兰州大学简称兰大,也是一所教育部直属的985重点大学,地处甘肃兰州,所以一般分数不是太高,2022年各学院的复试结果已经基本出来了,详细情况可以到官网查看:

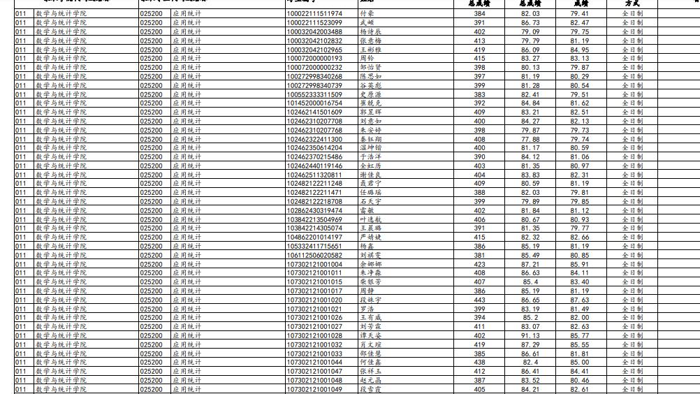
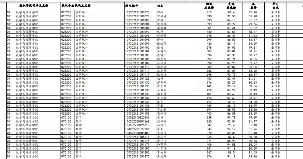
数学与统计学院


数学与统计学院,应用统计拟录取70人左右,最低376,最高445.数学拟录取11人。

物理科学与技术学院


物理科学与技术学院,共拟录取120人左右,其中物理学60多人,电子科学与技术4人,电子信息50人左右。

材料与能源学院


材料与能源学院,材料科学与工程40人左右,材料与化工50多人。

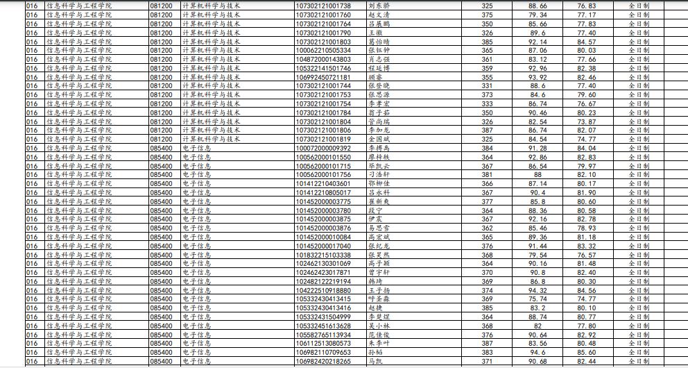
信息工程学院



信息科学与工程学院,信息与通信工程拟录取17人,计算机科学与技术21人,电子信息录取130多人。

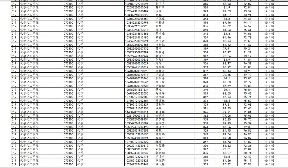
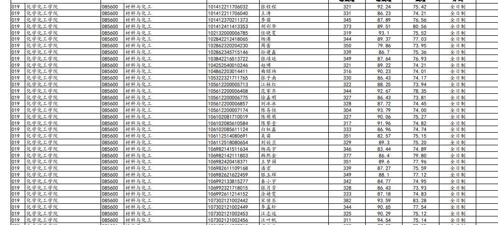
化学化工学院


