赝电容是什么意思 (赝电容能说明什么)

作者:朱杉 所属专栏:电化学天地

0. 前言

赝电容是什么?这个问题困扰着许多电化学领域的研究者。尤其,在电化学储能研究,当涉及到金属氧化物材料时,“赝电容”,“双电层电容”,“电池行为”等一系列的定义往往会搅在一起。目前,主流学界对赝电容的定义众说纷纭,大多数文献报道对其描述也是浮光掠影。有鉴于此,众多大神级的人物走到台前,不断发声,试图给赝电容画出疆界,但孰高孰低也一直未见分晓。

电化学储能领域正在高速发展,作为其中重要分支,关于赝电容的学术争议在所难免, 本文通过综合近些年的高引文献,来试图理清赝电容的一些基本概念,希望你有些许帮助。

1. 缘起

赝电容,英文为Pseudocapacitance,其中“Pseudo”这个词根本意指“虽然不是,但看起来很像”。所以,赝电容的含义可粗浅地理解为一个“看起来很像电容,但并不是电容”的存在。

首先,“看起来很像”该如何理解呢?答案在赝电容的电化学行为上。碳材料典型的双电层电容(EDLC)材料,在循环伏安测试中表现出完整矩形的CV曲线。

赝电容怎么才算合适,赝电容是超级电容的一种吗

活性炭材料在超电容中的CV曲线[1]

但是,作为典型的赝电容材料,氧化钌(RuO2)和二氧化锰(MnO2)在水系电解液中的CV曲线也是近似矩形。不止是CV,恒流充放电测试的CP曲线上,赝电容也与双电层电容有着近似的表现。

赝电容怎么才算合适,赝电容是超级电容的一种吗

二氧化锰在水系电解液中的CV曲线[2]

那么,赝电容和普通电容有什么本质区别的?我们需要追溯到赝电容最初的定义。电化学界大神B. E. Conway最早提出了 “赝电容”一词,他在自己的名作《电化学超级电容器:科学原理和技术》中给赝电容下了一个这样的定义[3]:

“Pseudocapacitance arises at the electrode surfaces...itis faradaic in origin, involving the passage of charge across the double layer”

依照这个定义,赝电容是一种发生于电极材料表面的法拉第(faradaic)过程。与之相比,传统电容或是近些年热门的双电层电容(EDLC),虽然通过电极表面进行电荷储存,但却是一种基于离子吸/脱附的非法拉第过程。因此,是否是法拉第过程,给电容和赝电容画出了一条明确的国界线。这也解释了赝电容含义中的后半句——“并不是电容”。

按理说到目前为止,似乎没有纠缠不清的地方,虽然CV和CP测试中表现近似,但是赝电容是法拉第过程,与电容的非法拉第过程井水不犯河水。直到一类材料的出现,拉开了赝电容的定义大战。

2. 纷争

钴酸锂(LiCoO2),一种著名的锂离子电池材料,在CP测试中有明显的“平台”出现,代表着离子的嵌入/脱出过程。然而,科学家们发现,将钴酸锂的颗粒尺寸不断减小,这个平台会越来越不明显,直到颗粒降到6nm时,这个“平台”在CP曲线中消失了,这不就是“电容”的CP曲线吗?但这明显是法拉第过程,所以“看起来像,但不是电容”的材料,那不就是赝电容吗?难道钴酸锂是一种赝电容材料?

赝电容怎么才算合适,赝电容是超级电容的一种吗

不同颗粒尺寸钴酸锂的CP曲线[4]

于是,纳米化的钴酸锂,是赝电容还是电池材料,成了人们争议的焦点。

以P. Simon和B. Dunn为代表一派学者认为:这种材料也算赝电容。并且以此为出发点,将赝电容分为了两类:本征与非本征赝电容[4]。

本征赝电容(Intrinsic Pseudocapacitance):材料在各种形貌或颗粒尺寸下都变现出赝电容行为。

非本征赝电容(ExtrinsicPseudocapacitance):在体相的时候表现为电池行为,经过纳米化后,变现出赝电容性质。

根据这一派的观点,6nm粒径的LiCoO2是一种非本征赝电容。此外,V2O5也属于非本征赝电容。

在此基础上,他们将赝电容的定义进一步扩展为:赝电容是一种发生在电极材料表层或近表层(surface and near surface)的可逆电化学反应[4]。

依照这个解释,当LiCoO2是大粒径时,只有表面部分是赝电容机制,总量占大头的体相部分仍是电池行为,所以整体表现为电池行为。而随着粒径减小,材料表面积与体积比逐渐增大,因此逐渐显露出赝电容行为。

赝电容怎么才算合适,赝电容是超级电容的一种吗

此外,Simon等人还将赝电容反应归纳为三种可逆电化学过程[4]:

(1)氧化还原反应(Redox):最常见的赝电容反应,多发生在水系电解液中。

(2)嵌入/脱出机制(Intercalation):常见于非水系电解液体系,相应材料多为层状。

(3)欠电势沉积:主要发生在Au等惰性金属表面,这种不常见。

赝电容怎么才算合适,赝电容是超级电容的一种吗

红框中标注分别表示氧化还原机理与嵌入脱出机理[4]

