发动机效率
摘要 :在内燃机中将燃料能量转化为有用功会涉及许多损失。这些包括排放中的化学能损失、发动机和通过废气的热损失,以及发动机中的气体泵送和摩擦损失。因此,发动机的整体制动热效率是燃烧、热力学、气体交换和机械效率的乘积。
- 发动机能量损失损失总结燃料能源燃烧效率热力学效率热损失气体交换效率机械效率
- 从燃料的角度看效率
1.发动机能量损失
1.1损失总结
在内燃机中将燃料能量转化为有用功会涉及许多损失。图 1 说明了主要的发动机能量损失和相应的效率因素。其他关于影响发动机效率的因素的研究,重点是 低温燃烧 。

从碳氢化合物燃料的燃烧和能量释放开始,少量燃料不能完全转化为理想的燃烧产物 CO 2和 H 2 O。未燃烧燃料和燃烧中间体中剩余的能量导致了 燃烧效率 的存在。
在燃烧过程释放的能量中,热力学第二定律决定了只有一小部分可以转化为有用功。这部分与热力学效率有关, 热力学效率 取决于用于将热量转化为功的循环的细节。对于内燃机,热力效率的上限通常由奥托循环计算确定。未转化为机械功的燃烧能量通过将热废气排放到环境中或通过燃烧室表面的热传递作为热量损失。总 指示效率 等于燃烧效率和热力学效率的乘积,反映了燃料燃烧所产生的总功。
在已转化为功的能量中,一部分功用于将进气引入发动机并排出废气。这种泵送损失与 气体交换效率 有关。 净指示效率 调整总指示效率以考虑将气体吸入和排出发动机所需的功。
还必须使用一些工具来克服滑动表面(例如活塞环和轴承)之间的摩擦,并驱动必要的辅助设备(例如油泵和冷却液泵)。 后者是用机械效率 占的。令人困惑的是,气体交换损失和摩擦损失有时会合并为一个用于确定机械效率的损失。这将在 下面 讨论。
剩余的功,即制动功,因此可从发动机获得,以做有用的功。制动效率(或制动热效率)可表示为:
η制动= η燃烧· η热力学· η气体交换· η机械 (1)
另一种表达制动效率的方法是:
η制动= η闭环· η开环· η机械 (2)
其中:η闭合循环是闭合循环效率,闭合循环是进气门和排气门关闭时 4 冲程循环的一部分。η封闭循环= η燃烧· η热力学η开放循环是开放循环效率,开放循环是进气门或排气门打开时四冲程循环的一部分。η开放循环= η气体交换
需要注意的是,本文对发动机效率的讨论是从用于将热量转化为功的过程的角度出发的,即仅限于某种类型的机器,并反映了用于将热量转化为机器或热力循环的局限性。效率也可以从燃料和可以转化为功的燃料能量的角度来看。后面讨论的后一种方法 更 通用,并且不限于任何特定的热力学循环。
1.2 燃料能量
在内燃机中,空气和燃料混合形成可燃混合物,该混合物被点燃并以热的形式释放能量。释放的热量取决于许多因素。虽然截留在气缸中的燃料量是空气/燃料混合物的能量含量以及可以释放的热量总量的主要决定因素,但其他次要因素也很重要。这些次要因素包括有关燃料成分的详细信息,例如燃料中所含元素的类型以及化合键的性质。
对于发动机,燃烧释放的净能量通常由燃料的较低热值 (LHV) 表示,因为燃烧产生的水被假定为保持蒸汽状态。图 2 显示了可用于内燃机的一系列燃料的 LHV 与它们的化学计量空间比。请注意,对于碳氢燃料,LHV 非常相似,并且比含氧燃料要高得多。含氧分子团在燃烧过程中贡献 的能量较少 ,但对燃料的质量和体积有很大贡献。

图 2。与化学计量空燃比相比,各种燃料的低热值 (LHV)
一旦确定了燃料,发动机功率就由燃烧前气缸中的空气/燃料混合物的能量决定。对于在将进气引入气缸之前进行空气/燃料混合的发动机,该能量与可以被引入并捕获到气缸中的空气/燃料混合物的量有关。对于在 IVC 后气缸内发生空气/燃料混合的发动机,这取决于可以吸入到气缸中的空气量。可以证明:
Hport = ρ mix LHV f / [λ AFR stoich +1] (3)
其中:H port = 在进入气缸之前形成的每单位气缸体积的混合物的能量含量,MJ/m 3ρ mix = 混合物的密度,kg/m 3LHV f = 燃料的低热值,MJ/kgλ = 混合物的相对空燃比
AFR stoich = 化学计量空燃比
H DI = ρairLHV f / [λ AFR stoich ] (4)
其中:H DI = IVC 后在气缸中形成的混合物的每单位气缸体积的能量含量,MJ/m 3ρ air = 空气密度,kg/m 3
需要注意的是,对于大多数液体燃料,H port和 H DI之间的差异很小。然而,对于天然气的主要成分甲烷等气体燃料,差异可能更显着,图 3。此外,在某些情况下,在 IVC 之前空气和燃料在缸内混合的情况下,Hport更能反映可以气缸内的能量。等式 (3) 和等式 (4) 中的涡轮增压器或增压器的进气压力增压效果通过密度项来说明。

