最近,市教育局下发《慈溪市二〇二〇年高中段招生计划》,决定今年我市的高中段学校招生225班。其中普通高中学校计划招生班级127班,人数5732人;普通中专、职业高中、技工学校计划招生98班。
普通高中招生计划

普通中专、职业高中、技工学校招生计划

对于初中毕业生而言,如何选择一个合适的高中也很关键,那么接下来让我们看看这些优秀的学校各自有什么特色吧。
慈溪中学
浙江省慈溪中学,创办于1956年,是浙江省一级普通高*特中**色示范学校,是全国著名重点中学,位列全国百强学校。1998年以来,连续被省委、省人民政府命名为“省级文明单位”。校园占地208亩,建筑面积118000㎡,投资近5.3亿,教学及生活设施一流。现有36个班级,1700多名学生。

学校始终以培养“德才兼备”的优秀人才为己任,累计为社会培养和输送了2.7万多名各类人才。1989年周纲同学,在第21届国际中学生物理奥林匹克竞赛中夺得金牌,这是浙江省首块国际奥赛金牌;1998年茹立云同学,获省理科高考状元;2016年,校友陈建峰被评为中国工程院院士……
升学质量,多年以来始终保持省内领先。新高考中,一段率稳定在96%以上。近十年,考入北大清华人数达到107名,位居浙江省同类学校榜首。2018年,560名毕业生中,考入北大清华9人,浙江大学108人(全省第三),C9联盟高校录取人数近200人。

慈溪赫威斯育才高级中学
赫威斯育才高级中学是2016年2月由宁波赫威斯教育集团与慈溪育才中学原高中部“强强联合”的一所全日制民办普通高中。学校前身为改革开放以来慈溪市第一所民办学校——慈溪育才中学,于1998年5月由明星企业家沈宏邦先生独资创办。
学校占地面积8.8万平方米,建筑面积4万多平方米;校园环境优美,整体布局格调高雅,气势恢弘,是莘莘学子理想的学园。

近年来,学校的教育教学质量全面提升,高考实现连续性突破。2014年戚嘉文以高考727分的高考成绩(位列全省第186名)被复旦大学录取;陈露以720分的高考成绩被上海财经大学录取;胡华以716分的高考成绩被中国人民大学录取。2015年高考目标达成度为127%,一本上线率为43.5%;2016年高考目标达成度为124%,一本上线率为47%;2017年高考目标达成度为120%,其中参加高考人数416人,一段上线人数253人,一段上线率为60.8%;2018年目标达成度为112.73%,综合质量评估位居全市同类学校第一;2019年高考成绩发挥良好,综合质量评估位居全市同类学校前茅,一段上线率接近40%,大批同学被双一流大学(985、211院校)录取,同时艺术类考生也取得傲人成绩,多人考入全国重点大学。目前2020年各年段教学质量稳步前行,2020届高考发展态势良好,高考有望再次突破历史成绩。

慈溪横河中学
慈溪市横河中学创建于1956年,现在是浙江省二级特色示范普通高中。学校培养出的一批学生如王梦珍(中国美术学院)、房渝皓(中国美术学院)、*彤沈**(天津美术学院)、胡舒琦(天津美术学院)、胡舒雯(武汉纺织大学)、高婷婷(厦门大学)、毛叶涵(湖北美术学院)、徐闻泽(天津美术学院)、许雨婷(西安美术学院)等进入高水准、极具知名度的重点美院和重点大学美术类专业深造,另有近300名学生考入普通本科院校艺术类专业。这些学生当初的中考文化课成绩均在普高录取线以下,他们通过中考美术特长招生被横河中学录取,经过三年努力,圆梦横中!

