天“感个冒”发烧了,平均温度上升20摄氏度,变成5520摄氏度,地球会受到什么样的影响呢?

估计很多朋友的第一反应都觉得:大惊小怪了,太阳原本就五千多度了,再加20度算啥啊?而且太阳离我们足足有1.5亿公里,光都要跑8分多钟,能有啥事?
其实一开始我也是这么认为的,但。。。算下来的结果却是:地球表面温度会跟着上升至少1摄氏度!这是很严重的后果!
要知道在过去的一百年里,由于人类的“努力”,地球的平均气温上升了才约0.5摄氏度,但却带来了日益严重的温室效应,整个地球生态系统都要改变,可能最常说的就是海平面上升,不少国家要被淹了。。但这只是冰山一角,生态系统是环环相扣的,最终还是算到人类头上。

那么这1摄氏度是怎么来的呢?
在理论上我们可以对一个行星的地表温度进行一个计算(不计温室效应(忽略大气层))。
我们知道目前地球的实际平均地表温度是15摄氏度左右,而这个温度正是由于地球吸收太阳光达到热平衡后,再由温室效应加温产生的。

先来看一下,在不计大气因素下,地表的理论温度
抓住一个核心:地表吸收的热辐射能量=地表散发的热辐射能量
其中的关键物理定律就是斯特藩-玻尔兹曼定律

斯特藩-玻尔兹曼定律
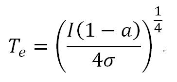
这个方程给出了温度和热辐射能量的关系,用来计算太阳和地球正好不过了,再结合之前说的那条核心,就能推出下面这个计算地表温度的方程:

地表温度
等式左边Te是热平衡时地表的温度;I是太阳常数(地球上的数值是1.35*10^3 瓦/平方米 左右);a是光照反射率,地球为0.3;σ为斯特藩-玻尔兹曼常数,为5.67*10^(-8)
所以很容易算出地表的理论温度,为254k,也就是零下约19摄氏度。
很显然这个数值和实际数值(15摄氏度)相差了34摄氏度,原因就是没算上大气温室效应。
(可能有些神奇,温室效应的效果有这么强吗?一个简单的例子,金星的地表温度是475摄氏度,但它的理论地表温度只有30到70摄氏度之间,中间高出的近400摄氏度就是因为金星极强的温室效应导致的)
由于接下来太阳要开始发烧了,需要变动太阳温度,所以太阳常数也要变,变动后的理论地表温度呢?
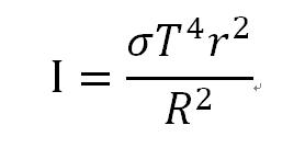
下面给出计算太阳常数的方程:

太阳常数
其中T是太阳表面温度,r为太阳半径,R为日地距离(行星到太阳的距离)
接下来:
我们将温度T增加20度,算下来的结果是太阳常数在原本的基础上由1353变为1372。
而这个变动直接使得地球地表理论温度变为255.1k,增加了1.1k,也就是1.1摄氏度。
注意一点:这只是单纯的地表升温,没有算上大气因素,想必加上温室效应的影响,肯定不止1.1摄氏度,或许还会引起其它方面一连串的变化,这是难以预料的。