图 4 显示了标准条件下几种燃料的化学计量混合物的 H port和 H DI值与它们的化学计量空燃比的关系,并且基于将它们与进气混合的最常见方法。虽然存在重要差异,但值得注意的是,仅基于混合能量密度,以任何这些燃料为燃料的发动机的功率输出将非常相似。应注意仅混合能量密度不足以确定发动机的最大输出。

1.3 燃烧效率
燃烧效率表示燃料转化为燃烧产物碳氢燃料的 CO 2和 H 2 O的完全程度。 当燃烧质量平衡 方程式中的燃烧产物的系数为零时则为燃烧效率为 100% 的完全燃烧,燃烧过程将反映在整体反应中:
C x H y + aO 2 + 3.76aN 2 → bCO 2 + dH 2 O + kN 2 + pO 2 (5)
当燃烧不完全时,不完全燃烧的产物含有能量,燃烧效率低于100%。在数学上,燃烧效率可以表示为:
η燃烧= {燃料能量 - Σ(部分燃烧产物的能量)}/(燃料能量) (6)
燃烧效率可以使用燃料消耗和发动机排放数据来估算。通过使用排放数据和对最小燃料消耗的合理估计,平均燃烧效率的下限可以从以下等式估计:
η燃烧= {m f · LHV f - Σ (m i · LHV i )}/(m f · LHV f ) (7)
其中:m f —— 燃料的质量流量 = BSFC,g/kWhLHV f —— 燃料的低热值,MJ/kgm i —— 组分 i 的质量流量,其中 i = CO、HC 和 PM,g/kWhLHV i - 组分 i 的低热值,MJ/kg
针对柴油燃料可以使用 LHV 进行计算, HC 能量释放为 43 MJ/kg,CO 为 10.1 MJ/kg,PM 为 33.8 MJ/g,BSFC 为 200 g/kWh,排放率(m i ) 来自美国 EPA 发动机认证数据的 CO、HC 和 PM。200 g/kWh 的 BSFC 是现代公路柴油发动机最低 BSFC 的合理估计。使用更高的 BSFC 将导致对燃烧效率的更高估计。图 5 显示了 1998 年不带后处理装置的 MY 公路用柴油发动机的估算值。很明显,大多数发动机的平均燃烧效率大于 99.5%。

图 5。1998 年公路柴油发动机在 FTP 循环中的燃烧效率直方图
使用美国 EPA 排放认证数据估算,假设 BSFC 为 200 g/kWh
图 5 表明,通过提高燃烧效率来提高传统柴油发动机的效率几乎没有余地。然而,对于一些其他类型的发动机,大量未燃烧的燃料可能会从燃烧过程中逸出,或者燃烧中间体(如 CO)的产生可能足够高,以至于发动机效率会受到显着影响。 天然气发动机 ,例如火花点火发动机和一些双燃料发动机,空气和燃料在进入气缸之前被预混合就是一个这样的例子。在这些天然气发动机中,燃料可以通过 多种机制逃离燃烧过程 包括在燃烧过程中进入环形组件或在气门重叠期间直接吹出排气口。
其中一些发动机的 甲烷排放量可能超过 10 g/kWh,这占发动机燃料消耗的相当大一部分。 使用一些 低温燃烧 策略的发动机也可以产生相对大量的能量 CO 未燃烧的燃料,其能量含量可以代表提供给发动机的总燃料能量的很大一部分。通常需要高于 1500 K(约1226℃) 的峰值燃烧温度来确保 CO 到 CO 2的高转化率。低于此温度,燃烧效率会迅速下降,并对燃烧效率产生重大影响。应该注意的是,对于使用可以氧化未燃烧燃料和一氧化碳的后处理催化剂的发动机,仅从尾气排放值来看,燃烧效率损失可能并不明显。发动机排放数据对于估计燃烧效率是必要的。
1.4 热力学效率
1.4.1定义
发动机运行可以用各种近似于实际工作循环的方式来建模。最简单的方法之一是使用基于理想循环的分析。这些方法的细节可以在许多关于内燃机的教科书中找到。虽然这些理想循环过度简化了发动机运行的许多细节,但它们对于识别影响发动机性能的许多重要参数很有用。
对于火花点火发动机,通常使用定容或奥托循环。在这个循环中,热量增加(即燃烧)以恒定的体积发生,并在活塞达到压缩冲程的上止点时开始,并且在活塞开始其膨胀冲程之前结束。可以看出,理想奥托循环的指示效率为:
η i-Otto = 1 - 1/(C r γ-1 ) (8)
其中 γ = 工作流体的比热比 (C p /C v )。 C r = 压缩比
图 6 显示了一些典型值。