适合的教育才是最好的教育——横河中学美术特色班之优势
1、政策扶持:慈溪市内唯一被教育局认可招收美术特色班的普通高中。学校正全力以“1122工程”建设为依托,争创宁波市美术特色普高。
2、特色发展:“人文为先、美术见长”是横河中学的办学特色。在培养美术生方面,学校经过多年的摸索,形成了校内基础强化学习和校外高水准专业指导相结合的教学模式;美术专业教学和文化水平提升两手抓两手硬的管理模式;专业发展和就业指导相融合的服务模式。在慈溪当地创造性地实现了与到杭州等外地参加美术培训等同的高水准。解决了独自在外参加培训的学生,文化课荒废的难题;更解决了部分学生自律性不强,独自在外行为习惯变差的难题;而且大大降低了学习费用。
3、弯道超车:学校已培养了300多名学生升入中国美术学院、南京艺术学院、天津美术学院、西安美术学院、湖北美术学院等重点美院以及双一流重点建设高校美术专业和普通本科院校艺术类专业深造。这些学生绝大多数中考文化课成绩在普高线以下,经过三年努力,实现了弯道超车考上理想的大学。

4、可保能冲:目前中考招生填报志愿分两批,即自主批和统招批。自主批是在中考分数出来之前填报而且只能填报一所学校,统招批是在中考分数出来之后填报。如想进横河中学美术特色班必须要在自主批次填报,否则视同放弃美术生资格。问题在于处在普高线分数上下的考生估分是相对不准的,这样取得美术生报考资格的学生就有了最大的优势。自主批报考横河中学美术班后,中考分数低了以美术班保底,中考分数高了,高于横河中学统招线可以选择进普通班,高于横河中学实验班分数线可以进实验班。当然学校建议有美术基础的考生仍然就读美术班,原因有二:①横中美术班本科率是其它班级的2倍。②高于普高线20分以上的考生在美术基础相对较好的情况下进入重点美院及其它重点类高校的机率大增。
5、多种选择:①非美术班的学生可在高一结束后在美术测试通过的前提下选择到美术班就读。②美术班学生可以选择日语来取代英语。

慈溪实验高级中学
慈溪实验高级中学是方益敏先生于2000年独资创办的一所现代化民办高中。学校占地105亩,建筑面积4.2万平方米。校园环境幽雅,设施齐全,学校管理和教育教学已实现数字化、信息化。学校现有36个教学班,1535名学生,129名专任教师,其中被聘为中高级职称的教师70人,有省特级教师2名、宁波市名师2名、县市级名师3名,省骨干教师1名、宁波市中青年骨干教师1名、县市级中青年骨干教师31名,省教坛新秀2名、宁波市教坛新秀10名、县市教坛新秀累计70名,基本形成了一支敬业爱岗、基础厚实、结构合理、充满活力的优秀教师队伍。数学、语文等五个教研组为慈溪市名牌学科组。

建校以来,十六届高考连续取得优异成绩,至今共培养毕业生8985人,其中两名同学被清华大学录取,一名同学被北京大学录取(自2003年实验高中首届高考以来,至今慈溪市唯有慈溪中学和实验高中有学生考入清华北大),850名同学进入985、211工程大学,先后有19名同学获全市高考文理科总分第一名(除慈中),其中3人为慈溪市高考状元。近几年来,实验班重点上线率近80%,达到了宁波市十大名校的水平,全校重点大学上线率超过50%,本科上线率超过90%,是全市同类学校中近六年唯一每年重点(一段)人数在200人以上的学校,教研室考核高考目标达成度始终名列前茅。