化学化工学院,化学工程与技术拟录取7人,化学专业拟录取130多人。

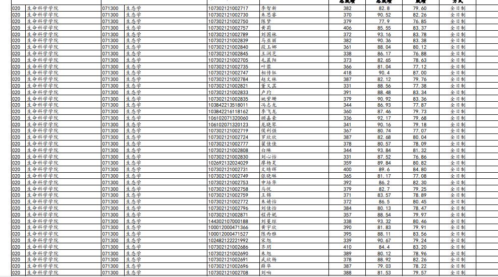
生命科学学院


生命科学学院,细胞生物学7人,生态学100多人。

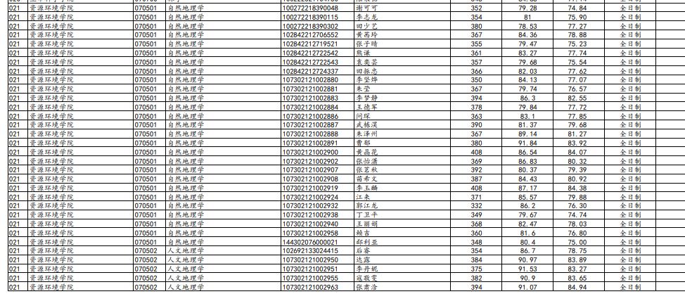
资源与环境学院


资源与环境学院,水利工程12人,环境工程100多人。

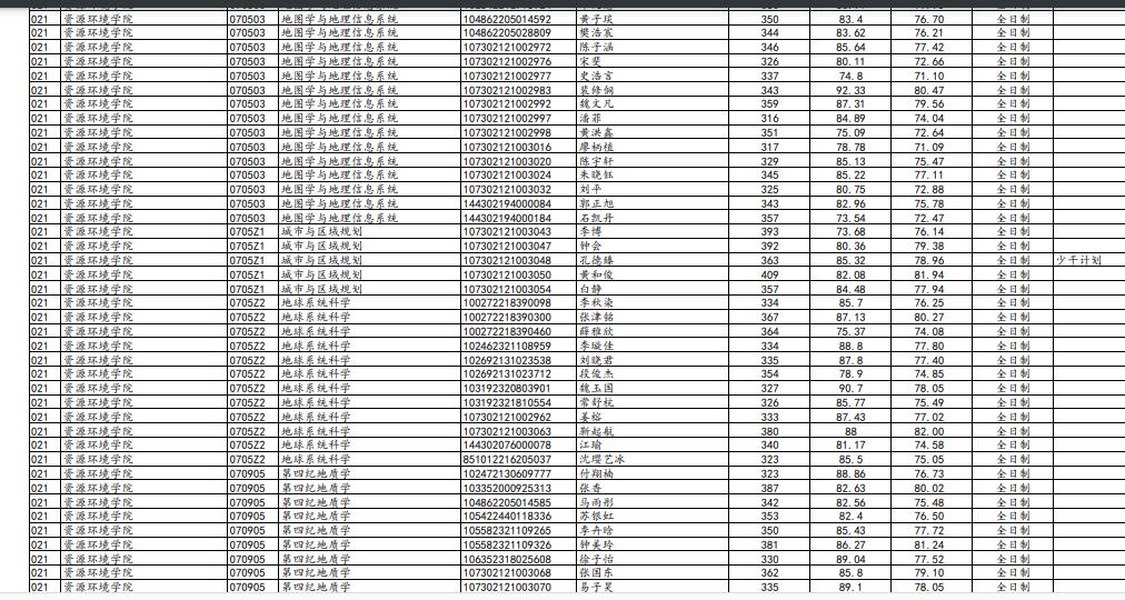
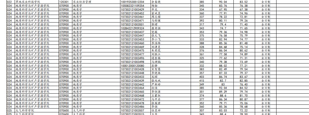
地质科学与矿产资源研究院,地质学总共录取28人左右。

大气科学学院

大气科学学院,大气科学拟录取60多人。

土木工程与力学院


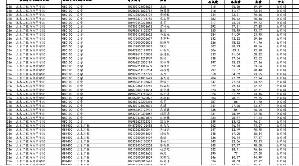
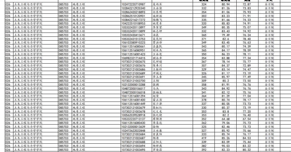
土木工程与力学院,力学总共录取40人左右。土木工程20人左右。