很明显,除了工作流体(即缸内气体)的成分和温度通过其对 γ 的影响之外,效率主要受压缩比的影响。实际上,膨胀比实际上是关键参数,因为它决定了在膨胀冲程期间从燃烧产物中提取了多少功。在理想的奥托循环中,压缩比和膨胀比是等效的,并且这两个术语可以互换使用。在许多(但不是全部)实用的奥托循环发动机中, 几何 压缩比~ 有效 膨胀比。
比热比 γ 对混合气成分和温度敏感。它随着更高的循环温度和更高比例的三原子分子(即使用更多的 EGR 和/或当混合物更富燃料时)而降低。因此,更稀薄的混合物和更低的温度以及更少的 EGR 往往会通过提高 γ 来提高热力学效率。在化学计量 SI 发动机中,冷却 EGR 的引入对成分的影响很小,但会降低温度,从而导致更高的 γ 。
有时用于描述柴油发动机运行的一种理想循环是恒压或迪赛循环。在这个循环中,热量在恒定压力下发生,并在膨胀冲程开始时开始,在活塞向下移动后结束。体积膨胀过程中的热量增加对于保持压力恒定是必要的。可以看出,理想迪赛循环的指示效率为:
η i-Diesel = 1- [1/(C r γ-1 )][(β γ -1)/γ(β-1)] (9)
式中 β = 恒压加热结束时的气缸容积/恒压加热开始时的气缸容积。图 7 显示了恒压循环效率随 β 的变化。

仔细检查方程 (9) 和图 7 可以明显看出,对于给定的压缩比,理想的迪赛循环效率将始终低于理想的奥托循环,并且随着更多热量的增加(即发动机产生更多工作)理想迪赛循环的效率会降低。这是因为在活塞从 TDC 位置移动之后,热量增加的后期阶段发生,所产生的燃烧产物通过较小的体积变化而膨胀,从而导致做功减少。真正的迪赛发动机当然被认为比奥托循环发动机更有效;一个原因是迪赛发动机通常以较高的压缩比运行,即使是在放热后期阶段的膨胀比仍然比大多数真正的奥托循环发动机高得多。
除了一些低速二冲程变型外,很少有现代柴油发动机接近恒压理想循环。现代柴油发动机中相当一部分的热量增加发生在接近恒定容积的条件下,而其余部分则发生在膨胀冲程期间。通常用于近似现代柴油发动机的理想循环是有限压力循环(也称为双循环、混合循环、特林克勒循环、塞利格循环或萨巴特循环)。它实际上是恒定体积和恒定压力循环的组合。可以看出,理想限压循环的指示效率为:
η i-LiPr = 1- [1/(C r γ-1 )][(αβ γ -1)/αγ(β-1)+α-1] (10)
式中 α = 定容加热阶段结束时的气缸压力/定容加热阶段开始时的气缸压力。β 的定义与等式 (9) 相同。
等式(10)简化为 β=1 时的定容循环效率和 α=1 时的定压循环效率。对于给定的压缩比,根据等式 (10) 的效率介于等容情况下等式 (8) 和等压情况下等式 (9) 之间。这是合理的,因为在恒定体积加热过程中产生的燃烧产物具有可用的全膨胀比。
从上面的讨论中,很明显,在没有限制压缩比的情况下——更具体地说是膨胀比——当活塞处于膨胀冲程的 TDC 时,在恒定体积下最大化热量增加从发动机效率的角度来看是最理想的。
1.4.2 理想循环效率的局限性
但是,如果将实际发动机面临的一些限制(热损失、机械损失和材料限制)应用于理想分析,则变得更加复杂。奥托循环 压缩比C r被限制在 10-12 左右以避免爆震和由此导致的发动机损坏,从而将最大奥托循环效率限制在低于柴油机的值或可以在高得多的 C r下运行的有限压力循环。虽然 米勒 气门正时、延长膨胀冲程(图 16)和可变压缩 比 等方法可以使奥托循环实现更高的压缩比和/或膨胀比并提高奥托循环效率,但它们面临挑战并增加了显着的复杂性。
考虑到柴油机适用的两个循环,限压循环和定压循环,由于部分燃烧发生在定容,限压循环的潜在效率会更高。因此,人们感兴趣的是最大化柴油发动机中的定容燃烧量,同时保持在最大压力限制以下。通过许多先进的燃烧 策略 (例如 RCCI(反应性控制压燃)和 PPCI(部分预混压燃))可以在燃烧前利用大量燃料预混或尝试模仿柴油燃烧策略来实现增加定容燃烧有限的压力循环。
上述讨论在图 8 的示例中进行了说明。该示例使用基于理想循环分析的模拟模型,同时还考虑了机械和热损失,以估计放热曲线的潜在效率,包括定容燃烧、不同压力下的限压燃烧。 α 值和恒压燃烧,同时保持峰值压力低于合理的上限。使用了三种不同的峰值压力限值,20、25 和 30 MPa,这反映了从传统低成本发动机到高级版本的不同水平的发动机设计

