一.填空题
1.380立方厘米=( )升 30厘米=( )米
2.3平方米=( )平方米( )平方分米.
2.既是24的因数,又是6的倍数的数有( ).
3.要统计某校各年级人数应选用( )统计图,要统计某地区2015年一年降水量的变化情况应选用( )统计图.
4.用48cm长的铁丝正好做成一个正方体框架,这个正方体的棱长是( )cm.如果在它的表面糊上一层纸,至少需要( )cm2的纸,这个正方体的体积是( )cm3.
5.有一个长方体的正面和底面的面积之和是352平方厘米,如果它的长、宽、高都是大于10的质数,则长方体的体积是( )立方厘米
6.大于3/5而小于的分数4/5有( )个.
7.A=2×3×5×7,B=3×5×5×7,A和B的最大公因数是( ),最小公倍数是( )
8.在○里填上“>”、“<”、或“=”.
3/10○4 6/7○0.8 6/7○9/16
9.能同时被2、3、5整除的最小两位数是( ).
10.24瓶同样的木糖醇中有一瓶少了4颗,略轻一些,丁丁用天平称一称,至少称( )次就一定能找出来.
11.一个两位数,除以4余3,除以5余4,这样的两位数最小是( ),最大是( )
12.一个长3分米、宽2分米、高2分米的长方体木块的表面涂满红漆后,再把它锯成棱长是1分米的小正方体(锯路损耗忽略不计),能锯成这样的小正方体( )个,其中三面涂有红漆的小正方体有( )个.
二.判断题
1.有2,4,8,16四个数,它们都是合数。 ( )
2.把5/6米平均分成5份,每份是它的1/5。 ( )
3.7米的1/9和9米的1/7相等。( )
4.10kg糖,吃了4/5,还剩5kg。( )
5.在1-3/8中,可以把1看成8个。( )
6.分数2/7的分子加上6,要使分数的大小不变,分母应该加上21.
三.选择题
1.在1~10各数中,合数有( )个.
A.10 B.9 C. 5
2.如图中涂色部分的面积占整个图形面积的( )

A.1/16 B.1/9 C.1/4
3.一小瓶眼药水的体积是10( )
A.L B.dm3 C.mL
4.下列各数中不能化成有限小数的分数是( )
A.7/14 B.5/16 C.10/24
5.把两个表面积都是45平方厘米的正方体,把它们拼成一个长方体,这个长方体的表面积是( )平方厘米.
A.75 B.82.5 C.90

四.计算题
1.直接写得数

2.解方程.

3.计算下列各题,能简算的要简算

五.解答题
1.在图中画出三角形AOB绕O点逆时针旋转90°后的图形.

2.下面是育才小学四年级男、女生参加课外活动小组的人数情况统计表

(1)完成下面的统计图.
育才小学四年级课外小组男生、女生人数统计图
(2)回答下列问题.
①( )课外小组的男生最多;( )课外小组的女生最多.
②( )课外小组的人数最多;( )课外小组的人数最少.
(3)你能提出哪些数学问题?(至少提一个问题,多提一个问题(需要计算的要计算))