2018年高考一段上线308人,一段上线比例52%,其中一个实验班一段上线率达到93%,12名同学被浙江大学录取,80名同学进入211、985高校。在2019年浙江省选考科目考试中,三科总分300分(满分)3人,297分以上10人,294分以上22人,291分以上32人,270分(平均90分)以上173人,255分(平均85分)以上284人。单科满分88人次,97分以上220人次,94分以上415人次,91分以上达到581人次。
观城中学
观城中学是省二级重点中学、省二级普通高*特中**色示范学校。荣获宁波市文明校园,宁波市4*级A**等级平安校园,宁波市学生资助优秀工作单位。教师队伍是一支以中青年教师为主力,师德高尚、业务精湛的队伍,现有在编教职员工138人,其中高级教师39人,一级教师49人。我校张丽雅、裘慈跃老师获得浙江省春蚕奖;王羽群老师获得宁波市优秀教师称号;卢焕邓、蒋华龙、吕兰老师获得宁波市教坛新秀称号;还有慈溪市名师、慈溪市骨干教师二十余人。

我校2020级新生继续设创新实验班四班。
1、凡第一批自主填报我校并被我校录取的均编入创新实验班;
2、凡与我校自主约定的并在统招中被我校录取的均编入创新实验班。(签约时间一般在中考成绩发布后第二天)
逍林中学
逍林中学创办于1956年,浙江省二级重点中学。学校各项设施先进,环境优美,布局合理。除配套齐全的教育教学用房外,还建有400米标准塑胶运动场。学校现有28个教学班,具有中高级教师职称的有60余人,慈溪市和宁波市骨干教师,学科带头人,名教师共20人。

浒山中学
浒山中学落于慈溪市西部教育园区,是浙江省一级重点中学、浙江省文明单位、浙江省二级特色学校、浙江省绿色学校、浙江省体育特色学校、浙江省群众体育先进集体、浙江省第三届先进基层地理单位、宁波市环保模范单位、宁波市现代教育技术示范学校、宁波市园林式单位、宁波市园林绿化先进单位、宁波市行为规范示范学校、宁波市示范性文明学校、宁波市文明单位、宁波市先进志愿者报务站、宁波市德育工作先进单位、华师大三附中-浒山中学协作教育单位、金兰合作组织、慈溪中学-浒山中*联学**盟学校。


慈中书院

慈中书院成立于2008年6月12日,是浙江省首批一级重点中学, 慈中书院以引导师生“做最好的自己”为办学理念,秉持“培养面向未来,素质卓越的现代人”的办学宗旨,高起点,高标准打造“慈溪领先,浙东一流,省内著名”的品牌高中。慈中书院拥有一支以省特级教师为核心,学科骨干教师为班底,所组成的高素质师资队伍。

三山高级中学
慈溪市三山高级中学成立于2003年,作为全市最年轻的一所公立普高,整个
校园朝气速勃,充满活力,是莘萃学子实现梦想的理想学校。根据教研室的评价结果,我校己有的十二届高考成绩达成度或录取率有八次居全市公立普高第一,三次第二、一次第三,在市内裏得了良好的声誉。


龙山中学
慈溪市龙山中学是慈溪市市属普通高中。学校前身为镇海县第二初级中学、慈溪第一初级中学,创办于1952年,2016年搬入慈溪滨海开发区新校园,新校园基建投资1.6亿,占地120亩,建筑面积44012平米,按高标准要求设计施工,是目前慈溪市(除慈溪中学外)硬件设施最高端的学校。已建成物理、生物创新实验室2间,多媒体教室45间,音乐、美术、俄语、地理、生物、通用技术、电子控制技术、心理等学科教室 8间,有40个功能教室,有20个选修教室,有100米的健身长廊和5公里的水上赛道,为开发学生多元智能创造良好的条件。

教师以中年为主,经验丰富,实力雄厚,教师中有研究生学历的比例高,中高级比例达69%。学校2017年被评为浙江省二级特色示范高中和慈溪市美丽校园。学校依托地域和历史文化优势,与慈溪中*联学**盟,办学方向与国家“一带一路”建设方针接轨,开拓创新办学模式,与高校合作,走国际化道路,成立了“中东欧语言教学基地”,与乌克兰中央美院教学互通,与英国蒙特豪斯中学合作,面貌焕然一新。龙山中学是学生个性化发展的理想学校。
杨贤江中学
杨贤江中学,是浙江省一级重点中学,占地120亩,建筑面积3万多平方米,具有中级以上职称的教师55人。创建一流品牌学校,实践杨贤江 “全人生指导”的教育理念。