图 8 不同截止比 (α) 值的奥托循环、柴油循环和限压循环的压缩比对制动热效率 (BTE) 和最大气缸压力 (P max ) 的影响
水平线代表不同的最大气缸压力限制。1000 rpm,240 mm 3 /stroke 燃油喷射(约 1.9 MPa BMEP),增压压力 391.3 kPa(绝对值),进气温度 323 K,EGR 率 50%。
显而易见的是,对于所示的压缩比(C r = 14.0、18.0 和 22.0),奥托循环的峰值压力会太高,任何接近恒定体积热添加的东西都需要显着降低的压缩比。对于 20 MPa 的峰值气缸压力限制,α=1.6 和 C r = 14 的有限压力循环将使 BTE (45%) 最大化。如果峰值气缸压力限制增加到 25 MPa,则具有相同 α = 1.6 但更高 C r = 18 的有限压力循环将使 BTE (46%) 最大化。对于 30 MPa 的峰值气缸压力限制,在 α = 1.2 时可以容忍更高比例的定容燃烧,但需要将C r降低到 14 以最大化 BTE (46.5%)。
应该注意的是,上述分析仅集中于确定对 BTE 优化最有利的压力分布。最大化发动机的 BTE 涉及优化除压力分布之外的许多其他参数,包括热损失,并且可能需要许多折衷方案。例如,许多低速二冲程船用发动机在任何现代内燃机中实现了最高的 BTE(高达 55%),这主要是由于它们相对较低的热损失,即使它们在燃烧期间的缸内压力特性非常相似具有恒定压力加热的理想柴油循环。
1.4.3 定容燃烧程度
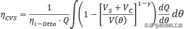
燃烧效率本身仅量化燃烧的完整性,而不量化燃烧速率或燃烧相位如何优化。如上所述,最大化燃烧恒定体积的燃料量使在活塞的整个膨胀冲程中膨胀压力最大化,并且可以提供提高发动机效率的机会。定容燃烧程度 (η CVC ) 是一个参数,可以从发动机的放热特性中计算出来,以量化定容燃烧量:

(11)
其中:η i-Otto是 Otto 循环效率,Q 是总累积热量释放,V(θ) 是曲轴转角 θ 时的气缸容积。
该方程是两项的比值:(1) θ 处的增量热释放的积分乘以从 V(θ) 扩展的奥托循环效率和 (2) 理想定容燃烧过程的效率 [η i -奥托Q]。换言之,η CVC反映了由于在 TDC 之后而不是在 TDC 发生的燃烧而导致的潜在功损失。应该注意的是,由于燃烧产生的 BTDC 增加的压缩功没有被考虑在内,方程 (11) 应该只适用于 TDC 和以后的热释放。统一的 η CVC值表示 TDC 时的恒定体积热释放。
利用 η CVC,任何热释放曲线的净指示效率可以表示为:

(12)
其中:Q c是累积冷却损失。
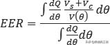
与 η CVC 类似的参数是Stanton 提出的 有效膨胀比 (EER) ,可以将其视为给定热释放曲线的“平均”膨胀比:

(13)
1.5 热损失
1.5.1 从燃烧室传热
三种传热方式(传导、对流和辐射)都在内燃机燃烧室的传热中发挥作用。热量通过气缸壁通过传导传热方式传导出气缸。热量主要通过对流或辐射从热气体传递到气缸壁。缸内速度和湍流是影响对流传热的重要因素。 热气辐射 取决于气体成分,其中 CO 2和 H 2 O 尤为重要,对于 SI 汽油等预混增压发动机很重要。 火焰辐射 在扩散燃烧(例如柴油发动机中发生的燃烧)过程中,主要考虑来自带热量的烟灰颗粒。在膨胀冲程结束时,燃烧气体从气缸中排出,并携带与通过气缸壁因传热而损失的热量相似的热量。后者有时被称为 排气损失 。
通过对流从燃烧室壁流出的热量通常是最重要的传热机制。局部热通量的估计是一个非常复杂的问题。相反,通常使用空间平均传热系数来估计空间平均热通量:
q(θ) = h(θ) [T g - T w ] (14)
其中:q(θ) = 在给定曲轴转角下到气缸壁的空间平均对流热通量,W/m 2h(θ) = 在给定曲轴转角下的空间平均对流传热系数,W/m 2 KT g = 给定曲柄角处的质量平均气体温度,KT w = 给定曲柄角处的平均壁温,K
有许多经验相关性可用于估计 h(θ)。Woschni 的一个是常用的,它说明了影响缸内传热的主要变量:
h(θ) = 0.013 B -0.2 p 0.8 T -0.53 (C 1 v) 0.8 (15)
其中:B = 气缸孔直径p,T = 气缸内的质量平均压力和温度,Pa 和 KC 1 = 取决于进气涡流数的参数v = 气体有效速度,m/s。通常,v = S p + K p,其中 S p是平均活塞速度,K p = 3.24×10 -3 /C 1 ·Δp 其中 Δp 是 θ 处点火和动态气缸压力之间的差,乘以反映压缩开始时被吸入气缸中的混合气的变化因子。
对于气体交换冲程,C 1 = 6.18 + 0.471 (v swirl /S p ),而对于压缩和膨胀冲程,C 1 = 2.28 + 0.308 (v swirl /S p )。v swirl是用于测量涡流速度的切向 速度 。应该注意的是,Woschni 相关式是从形式为 Nu = C·Re 的强制稳态湍流对流传热的无量纲表达式导出的m其中 Nu 和 Re 分别是努塞尔数和雷诺数,C 和 m 是缩放常数。
图 9 显示了 h(θ) 随 4 冲程发动机曲柄角的典型变化。请注意,这些值在膨胀冲程期间最为重要。

图 9。发动机循环期间传热系数的变化
可以通过多种不同方式降低通过气缸表面的热传递。检查公式 13 表明,降低传热系数是一种选择。这可以通过以最小化 h(θ) 的方式选择公式 14 中的变量组合来完成。此外,还可以使用诸如用空气或 EGR 稀释或通过米勒气门正时降低压缩冲程结束时的温度等手段来降低燃烧气体温度。气缸表面温度可以通过使用较低导热率的材料(例如钢和铸铁而不是铝)或使用绝缘陶瓷 涂层 来提高。
影响传热的其他参数包括燃烧相位、爆震的发生(在易受其影响的发动机中)和发动机转速。延迟非爆震燃烧的燃烧相位可降低峰值温度和传热系数,并导致较低的传热损失。爆震开始时传热系数显着增加,而峰值温度几乎不受影响。提高发动机转速会提高传热系数,但会减少可用于传热的时间,这通常会降低传热损失。
应该注意的是,减少汽缸壁传热并不总是转化为可直接提高发动机效率。在许多情况下,特别是当使用较低导热率的材料试图降低热损失时,排气温度会升高并导致更高的排气能量损失,这会抵消较低冷却剂热传递的任何好处。在这种情况下,可能需要更重大的发动机设计变更或使用 废热回收 (WHR) 技术来实现任何潜在的效率优势。将热量保留在排气中而不是将其转移到发动机冷却液中,从而增加使用废热回收可能提取的功,图 10 。

图 10。不同发动机 BTE 的冷却液、排气和制动功之间的燃料能量分配
通过材料选择、设计更改以及在气缸、排气口、排气歧管和涡轮机壳体中使用绝缘材料,更多的热量保留在排气中。虽然显示了没有外部 WHR 的基本发动机 BTE,但也包括了高效涡轮增压的综合节能增效的效果。
1.5.2 行程缸径比
降低通过气缸表面的热损失的另一个选择是降低热通量(公式 13)所作用的表面积。通过在保持气缸体积不变的同时降低气缸表面积,可以降低相对于总热量释放(Q壁/Q燃烧)通过壁损失的热传递。该比率最终会影响效率,并且与气缸的表面积与体积比 (A/V) 成正比。一种可用于影响 A/V 的设计参数是冲程与缸径比,即气缸的 L/B。
行程-缸径比可以从小于 1 用于高功率密度应用的值变化到大于 4 的值用于一些低速 2 冲程船用发动机。图 11 显示了适用于各种应用的一系列冲程缸径比。限制冲程长度的一个因素是活塞摆动运动产生的惯性力。对于大多数应用,平均活塞速度限制在 9-10 m/s 左右。一旦确定了冲程长度,这就为发动机设定了转速上限。然后,缸径大小由所需的发动机排量和气缸数决定。对于图 11 中的一级方程式赛车发动机,高达 18,000 rpm 的发动机转速需要较小的冲程与缸径比来限制惯性力。对于船舶应用,2.5 m 冲程将发动机转速限制为 102 rpm 。较小的冲程-缸径比还具有允许大进气门和高容积效率的好处,这对于高速运行的四冲程发动机很重要。