六.应用题
1.一辆客车和一辆货车同时从甲乙两站相对开出,3小时相遇,相遇后两车都以各自速度继续行驶,已知客车又行了4小时到乙站,货车又行多少小时到甲站?
2.某销售公司去年完成销售任务情况如下:第一季度完成1/4,第二季度完成1/3,第三季度完成2/5,第四季度完成5/12,超额完成全年销售任务的几分之几?
3.两堆煤原来相差12吨,如果从多的一堆中运走1/8吨,从少的一堆中运走0.4吨,这时两堆煤相差多少吨?
4.将45厘米和30厘米的两根绳子分成同样的小段,且没有剩余,每段最长是多少厘米?
5.一个长方体油箱的底面是周长为20分米的正方形,高是8分米,制作这个油箱至少要用铁皮多少平方分米?
6.把一块底面积为100平方厘米,高20厘米的长方体石料,浸没在一个棱长4分米的正方体水槽里,如果原来水面高度是28厘米,放入石块后的水面高度是多少厘米?
2017-2018五年级(下)数学期末综合检测(参考答案)
一.填空题
1.380立方厘米= 0.38 升
30厘米= 0.3 米
2.3平方米= 2 平方米 30 平方分米.
【分析】把380立方厘米化成升数,用380除以进率1000;
把30厘米化成米数,用30除以进率100;
把2.3平方米化成复名数,整数部分2时平方米数,0.3乘进率100就是平方分米数;即可得解.
【解答】解:380立方厘米=0.38升
30厘米=0.3米
2.3平方米=2平方米 30平方分米;
故答案为:0.38,0.3,2,30.
2.既是24的因数,又是6的倍数的数有 6、12、24 .
【分析】先找出24的因数,然后找出24以内(包括24)的6的倍数,进而结合题意,得出结论.
【解答】解:24的因数有:1,2,3,4,6,8,12,24;
24以内的6的倍数有:6,12,18,24;
所以既是24的因数,又是6的倍数的数有:6,12,24.
故答案为:6,12,24.
3.要统计某校各年级人数应选用 条形 统计图,要统计某地区2015年一年降水量的变化情况应选用 折线 统计图.
【分析】条形统计图能很容易看出数量的多少;折线统计图不仅容易看出数量的多少,而且能反映数量的增减变化情况;扇形统计图能反映部分与整体的关系;由此根据情况选择即可.
【解答】解:要统计某校各年级人数应选用 条形统计图,要统计某地区2015年一年降水量的变化情况应选用 折线统计图;
故答案为:条形,折线.
4.用48cm长的铁丝正好做成一个正方体框架,这个正方体的棱长是 4 cm.如果在它的表面糊上一层纸,至少需要 96 cm2的纸,这个正方体的体积是 64 cm3.
【分析】48厘米是正方体的棱长和,根据正方体的棱长之和等于12乘棱长,用48除以12,即可求出正方体的棱长,
再用棱长乘以棱长乘6,即可求出正方体6个面的面积,即表面糊上一层纸至少需要的面积,
再用棱长乘棱长乘棱长求出正方体的体积.
由此列式解答即可.
【解答】解:48÷12=4(厘米)
4×4×6
=16×6
=96(平方厘米)
4×4×4=64(立方厘米)
答:这个正方体的棱长是4cm.如果在它的表面糊上一层纸,至少需要96cm2的纸,这个正方体的体积是64cm3.
故答案为:4,96,64.
5.(1分)有一个长方体的正面和底面的面积之和是352平方厘米,如果它的长、宽、高都是大于10的质数,则长方体的体积是 2717 立方厘米.
【分析】正面和底面之和为352平方厘米,所以长×宽+长×高=长×(宽+高)=352,把352分解因数为:352=2×2×2×2×2×11,又因为长、宽、高都是质数,故长=11,宽+高=32,同样32只能分成13+19,所以这个长方体的三个棱长分别为11、13、19,由此可以解决问题.
【解答】解:352=11×32=11×(13+19),
所以长宽高分别为:11厘米、13厘米、19厘米,
体积是:11×13×19=2717(立方厘米).
答:长方体的体积是2717立方厘米.
故答案为:2717.
6.大与而小于的分数有 无数 个.
【分析】依据分数的基本性质,将两个分数的分子和分母同时扩大若干倍,介于它们中间的真分数就会有无数个,据此即可进行解答即可.
【解答】解:将和的分子和分母扩大若干个相同的倍数(2、3、4、5…),分母是5的同分母的分数没有,而不同分母的分数有很多个,所以在和之间会出现无数个真分数.
故答案为:无数.
7.A=2×3×5×7,B=3×5×5×7,A和B的最大公因数是 105 ,最小公倍数是 1050 .
【分析】根据“公有质因数的乘积就是这两个数的最大公因数;公有质因数与各自独有质因数的连乘积就是这两个数的最小公倍数.”解答即可.
【解答】解:因为A=2×3×5×7,B=3×5×5×7,
所以A和B的最大公因数是:3×5×7=105,
最小公倍数是:2×3×5×5×7=1050;
故答案为:105,1050.
8.在○里填上“>”、“<”、或“=”.
10/3○4 6/7○0.8 6/7○9/16
【分析】先把分数转化成小数,再根据小数比较方法进一步得出结论.
【解答】解:10/3≈3.33,3.33<4,即10/3<4;
6/7≈0.857,0.857>0.8,即6/7>0.8;
6/7≈0.857,9/16≈0.563,0.857>0.563,即6/7>9/16;
故答案为:<,>,>.
9.能同时被2、3、5整除的最小两位数是 30 .
【分析】首先根据能同时被2、5、3整除的数一定是2、3、5的公倍数,求出它们的最小公倍数,找出其中最小的两位数即可.
【解答】解:2×5×3=30
即2、5、3的最小公倍数是30,
所以能同时被2、5、3整除的最小两位数是30.
故答案为:30.
10.(1分)24瓶同样的木糖醇中有一瓶少了4颗,略轻一些,丁丁用天平称一称,至少称 3 次就一定能找出来.
【分析】把24瓶木糖醇平均分成三份,每份8瓶,任取2瓶,分别放在天平秤两端,若平衡,则少的那瓶在未取的8瓶中,若不平衡;把天平秤较高端的8瓶,分成3瓶,3瓶,2瓶三份,把两份3瓶的分别放在天平秤两端,若平衡,最后把剩余2瓶分别放在天平秤两端,较高端即为少4颗的,若不平衡,从较高端的3瓶中任取2瓶,分别放在天平秤两端即可解答.
【解答】解:第一次:把24瓶木糖醇平均分成三份,每份8瓶,任取2瓶,分别放在天平秤两端,若平衡,则少的那瓶在未取的8瓶中(按照下面方法操作),若不平衡;
第二次:把天平秤较高端的8瓶,分成3瓶,3瓶,2瓶三份,把两份3瓶的分别放在天平秤两端,若天平秤平衡,最后把剩余2瓶分别放在天平秤两端,较高端即为少4颗的,若不平衡;
第三次:从较高端的3瓶中任取2瓶,分别放在天平秤两端,若天平秤平衡,则未取那瓶即为少4颗的,若不平衡,较高端的即为少4颗的.
故答案为:3.
11.一个两位数,除以4余3,除以5余4,这样的两位数最小是 19 ,最大是 99 .
【分析】根据一个两位数,除以4余3,除以5余4,通过观察可以发现,这个自然数比4、5的最小公倍数少1,求出这几个数的最小公倍数减去1,据此即可解答.
【解答】解:最小:4×5﹣1
=20﹣1
=19
最大:100以内4、5的最大公倍数是100,100﹣1=99.
故答案为:19,99.
12.一个长3分米、宽2分米、高2分米的长方体木块的表面涂满红漆后,再把它锯成棱长是1分米的小正方体(锯路损耗忽略不计),能锯成这样的小正方体 12 个,其中三面涂有红漆的小正方体有 8 个.
【分析】(1)长3分米可以切出3÷1=3块;宽4分米可以切下2÷1=2块;高2分米可以切出2÷1=2块,由此借助长方体的体积公式即可解答.
(2)因为1面涂色的在面上,2面涂色的在棱长上,3面涂色的在顶点处,因此只有顶点处的小方块三面涂色,即8个.
【解答】解:(1)(3÷1)×(2÷1)×(2÷1)
=3×2×2
=12(个)
答:能锯成这样的小正方体12个.
(2)顶点处的小方块共8个三面涂色.
故答案为:12,8.
二.判断题
1.(1分)有2,4,8,16四个数,它们都是合数. × .(判断对错)
【分析】根据合数与质数的意义,我们知道2是质数,其它三个数都是合数.
【解答】解:根据合数与质数的意义,我们知道2是质数,其它三个数都是合数,因此,题干说法错误.
故答案为:×.
2.(1分)把5/6米平均分成5份,每份是它的1/5. √ .(判断对错)
【分析】求每份长是它的几分之几,平均分的是单位“1”,求的是分率;用除法计算.
【解答】解:每段占全长的分率:1÷5=1/5.
答:每段占全长的1/5 ,
故答案为:√.
3.(1分)7米的1/9和9米的1/7相等. × .(判断对错)
【分析】用乘法分别求出7米的和9米的,再比较运算结果.
【解答】解:7×1/9=7/9(米)
9×1/7=9/7(米)
9/7>1>7/9
所以7米的1/9和9米的1/7相等的说法是错误的,应该是7米的1/9小于9米的1/7;
故答案为:×.
4.10kg糖,吃了4/5,还剩5kg. × .(判断对错)
【分析】首先根据题意,把糖的总重量看作单位“1”,然后根据分数乘法的意义,用糖的总重量乘剩下的占的分率,求出还剩多少kg即可.
【解答】解:10×(1﹣4/5)
=10×1/5
=2(kg)
答:还剩2kg.
故答案为:×.
5.(2分)在1﹣3/8中,可以把1看成8个1/8. √ .(判断对错)
【分析】1可以看作是分子分母相同的分数,即1=8/8,然后再进一步解答.
【解答】解:在1﹣3/8中,可以把1看成,也就是8个,然后再计算.
故答案为:√.
6.分数的2/7分子加上6,要使分数的大小不变,分母应该加上21. √ .(判断对错)
【分析】分数的2/7分子加上6,扩大了4倍,根据分数的基本性质,要使分数的大小不变,分母也应扩大4倍,变成28,即加上21,据此解答即可.
【解答】解:(2+6)÷2×7﹣7
=8÷2×7﹣7
=28﹣7
=21
所以要使这个分数的大小不变,分母应加上21.
故答案为:√.
三.选择题
1.(1分)在1~10各数中,合数有( )个.
A.10 B.9 C. 5
【分析】自然数中,除了1和它本身外,没有别的因数的数为质数;除了1和它本身外还有别的因数的数为合数.
【解答】解:1~10各数中,合数有4、6、8、9、10,共5个;
故选:C.
2.如图中涂色部分的面积占整个图形面积的( )