慈溪市杨贤江中学2020年拟继续招收“贤江班”。2020届初中毕业生,初三第一学期期末统测五科(语文、数学、英语、科学、社会)总分在560分及以上(有学科和体艺特长的可降至555分)的,如初中阶段品行良好、身心健康,高中有志于杨贤江中学就读,均可与我校约定:成功签约的考生,第一志愿填报杨贤江中学被录取,可编入“贤江班”。
周巷中学
周巷中学是慈溪市办学历史最悠久的一所普通高中,创办于1947年,迄今已有七十余年历史。在学校培养的3万余毕业生中,有一大批精英人物活跃社会各界,成为祖国的中流砥柱。如曾担任“神舟号”飞船副总设计师和副总指挥,中国“一箭三星”技术主要设计师的施金苗;曾任多国特命全权大使的徐建国;被国务院授予有突出贡献的中青年专家称号,享受国务院特殊津贴,国防大学教授、博士生导师,授予少将军衔的余高达;曾为马里,塞内加尔,毛里塔尼亚三国元首治病的医师劳文龙...

我校教师爱岗敬业,奉献进取,许多教师在省市各级教学比武或论文案例课题等评比中频频获奖,一支学科结构合理、年龄层次适中、整体素质优化的师资队伍已经形成。其中专任教师93人,高级教师26人,中级教师48人,中高级教师占专任教师比例达79.6%。有研究生课程班结业14人,硕士研究生毕业5人。目前,学校有慈溪市级以上教坛新秀、骨干教师30余人,语文、英语、历史、地理、生物、化学等教研组均为慈溪市名牌学科。
录取顺序(批次)
提前第一批:慈溪中学
注意:2020年招生中慈溪中学取消保送生,分配生比例为招生计划数的60%,各初中学校分配生名额按照以下公式进行分配
中考报名数(不含回原籍借考人数),拔尖数、优良数、合格数分别指学业水平考试成绩的前10%、前50%、前80%的人数。