图 11各种应用的功率密度与冲程孔比
为了提高发动机效率,需要更高的冲程与缸径比,因为随着冲程缸径比的增加,表面积/体积比会显着降低,图 12;注意对数 y 轴。较小的表面积与体积比导致从气缸到发动机冷却液和活塞顶的热传递较少,并且可以提高发动机效率,方程式 (12)。当遇到最高温度和传热系数时,该热效应在 TDC 附近最高。

图 12。冲程与缸径比对气缸表面积与体积比的影响
更高的冲程缸径比还有其他好处。较小的孔径可以减少曲轴轴承上的摩擦,因为作用在活塞上的力较小。但是,活塞环摩擦会因冲程较长而增加。对于 SI 发动机,较高的冲程-缸径比可以增加湍流并导致更快的燃烧并增加等容燃烧的程度, 方程式 (11) ,这在较低的发动机转速下最有利.
最大的冲程与缸径比用于低速二冲程船用发动机。对于这些应用,虽然较大的冲程-缸径比通过较小的表面积-体积比和较高的 η CVC提高了发动机效率,还有一个额外的好处是可以减少船舶的燃料消耗。这些发动机直接连接到船舶的螺旋桨上,无需任何传动装置,螺旋桨和发动机的转速相同。较长的冲程需要较低的旋转速度来管理惯性力(即,保持相同的平均活塞速度)。较低的转速允许使用更大直径的螺旋桨来保持相同的船速;更大直径的螺旋桨效率更高。较大螺旋桨所节省的燃料可能是较长发动机冲程所节省的数倍。在一个示例中,800 毫米缸径船用发动机的更长冲程版本(3720 毫米对 3450 毫米)将发动机油耗降低了 1.0%,但使用更大、更低速度的螺旋桨(68 转/分钟对. 78 rpm) 为 3.6%,综合节油达4.6%
对于大型二冲程发动机,更大的冲程与缸径比也有另一个好处。较长的冲程会增加进气口和排气门之间的距离。这种更长的距离提高了 扫气效率 并降低了泵送损失。
在高速发动机中,与现代低速二冲程船用发动机中使用的冲程/缸径比相当的话可能并不现实。对于四冲程循环,需要在气缸盖中同时安装进气门和排气门将需要小的进气门,因此会限制容积效率。对于较大的冲程/缸径比,单流扫气二冲程设计的优势在于,气缸底部的进气口和位于气缸盖中的排气门可以设计成比具有相似冲程孔比的四冲程更高的流量。2018 年,完成了用于乘用车应用的单流扫气二冲程柴油发动机的开发计划,该发动机的冲程与缸径比为 1.45 , 其他发动机架构,例如对置活塞设计,可为高速重型发动机提供超过 2 的冲程/缸径比,同时 BTE 潜力高达 55% 。
应该注意的是,发动机设计变化、材料选择和绝缘材料的使用可用于实现类似的热传递效果,从而使冲程与缸径比相对较小的高速发动机能够达到与那些可能值相当的 BTE 值,低速发动机使用非常高的冲程-缸径比,图 10。这种方法被用于美国能源部的许多 超级卡车计划,目标是 55% BTE,用于重型 8 类长途应用。
1.6 换气效率
气体交换功用于将来自环境压力的进气泵入气缸以及将气缸中的废气泵入环境所需的功。在自然吸气发动机中,活塞提供完成这些任务所需的所有功,并且进气和排气冲程都会产生负泵送功。在没有高压 EGR( HP EGR )的涡轮增压发动机中 不允许正泵做功),可以在进气冲程期间实现高于排气冲程期间的缸内压力,并从发动机循环的气体交换部分实现净增益。在这种情况下,涡轮增压器作为废热回收的一种形式,将废气能量传递回活塞,从而产生正的净泵送功,而气体交换过程实际上可以增加发动机输出并为发动机效率做出积极贡献。进气冲程压力相对于排气冲程压力越高,对发动机效率的好处就越大。
通过提高涡轮增压器效率和高增压压力,可以通过气体交换过程显着提高发动机效率。这种方法如图 13 所示,使用理想化的气体交换过程,该过程反映了大型四冲程燃气发动机,这些发动机通常用于固定和船舶应用中。使用更传统的涡轮增压器系统产生约 5 bar 的进气压力,将涡轮增压器效率从 65% 提高到 75% 可使正净泵送功增加约 50%。在约 9 bar 的较高进气压力下,净正泵送功反而增加了约 7 倍,同样提高了涡轮增压器效率。