A.1/16 B.1/9 C.1/4
【分析】将单位“1”平均分成若干份,表示这样一份或几份的数为分数.据此意义分析题目中的图形进行选择即可.
【解答】解:图中的三角形被平均分成4×4=16份,其中涂色部分为一份,
根据分数的意义可知,涂色部分占整个图形的:1÷16=1/16.
故选:A.
3.(1分)一小瓶眼药水的体积是10( )
A.L B.dm3 C.mL
【分析】根据生活经验,对容积单位和数据的大小认识,可知计量一小瓶眼药水的体积用“毫升”做单位;据此得解.
【解答】解:一小瓶眼药水的体积10毫升;
故选:C.
4.(1分)下列各数中不能化成有限小数的分数是( )
A.7/14 B.5/16 C.10/24
【分析】判断一个分数能否化成有限小数,首先要看这个分数是不是最简分数,如果不是最简分数要先约分.再根据一个最简分数,如果分母中只含有质因数2或5,这个分数就能化成有限小数;如果分母中含有2和5以外的质因数,这个分数就不能化成有限小数.
【解答】解:A、7/14约分后是1/2,分母中只有质因数2,所以能化成有限小数;
B、5/16的分母中只含有质因数2,所以能化成有限小数;
C、10/24约分后是5/12,分母中含有质因数3,所以不能化成有限小数.
故选:C.
5.把两个表面积都是45平方厘米的正方体,把它们拼成一个长方体,这个长方体的表面积是( )平方厘米.
A.75 B.82.5 C.90
【分析】两个表面积都是45平方厘米的正方体拼成一个长方体,长方体的表面积就比原来两个正方体减少了2个面,那么长方体的表面积等于正方体10个面的面积,所以先求出正方体一个面的面积,然后即可求出长方体的表面积.
【解答】解:45÷6=7.5(平方厘米)
7.5×10=75(平方厘米)
答:长方体的表面积是75平方厘米.
故选:A.