市教育局中招办按符合推荐条件的考生学业水平考试总分(含附加分)及考生志愿从高分到低分顺序录取,当初中学校无学生达到慈溪中学最低分配控制线时,每所学校在最低分配控制线以下10分内按“分数优先”原则择优录取1人。若遇到并列分数也按第(三)条中规定的“考生总分相同时的录取顺序”进行录取。当分配生招生录取不足时,剩余名额计入慈溪中学第二次统招计划。
提前第二批:学前教育(五年制)
第一批:自主志愿招生。各普通高中自主志愿招生录取的人数不得超过招生计划数的50%。
第二批:平行志愿招生。各普通高中按招生计划,对第一批次录取后的余额进行第二批次录取。
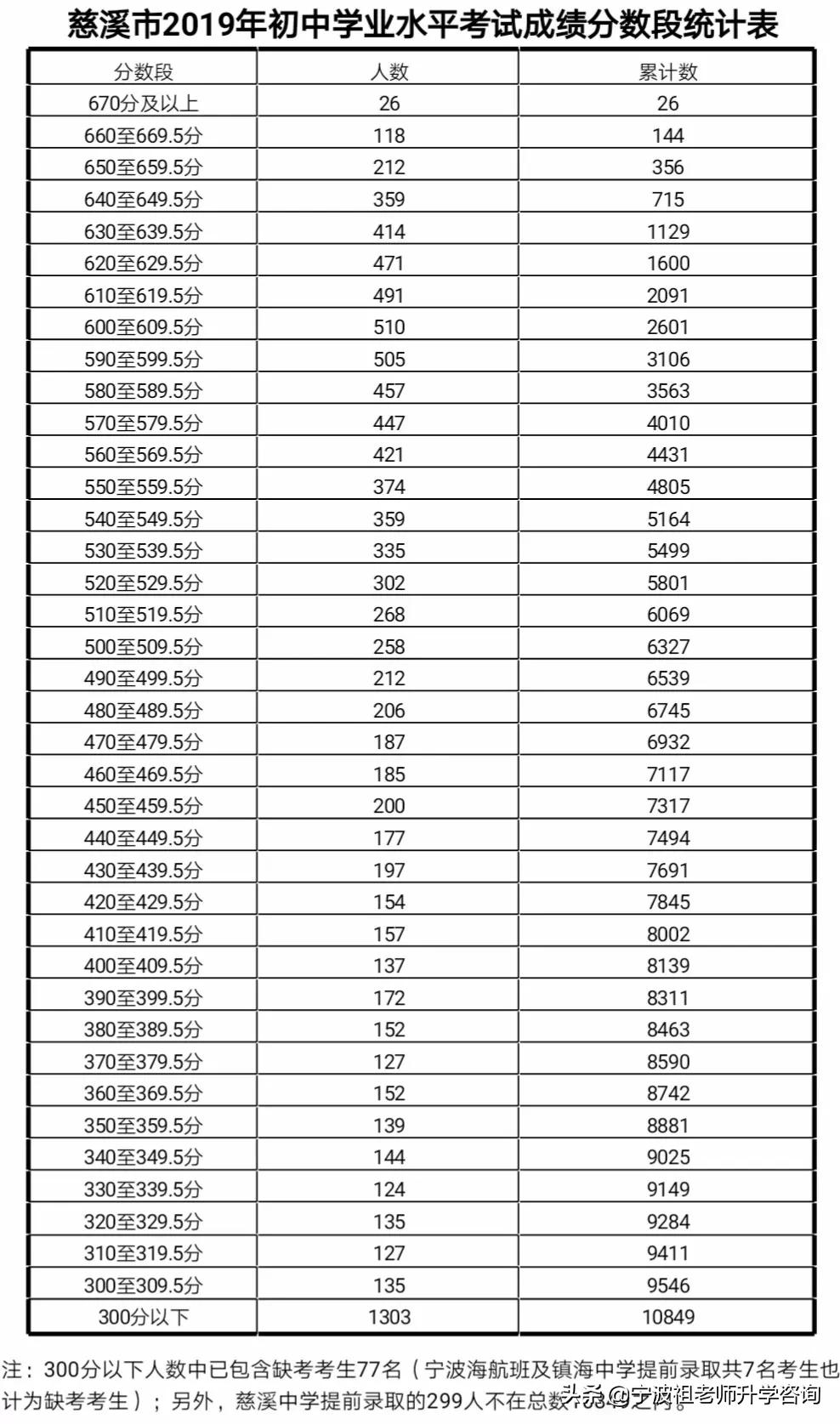
以下是去年2019年分数线供大家参考!
慈溪市2019年普通高中提前批次和第一批次录取分数线
一、慈溪中学统招生录取分数线:661.5
分配生最低控制分数线:635.5
二、普高投档控制线:536.5
三、第一批次公办普高录取分数线:
1.浒山中学628
2.龙山中学565
3.观城中学588.5
4.横河中学570.5
5.逍林中学584
6.杨贤江中学597.5
7.三山高中614
8.周巷中学563.5

慈溪市2019年普通高中第二批次(平行志愿)录取分数线公布
一、普高投档控制线:536.5
二、普通高中第二批次录取分数线:
1.浒山中学608.5
2.龙山中学536.5
3.观城中学574
4.横河中学545
5.逍林中学559.5
6.杨贤江中学587.5
7.三山高中598.5
8.周巷中学536.5
9.赫威斯育才高中598
10.实验高中616.5
11. 慈吉 中学536.5
12.慈中书院646
13.宁波科学中学626.5