图 13两种不同进气压力下涡轮增压器效率提升的效果
提高涡轮增压器效率还可以留下可以通过其他方式回收的额外废气能量。如果图 13 左侧采用传统涡轮增压选项的排气背压保持在 4 bar 左右,则效率为 75% 的涡轮增压器可以与复合涡轮相结合,从而产生与高压涡轮增压选项相比的输出增加效率为 75%。采用高压涡轮增压方法,在涡轮增压器的效率为 75% 的情况下保持约 8.5 bar 的排气压力不会产生足够的额外好处来证明涡轮复合的合理性。
米勒循环 是另一种可用于利用多余废气能量的方法 。由米勒气门正时导致的有效压缩比的降低减少了活塞所做的压缩功,而峰值压力仍然可以通过涡轮增压提高进气压力来维持。实际上,这允许涡轮增压器压缩机完成一些先前由活塞在非米勒循环方法中完成的工作。
1.7 机械效率
机械效率考虑了由于发动机 摩擦和辅助设备 (如润滑油泵、冷却液泵、燃油泵和冷却风扇)造成的损失。只要零件之间存在相对运动,就会产生发动机摩擦。曲轴、连杆和凸轮轴以及活塞环和活塞裙上的轴颈轴承是发动机摩擦的重要来源。来自动力缸部件的摩擦力通常占主导地位。
减少发动机摩擦的措施包括使用低张力活塞环、活塞裙接触面积较小的活塞、低粘度润滑油、更高的油温、气缸套调节和轴承优化。
降低辅助设备损失的措施通常侧重于减少润滑剂和冷却剂的流量。在传统的发动机设计方法中,冷却剂和机油的流量通常针对额定功率进行优化,这会导致在较低功率条件下的流量过大。这些流量可以通过使用可变流量泵、电气化或通过使用离合器来优化。这允许在部分负载条件下减少或完全关闭流量,同时在需要的条件下仍保持充足的流量。
在某些情况下,将气体泵入和泵出发动机所需的功率、克服摩擦所需的功率和辅助设备所需的功率结合起来是有用的。可以估算为制动功率与总指示功率的比值:
η气体交换·η机械=(制动功率)/(总指示功率) (16)
或者
η气体交换· η机械= P b /P ig = 1 - (P f /P ig ) (17)
其中 P ig是总指示功率,P b是制动功率,P f是摩擦和泵送功率。虽然这个参数有时被称为机械效率,但显然它与图 1 和公式 (1) 中所示的机械效率的定义不同。
这种组合很有用,因为它的值可以根据发动机制动功率和恒定发动机转速下的燃料消耗之间的关系来估计,图 14。通过在 x 轴上绘制制动功率和在 y 轴上绘制燃料消耗量,可以表示数据几乎是一条直线。由于这条线被外推到零油耗,它给出了总功率损失的估计值——在这种情况下约为 60 hp。描述发动机制动功率与燃料消耗的线、其向左的外推(以虚线显示)和功率损失的估计归因于一个名叫 Willans 的英国人,因此该特征线的名称也由此而来。