【分析】从右面看:前后两排,后排一个居右;从上面看:前后两排,后排有三个相连成一排,前排一个居右;从正面看:前排三个,后排一个居中,据此选择即可.
【解答】解:根据分析可得,观察这一组正方体积木,从上面看到的是;
故选:A.
四.计算题
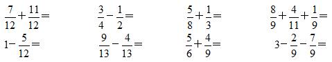
25.直接写得数

【分析】根据分数加减法的计算方法进行解答即可,8/9+4/11+1/9运用加法的交换律进行简算,3﹣2/9﹣7/9运用减法的性质进行简算.
【解答】解:

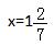
26.解方程.
4×25﹣3.5x=5.5
x﹣(3/14+4/7)=1/2
5×(3﹣2x)=2.4×5.
【分析】(1)首先根据等式的性质,两边同时加上3.5x,然后两边再同时减去5.5,最后两边再同时除以3.5即可.
(2)首先化简,然后根据等式的性质,两边同时加上11/14即可.
(3)首先根据等式的性质,两边同时除以5,然后两边再同时加上2x,再两边同时减去2.4,最后两边再同时除以2即可.
【解答】解:
(1)4×25﹣3.5x=5.5
100﹣3.5x+3.5x=5.5+3.5x
5.5+3.5x=100
5.5+3.5x﹣5.5=100﹣5.5
3.5x=94.5
3.5x÷3.5=94.5÷3.5
x=27
(2)x﹣(3/14+4/7)= 1/2
x﹣11/14=1/2
x﹣11/14+11/14=1/2+11/14

(3)5×(3﹣2x)=2.4×5
5×(3﹣2x)÷5=2.4×5÷5
3﹣2x=2.4
3﹣2x+2x=2.4+2x
2.4+2x=3
2.4+2x﹣2.4=3﹣2.4
2x=0.6
2x÷2=0.6÷2
x=0.3
27.(12分)计算下列各题,能简算的要简算.

