零下一千摄氏度的低温出现在地球上,那肯定要比2012冻住帝国大厦的寒流威力要大得多!会是怎样吗?其实可能并不是这样,因为零下1000摄氏度的温度并不存在!宇宙中能够达到的最低温度也只有-273.15℃,也许吃瓜群众会很好奇,为什么存在上千万甚至上亿度的高温,却没有-1000℃?

一、什么是温度?
宏观上温度就是表现物体冷热程度的度量,是一个名词!但在微观上衡量物质微观粒子热运动的指标,也许用动词来定义它似乎更准确一些!

微观粒子运动的剧烈程度表示了物体温度高低的差异,比如我们被开水烫伤是因为剧烈运动的水分子撞击在人体表面,并且将能量释放在皮肤上,才导致我们烫伤!这是高温,看起来似乎没有上限?我们等下再讨论。
二、最低温度在多少?
事实上低温却有一个下限,因为最低的温度也仅仅是让微观粒子不运动,那么物质粒子不运动时表现出的温度是多少呢?-273.15℃,但这只是一个计算温度,而非实际存在的温度!

根据查理定律或者盖-吕萨克定律,我们可以计算出这个微观粒子绝对停止时的温度为-273.15 ℃,热力学中将绝对零度定义为0K!因此从理论上来看,低于这个温度似乎不可能的,粒子都停止运动了,没有什么现象比停止运动所表现的宏观温度更低!

为什么要计算才能得到绝对零度?因为微观粒子的热运动始终存在,即使到宇宙的热寂时代,也只能无限接近绝对零度,却不能到达绝对零度!而在海森堡不确定性原理的条件下,微观粒子的位置和动量均已确定,因此到达绝对零度只是一个梦!

上图是激光制冷原理,一个比较有意思的话题,既然微观粒子在不运动时候将会达到最低温度,那么我们用多束激光来囚禁原子,使其达到相对“静止”状态!那么此时就是宇宙中最低的温度!
三、宇宙中最低的温度

2018年5月21日,一艘携带了OA-9设备的天鹅座飞船的轨道ATK Antares火箭从美国宇航局瓦洛普斯基地发射升空,为国际空间站送去了冷原子云研究设备,制造出了宇宙中最低的温度:-273.1499999999 ℃!但这仍然是一个高于绝对零度的温度!

玻色-爱因斯坦凝聚体,当然在地球上也能制造,但由于引力影响以很快的速度解体,存在的时间只有几分之一秒,但在国际空间站的微重力环境中可以留存超过10S,得以长时间的观测与研究玻色-爱因斯坦凝聚体!

当地球达到-1000℃,不对,是-273.15℃,那么可以想象一下的是无论什么东西都将结冰,但您不要认为可能看到一个白色的地球,而是黑色.......因为从理论上来看,处在绝对零度下的物质的电子已经“静止”,它将无法辐射任何波段的电磁波,因此它会成为一个黑体,但一旦受到光照辐射,它就会吸收能量,打破这个平衡,也许是-273.14℃,也许是-273.13℃,它可以达到这个以上任何温度!
四、宇宙中最高的温度

那么宇宙中有无限高的温度吗?没有,它也有一个上限,而传说中将质量转换为一团能量的温度则是哈格多恩温度之上的某个温度,也就是夸克胶子等离子体的相变温度!

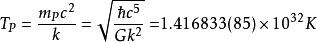
那么宇宙中高温的上限在哪里呢?当然是宇宙大爆炸第一瞬间的温度了!也就是传说中的普朗克温度!

这个温度有点高,不太念得出来啊,有兴趣的朋友可以尝试着念一下这个温度哈!