图 14 Willians线
Willans 线方法的一个问题是泵送、辅助和摩擦损失结合在一起,并且丢失了有关这些损失如何分配的信息。对于泵送损失相对较低的柴油发动机,由 Willans 线确定的功率损失更能反映由于发动机摩擦和辅助设备造成的损失——尤其是在发动机转速较低的情况下。对于依靠节气门控制负载的发动机,低负载时的泵送损失可能很大。有人建议将 Willans 线与其他建模方法相结合,作为一种更深入地了解发动机损失的方法. 在许多情况下,Willans 线具有非线性,如果假设为线性,可能会导致错误。也有人建议对 Willans 线采用非线性方法。
2.从燃料的角度看效率
在讨论内燃机时,公式 (8) 到公式 (10) 的结果通常被引用为可实现的最大理论效率。这些循环分析侧重于能量转换 过程 ,并假设该过程是一种特定类型的闭式循环热机;在这种情况下,要么是迪赛的奥拓循环过程。封闭循环假设意味着必须从工作流体中排出热量以使其恢复到其原始状态。化学反应主要被视为热源,可以通过它们对比热 (γ) 比的影响来进一步考虑。闭式循环热机的最大理论效率是卡诺效率 (1 - T min /T max )。
然而,有些人会争辩说,应该对功率产生过程采取更普遍的看法。内燃发动机实际上是涉及化学反应和气体交换的开式循环发动机,与其通过对过程的假设来限制最大理论效率(即,它是奥托循环还是迪赛循环),不如从理论上可以从燃料和进气流通基于热力学第二定律的分析,不考虑工作过程施加的任何限制 , 通过将焦点转移到燃料和空气流可实现的最大功上,即所谓的 资源能量 ,可以考虑其他能量转换方式,例如燃料电池和使用其他循环(例如布雷顿循环和兰金循环)的方式。这种开放循环系统的效率上限则由燃料放射/能量比决定,而不是由任何一个特定的热力学循环施加的限制。
放射能,有时也称为 可用能 ,是一个术语,用于量化当给定实体与环境达到平衡时可以从给定实体中提取的最大理论工作量。放射能概念的一个重要特征是实体的放射能含量强烈依赖于其环境。一个简单的例子说明了这一点:如果一个人在大气压下将一个充满空气的气缸放在地球上的任何地方,它的放射能将为零。然而,如果将同一个圆柱体带到月球或海底深处,即使它的能量没有改变,它的放射能也发生了巨大的变化。燃料的比放射能 (χ燃料) 可以计算为:
χ燃料= (h反应物- h产物) - T 0 (s反应物- s产物) (18)
其中:h反应物和 s反应物是反应物的比焓和熵,h产物和 s产物是化学反应产物的比焓和熵,T 0是环境温度或所谓的 临界点 温度。
对于大多数碳氢燃料,Δh ≫ Δs 和 χ燃料≈ 燃料的热值。
重要的事要重申,从 燃料 的角度而不是用于产生功的 过程 来看待最大理论效率不涉及对提取放射能的方式的假设。表 2 列出了一些常见的燃料、它们的能量(低热值,LHV)和比放射能。由于许多这些燃料的能量/放射能比接近 1,因此使用这些燃料的一般开式循环过程的理论效率上限接近 100%
|
表 2 一些常见燃料的燃料能量、放射能和燃烧不可逆性 |
||||
|
燃料 |
燃料能源 (LHV)* |
燃料放射能 |
能量/放射能 |
无约束燃烧不可逆性 |
|
千焦/公斤 |
千焦/公斤 |
- |
% 燃料火用 |
|
|
氢 |
119,951 |
111,635 |
1.074 |
12.58 |
|
天然气 |
48,839 |
48,767 |
1.001 |
18.28 |
|
ULS 柴油 |
43,544 |
45,393 |
0.959 |
20.73 |
|
UTG-96汽油 |
43,370 |
44,304 |
0.979 |
19.54 |
|
E10 |
42,564 |
43,528 |
0.978 |
19.62 |
|
E85 |
31,395 |
32,837 |
0.956 |
21.18 |
|
乙醇 |
26,806 |
28,462 |
0.942 |
22.19 |
|
*化学计量;T输入,输出=298 K;所有的水都变成蒸汽 |
||||
开式循环发动机的实际效率限制由以下因素定义:不可逆损失(燃烧不可逆性、燃烧产物的放射能损失、热损失传递的放射能等)、功提取效率、摩擦、材料限制和成本。这些取决于从燃料中提取放射能的方法。如果使用以 无约束燃烧 为特征的内燃机——从发动机中提取功的速率与燃料氧化速率无关的过程——用于提取一些放射(功),则理论效率会因无约束燃烧而降低 。燃烧不可逆性 见表 2;20-25% 的燃料放射能被碳氢化合物燃料的无限制燃烧所破坏。
美国能源部2010 年前后发布的内燃机研究结果表明,基于曲柄滑块机构的内燃机的最大实际制动热效率约为 60%,这在很大程度上是由于无约束燃烧过程固有的不可逆性 , 实现高于 60% 的制动热效率将需要彻底改变,包括循环复合、新的发动机架构和更受限制的燃烧反应。燃料电池是使用受限化学反应的设备的一个例子——在高温固体氧化物燃料电池中,该反应可以被认为是受 限燃烧。在受约束的化学反应中,功提取速率与燃料氧化速率直接相关。
实现高效率的一种可能途径是通过联合循环,例如将内燃机与朗肯底循环以及可能的固体氧化物燃料电池相结合。如果这种联合循环方法结合了以甲醇为燃料并富油运行(大约 ɸ=2)的低排热“迪赛”发动机,则应该有可能达到约 70% 的放射效率,图 15。富油当量比降低了发动机中的燃烧不可逆性并且即使在这些富集条件下使用甲醇也几乎不会产生烟灰。然而,这种方法的复杂程度非常高,更高的效率是不切实际的;有太多的小损失,每一个都必须减少才能获得更大的收益。如果考虑与线性活塞/曲柄机构的显着偏差以实现极端的压缩/膨胀比,则认为可能达到 80% 的效率。球形膨胀是一种可能的方法;体积变化与长度的立方变化成正比(dV ~ dL3 ) 并有助于保持系统紧凑。然而,如何实现这样的扩张过程尚不清楚。

图 15 约 70% 放射效率的斯坦福方法