【分析】①先算小括号内的减法,再算括号外的加法;
②⑤运用减法的性质简算,
③通分计算,
④运用加法交换律、结合律以及减法的性质简算,
⑥先算乘法,再算减法.
【解答】解:①4/5+(3/8﹣1/4)
=4/5+1/8
=37/40
②2﹣3/7﹣4/7
=2﹣(3/7+4/7)
=2﹣1
=1
③5/8﹣1/3+5/12
=15/24﹣8/24+10/24
=17/24

⑥8.8﹣2.5×1.8
=8.8﹣4.5
=4.3
五.解答题
34.在图中画出三角形AOB绕O点逆时针旋转90°后的图形.

【分析】根据旋转的特征,三角形AOB绕点O逆时针旋转90°后,点O的位置不动,其余各部分均绕此点按相同方向旋转相同的度数,即可画出旋转后的图形.
【解答】解:在图中画出三角形AOB绕O点逆时针旋转90°后的图形(下图):

2.下面是育才小学四年级男、女生参加课外活动小组的人数情况统计表.

(1)完成下面的统计图.
育才小学四年级课外小组男生、女生人数统计图
(2)回答下列问题.
①科技小组课外小组的男生最多;舞蹈队课外小组的女生最多.
②合唱队课外小组的人数最多;美术小组课外小组的人数最少.
(3)你能提出哪些数学问题?(至少提一个问题,多提一个问题(需要计算的要计算))


五.应用题
28.(3分)一辆客车和一辆货车同时从甲乙两站相对开出,3小时相遇,相遇后两车都以各自速度继续行驶,已知客车又行了4小时到乙站,货车又行多少小时到甲站?
【分析】首先根据题意,可得客车行完全程需要7(3+4=7)小时,然后求出相遇时,客车行了全程的几分之几,再根据路程÷时间=速度,用相遇时货车行驶的路程占全程的分率除以两车相遇用的时间,求出货车每小时行驶全程的几分之几;最后根据路程÷速度=时间,求出货车行完全程一共需要多少小时,再用它减去3即可.
【解答】解:3+4=7(小时)
1÷[(1﹣1/7×3)÷3]﹣3
=1÷[(1﹣3/7)÷3]﹣3
=1÷4/21﹣3
=5.25﹣3
=2.25(小时)
答:货车又行2.25小时到甲站.
29.(4分)某销售公司去年完成销售任务情况如下:第一季度完成1/4,第二季度完成1/3,第三季度完成2/5,第四季度完成5/12,超额完成全年销售任务的几分之几?
【分析】把去年全年计划的任务看作单位“1”,根据题意,先求出实际四个季度共完成全年任务的几分之几,进而减去1得解.
【解答】解:

答:超额完成全年销售任务的2/5.
30.两堆煤原来相差12吨,如果从多的一堆中运走1/8吨,从少的一堆中运走0.4吨,这时两堆煤相差多少吨?

答:这两堆煤相差12.275吨
31.将45厘米和30厘米的两根绳子分成同样的小段,且没有剩余,每段最长是多少厘米?
【分析】根据题意,两根绳子分成同样的小段,那么45和30的公因数就是每小段的长度,计算出45与30的最大公约数,即是每小段绳子的最长的长度.
【解答】解:45=3×3×5
30=2×3×5
5×3=15(厘米)
答:每段最长是15厘米.
32.(5分)一个长方体油箱的底面是周长为20分米的正方形,高是8分米,制作这个油箱至少要用铁皮多少平方分米?
【分析】首先根据正方形的周长公式求出底面边长,再根据长方体的表面积公式:s=(ab+ah+bh)×2,把数据代入公式解答.
【解答】解:20÷4=5(分米),
5×5×2+5×8×4
=25×2+40×4
=50+160
=210(平方分米),
答:制作这个油箱至少要用铁皮210平方分米.
33.把一块底面积为100平方厘米,高20厘米的长方体石料,浸没在一个棱长4分米的正方体水槽里,如果原来水面高度是28厘米,放入石块后的水面高度是多少厘米?
【分析】根据题意得出:放入石块后升高的水的体积等于石料的体积,根据长方体体积公式:V=abh求出石料的体积,用石料的体积除以正方体容器的底面积即可求出升高的水的高度,用原来的高度加上升高的高度就是现在的水面高度.
【解答】解:100×20=2000(立方厘米)
4分米=40厘米
28+2000÷(40×40)
=28+1.25
=29.25(厘米)
答:放入石块后的水面高度是29.25厘米.