在这一体系下,部分CV曲线中出现氧化还原峰的材料也被归入了赝电容行列,前提是氧化峰和还原峰的峰位之差较小。

除了观察CV的峰位和CP的平台,还有一种更为精确的方法,就是通过动力学计算。在CV测试中,通过将扫描速率(v,mV/s)与所得电流响应(i,A)进行对应,能够分辨出当前电化学过程是扩散控制还是表面控制。对于由半无限线性扩散限制的氧化还原反应,电流i随v的0.5次幂变化,即电池行为;如果电流i随v线性变化,那么反应为表面控制过程,是一种电容行为[5]。因此,对于任何材料,通过求解下式中的b值,即可判断反应类型:

i=av^b

比如,同样依靠锂离子嵌入脱出过程进行储能,LiFePO4 的b值 为0.5,表现为电池属性,Nb2O5的b值为1.0,表现为赝电容属性[6]。

然而,Brousse等人却持有另一种观点。他们认为他们观点认为“非本征赝电容”并不是赝电容[2]。这派的论述依据来源于电容“Capacitance”的定义。根据定义,Capacitance是电荷变化△Q与电压变化△U之比,在确定的电压窗口内,这个值应该为常数,单位为法拉(F)。然而,当材料具有电池行为,比如在CP测试中出现电化学平台,或者在CV曲线中出现了氧化还原峰,那么,在该电压区间内,△Q与△U的比值就不是一个常数。此时,应该使用容量“Capacity”来表示材料的储电能力,单位是库伦(C)或者毫安时(mAh)。

赝电容怎么才算合适,赝电容是超级电容的一种吗

以此为依据,Brousse等人认为“非本征赝电容”的储能方式应该由Capacity来表示,而且这种材料应该归类于电池类。只有CP放电曲线为一条直线的材料,才能算作赝电容。

进一步,在文献[2]中,他们还界定了非对称超电容和混合型超电容的区别:

非对称超电容(asymmetricsupercapacitor):是指双电层材料和赝电容材料作为两个电极的超电容器件。

混合型超电容(hybridsupercapacitor):是指由双电层材料和电池类材料作为两个电极的超电容器件。

这两种观点现在都有不少的支持者,特别是在某些特定电极材料的分析上,两派的观点往往会发生碰撞。

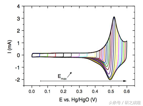
3. 实例:Co3O4的性质之辨

四氧化三钴(Co3O4)这种材料在KOH中进行CV测试,会在0.3-0.6V的电压范围内出现明显的氧化还原峰。Brousse等人认为在不同电压区间中Co3O4所计算出的Capacitance数值相差巨大:在0-0.2V,对应的Capacitance仅几十F;在0.4-0.6V,所对应的Capacitance却有近千F。因此,使用Capacitance描述Co3O4的电化学性质没有实际意义,只能使用Capacity来对其储能能力进行表示。因此,Co3O4应该归属于电池类材料,不是赝电容。

赝电容怎么才算合适,赝电容是超级电容的一种吗

Co3O4在不同电压区间内的CV曲线[2].

对于Co3O4,Simon等人承认其具有类似电池行为,原因是在充放电过程中在会发生相转变,甚至他们也认可对Capacity的使用。然而,通过不同扫速下CV的测试,再经过上文中提到的动力学分析,在表达式i=aVb中,Co3O4是b≈1.0。也就是说,Co3O4的法拉第反应受到表面控制,具有赝电容性质。因此,在文献[4]中,他们建议将Co3O4性质解释为同时具有赝电容和电池行为的贡献。

赝电容怎么才算合适,赝电容是超级电容的一种吗

四氧化三钴不同扫描速率的CV曲线及动力学分析[4]

4. 个人观点

我个人是比较支持Simon和Dunn的,原因有如下:(1)通过动力学计算能较为明晰地将材料中的电容与电池行为区分开,准确性高。(2)相较于Brousse等人对赝电容“非黑即白”的定义,Simon等人引入非本征赝电容的概念,能够作为双电层和电池之间的过渡,对复杂的电化学过程具有更大的兼容性,比如能更好地解释Nb2O5等离子嵌入型赝电容。(3)还有就是Simon等人文章的引用率高,说明学界对其认可度更好。

最后想说,“赝电容”仍是一个尚无定论的领域,随着研究的深入,本文的很多观点可能会被修正,甚至*翻推**。当然,这也代表着我们距离真理又近了那么一点。

参考文献:

[1] Simon, P. &Gogotsi, Y. (2008). Materials for electrochemical capacitor. Nature Materials, 7(11), 845-854.

[2] Brousse, T., Bélanger, D., & Long, J. W.(2015). To be or not to be pseudocapacitive?. Journal of The ElectrochemicalSociety, 162(5), A5185-A5189.

[3] Conway B. E.(1999). Electrochemical Supercapacitors: Scientific Fundamentals andTechnological Applications. Kluwer Academic/Plenum Publishers, New York.

[4] Augustyn, V.,Simon, P., & Dunn, B. (2014). Pseudocapacitive oxide materials forhigh-rate electrochemical energy storage. Energy & EnvironmentalScience, 7(5), 1597-1614.

[5] Simon, P., Gogotsi, Y., & Dunn, B. (2014).Where do batteries end and supercapacitors begin?. Science, 343(6176),1210-1211.

[6] Augustyn, V., Come, J., Lowe, M. A., Kim et al.(2013). High-rate electrochemical energy storage through Li+ intercalationpseudocapacitance. Nature Materials, 12(6), 518.