数*运学**算的出题方式,往往是给一道复杂的题干,要求在很短的时间内通过计算,得出结果(或者在四个选项中找出答案)。这就要求我们必须具备一些基本的计算知识,并掌握一些常见的题型。
此篇只说一下基本的计算技巧,我们总结归纳出了六种。

一是尾数及凑整计算。其实这种计算技巧只是一种思维方式,遇题时要灵活多变,现在已经很少出这么简单的题了。
例,50.78,46.50,104.61,8.43,64.50这五个数的和是()
此处只需将每个数字最后一位相加,即可得到五个数和的最后一位数。
例,求4.18+1.72+0.82+0.28的值。
A.7 B.8 C.9 D.10
二是整除的判定。以下整除判定方法需要理解并记忆。
若一个整数个位上是偶数,则这个数能被2整除。
若一个整数的数字之和能被3整除,则这个数能被3整除。
若一个整数的末尾两位数能被4整除,则这个数能被4整除。
若一个整数的末位是0或5,则这个数能被5整除。
若一个整数能被2和3整除,则这个数能被6整除。
若一个整数的个位之前的数字,减去个位数的2倍,如果差是7的倍数,则原数能被7整除。
如果数值太大看不出是否7的倍数,就需要继续上述的过程,直到能清楚判断为止。若一个整数的未尾三位数能被8整除,则这个数能被8整除。
若一个整数的数字和能被9整除,则这个整数能被9整除。

三是最大公约数与最小公倍数。
两个数能同时被一个数整除,那么这个数就是那两个数的公约数。如24和36都能被3整除。最大公约数即公约数中最大的那个。
一个数同时是两个数的倍数,这个数就是那两个数的公倍数。如480是48和60的公倍数。最小公倍数同理。
例,四个人去图书馆借书,甲每隔5天去一次,乙每隔11天去一次,丙每隔17天去一次,丁每隔29天去一次,如果5月18号,他们四人在图书馆相遇,问他们下一次相遇会是几月几号? A10.18 B10.14 C11.18 D11.14
此题即求最小公倍数的典型例题。每隔5天去一次,即5+1天去一次。所以此题即求6.12.18.30的最小公倍数。
四是比例性质。
1、由比例判定倍数。a/b=m/n,且m、n为互质的证书,则说明a占m份,是m的倍数;b占n份,是n的倍数;a+b占m+n份;a-b占m-n份。
例,某公司去年员工830人,今年男员工人数比去年减少6%,女员工人数比去年增加5%,员工总数比去年增加3人.问今年男员工有多少人?
A.329 B.350 C.371 D 504
五是均值不等式。
若a、b均是正实数,则:a+b≥2√(ab),当且仅当a=b时取等号。
例,建造一个容积为16立方米、深为4米的长方形无盖水池,如果池底和池壁的造价每平方米分别为60元和40元.水池的最低造价是多少元?3840元
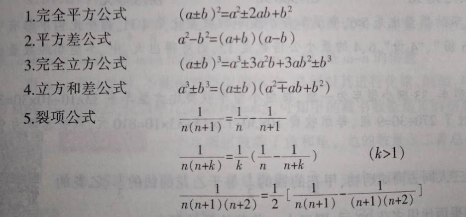
六是计算公式。但是这些公式比较常见,很多用不到。如图。
