作者:Albert_JIAO
你会系鞋带吗?这个问题似乎应该问幼儿园的小朋友。可是有的时候,系鞋带也是一项技术含量很高的工作,选出一种最好鞋带系发并非易事。
啥样的系鞋带的方法叫好呢?文艺小清新一定喜欢最靓、最帅的那款。可是死理性派则把这个问题看作一个优化问题:哪一种系鞋带的方法最节省鞋带,所需要的鞋带长度最短。
常见的鞋带系法
鞋带穿过鞋孔的方法有千千万万,我们先只考虑比较常见的,就是鞋带在左右鞋孔之间左一下、右一下来回穿梭的情况。
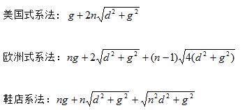
在查阅资料后,我们发现,符合上述说明的常规系鞋带方法有三种(如下图):分别是美国式系法、欧洲式系法和鞋店式系法(也就是鞋店卖鞋的为了图省事的一种简单系法)。

美国式系法

欧洲式系法

鞋店快速系法
这 3 种方法那一种更好呢?也就是说,哪种系法最省鞋带呢?
不妨然我们先来确定这个“鞋带工程”涉及到了哪些变量:
鞋上一共有多少对鞋孔:n
相邻两个鞋孔之间的距离:d
左面那一行鞋孔和右边那一行鞋孔的距离: g
根据勾股定理和一些简单的几何知识,我们可以很轻松的算出这 3 种系鞋带方法所需要的鞋带长度(只考虑穿过鞋孔的长度,不考虑系蝴蝶结所需要的长度)分别为:

在 n, d, g 的值不同的情况下,这 3 个函数哪一个最大呢?选几个数带进去算算就知道了。假设鞋有 8 对鞋孔( n = 8 ),鞋孔间距离是 1 厘米( d = 1 ),左右鞋孔间的距离是 2 厘米( g = 2 ),这 3 种系法所需要的鞋带长度分别是:
美国式系法: 38厘米
欧洲式系法:40厘米
鞋店系法:42厘米
如果按照一条 60 厘米的鞋带的价格 1 元算的话,采用美国式系法可以比第 3 种系法为你节省一大笔钱:人民币 0.07 元。再试试其他型号的鞋子,几乎每次都是美国式系法都可以击败另外两种系法,美国式系法似乎应该是 3 种之中是最好的,那是不是在所有的系法中它都是最好的呢?
最优鞋带系法和光线传播的联系
其实,这个问题和光线反射与折射问题有着很巧妙的联系。光在传播的时候有个“怪癖”,总是“抄近道”,选择走最短的路径(当然,死理性派知道这种说法是不严谨的 )。我们就知道光的入射角等于反射角,但是可能很少人想过这个现象背后更深层的原因:因为只有这样,才可以保证光线总能以最短的路径达到目的地。比如下面的图中,A点在入射光线上,B点在反射光线上,AB两点之间相当于有一条直线连接,“两点之间,线段最短”,如果入射角不等反射角,经过AB两点的光线就未必可以保证走的路最短。

回到鞋带的问题上,鞋带在两排鞋孔之间来回穿梭相当于光线在两面相对的镜子之间反射来反射去。而美国式系法恰好相当于光线以入射角等于反射角的方式进行来回反射(第 n 个鞋孔除外),自然保证了是三种方式中最省鞋带,也是所有可能方式中距离最短的系鞋带方法。
在下面的这幅图里,每一条横线交替代表左边的一行鞋孔( A )和右边 ( B )一行鞋孔,竖线代表第 1,2,3,……n 个鞋孔。我们可以在一个平面上清楚地看到这三种鞋带系法是怎样穿过所有的鞋孔的。美国式系法几乎是直线,而另外两种系法曲曲折折,走的距离长也就不出乎意料了。

更省鞋带的非主流系法
看到这里你可能会问,是谁这么闲研究了这样让人想不到的问题?其实以上的系鞋带指南出自一篇论文,下图是这篇奇特的论文的作者,美国北卡罗莱纳大学的 John H. Halton 大叔。

John H. Halton 大叔 | cs.unc.edu
虽然我们简单介绍了这篇论文的内容,不过故事还没有完,刚刚说的最短系法只是在鞋带每次都是在左右鞋孔之间来回穿梭的假设之下的。事实上,在 John 发表论文之后,就有人开始提出异议,认为如果扔掉这个假设,还有比美国式系法更短的系法,比如下面的这个系法:

如果 n 是偶数,需要的鞋带长度只有 ( n – 1 )( g + 2d ) 。据说加拿大皇家海军和皇家空军曾用这种方式系鞋带,原因倒不是为了节省鞋带,而是鞋带很容易从中间用刀一下子划开,这样在遇到危急情况,比如溺水的时候,便于脱掉鞋子逃生。
看来,系鞋带这件技术活也不是那么容易的。

参考资料:
1. The shoelace problem, H Halton - Mathematical Intelligencer, 1995
2. How to Cut a Cake: And Other Mathematical Conundrums, Ian Stewart
本文经授权转载自公众号“果壳”,如需转载,请联系原账号。
欢迎个人转发到朋友圈
