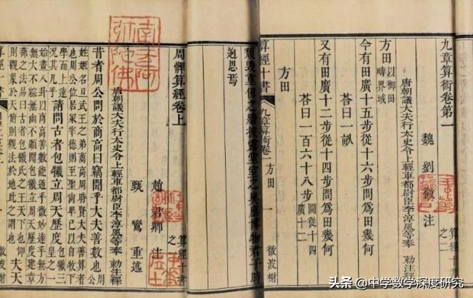
在汉到唐这一千多年间,出现了很多的算术书,取其中最有名的十本,合称为《算经十书》:《周髀算经》、《九章算术》、《海岛算经》、《张丘建算经》、《夏侯阳算经》、《五经算术》、《缉古算经》、《缀术》、《五曹算经》、《孙子算经》,其中最广为人知的是《九章算术》。

《九章算术》是中国古代第一部数学专著,是《算经十书》中最重要的一部,成于公元一世纪左右。其作者已不可考。一般认为它是经历代各家的增补修订,而逐渐成为现今定本的,西汉的张苍、耿寿昌曾经做过增补和整理,其时大体已成定本。最后成书最迟在东汉前期,现今流传的大多是在三国时期魏元帝景元四年(263年),刘徽为《九章》所作的注本。
《九章算术》内容十分丰富,全书总结了战国、秦、汉时期的数学成就。同时,《九章算术》在数学上还有其独到的成就,不仅最早提到分数问题,也首先记录了盈不足等问题,《方程》章还在世界数学史上首次阐述了负数及其加减运算法则。它是一本综合性的历史著作,是当时世界上最简练有效的应用数学,它的出现标志中国古代数学形成了完整的体系。

该著作中包含246个数学应用问题,分别属于方田、粟米、衰(cui)分、少广、商功、均输、盈不足、方程及句股这九章。
例如《九章算术》勾股章引葭(jiā)赴岸一题:
原文:"今有池方一丈,葭生其中央。出水一尺,引葭赴岸,适与岸齐。问水深、葭长各几何。"
翻译:现有一水池一丈见方,池中生有一棵初生的芦苇,露出水面一尺,如把它引向岸边,正好与岸边齐平,问水有多深,该芦苇有多长?
这一问题在世界数学史上很有影响。印度古代数学家婆什迦罗的《丽罗瓦提》一书中有按这一问题改编的"风动红莲";阿拉伯数学家阿尔•卡西的《算术之钥》也有类似的"池中长茅"问题;欧洲《十六世纪的算术》一书中又有"圆池芦苇"问题。它们比我国要晚几百上千年。
注释:(1)葭:读jia,一声,与"家"发音相同。初生的芦苇。(2)一丈等于十尺。
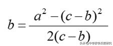
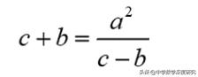
图示如下。葭尖D被引至岸边的点B处。在这个过程中,认为葭不弯曲,绕根部A整体转动。a为水中央C位到岸边的垂直距离,a=5(尺);AC=b,为水深;BA=DA=c,为葭长。DC=c-b,为葭露出水面部分的长度,c-b=1(尺)。显然,三角形ABC为直角三角形,c为斜边。

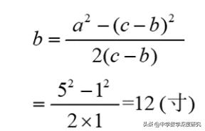
《九章》中求解的方法是:"半池方自乘,以出水一尺自乘,减之。余,倍出水除之,即得水深。加出水数,得葭长。"转化成公式,为

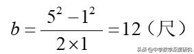
把相应的已知量直接代入上式,得

即水深为12尺。葭长也容易求出,为12尺加上1尺,等于13尺。在中国古代那个时候,人们想要找到一种最为直接的计算公式,这个公式由已知量给出,于是直接代入已知量便可求出未知量。
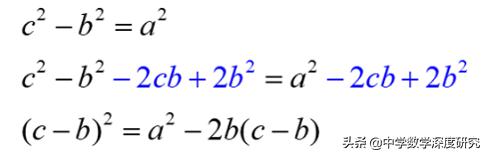
那么这个公式是如何得到的呢?我们知道,在一个直角三角形中,如果一直角边是已知的,斜边与另一直角边的差也是已知的,那么,这个直角三角形就是确定的。是确定的,我们自然可以求出斜边和未知直角边的长度。这个公式就是这个意思。
下面我们从勾股定理出发,导出上面的公式。
由上图,显然有:

我们要想办法让已知量c-b出现。若把上式左边利用平方差公式,是可以得到c-b,但同时也得到了c+b。c+b不是已知量,我们不想让它出现在最终的公式中。我们试着想办法得出(c-b)的平方。如下所示:

有了这个公式后,如果葭露出水面2尺,则可以求得水深b为(25-4)/4=5.25尺,葭长为7.25尺。

有了这个公式,还可以解决其他类似问题。《九章算术》也给出了类似的题目
''圆材埋壁","今有圆材埋在壁中,不知大小。以锯锯之,深一寸,锯刀长一尺。问径几何?"
图示如下。圆材是指圆柱形的木材或石材。下图是横截面图,它是一个圆。劣弧BDE代表露在外面的柱面,优弧BFE代表埋在墙内的柱面,我们看不到。原题所说的"深一寸"是指DC的长度;"锯道长一尺"(1尺等于10寸)是指BE的长度,它的一半正好就是BC,即直角三角形的直角边a,a=5(寸)。图中的b为横截面圆心到墙面的距离AC。图中的c为横截面圆的半径。

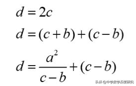
有了上面这些解说,我们于是可以应用上一题的那个公式求出b的长度。然后可以求出c。最后求出2c,即横截面圆的直径。

从而c = b + (c-b) = 12 + 1 = 13 (寸),直径 = 2c = 26 (寸)。
以上是直接应用第6题公式求解。这很好!但实际上《九章算术》中这个第9题的解法不是这样的。我下面给出介绍。《九章》中的解法是:"半锯道自乘,如深寸而一,以深寸增之,即材径。" 这个方法其实使用了我们现在所说的相交弦定理:圆内两条相交之弦互相分对方所成的两线段的乘积相等(通过相似三角形即可证明其正确性)。即,如果MN和PQ为两条弦,相交于点S,则MS · SN = PS · SQ。

具体到《九章》勾股章的第9题,如下图所示,有BC · CE = DC · CF,
即

所以,


那么,把c+b与c-b两段相加,正好就得到2c,即圆的直径。所以,若设直径为d,则有

这个公式就是《九章》勾股章第9题所采用的方法:"半锯道自乘,如深寸而一,以深寸增之,即材径。"
把已知条件a=5和c-b=1代入,得d = 25/1+1 = 26 (寸),与第一种方法的结果是一样的。
上面这个求直径的公式,是所谓的"弧矢公式"。一般来说,弧矢公式是这样的:有一弓形,已知其弦长为c(注意,与前面使用的c的意思不同,下面的b也不同),弧高为b(如下图所示),则弓形圆弧所在圆的直径d为

最后有两点思考:
(1)我曾在很多中国古代建筑中见到过柱子藏于墙体中,露出一部分柱面。因无法直接测量其直径而采取"以锯锯之"的方法,现在看来不太好。不管圆柱体是什么,"以锯锯之"终归对其产生了损坏,实不可取。其他测量方法其实很多,比如可以利用石膏制作一个凹形圆弧,它当然正好严丝合缝地扣到柱面上,然后我们测这段圆弧的直径即可。
(2)上述题中的圆材,我们一般认为是圆柱形的。但认为它是球形物体,也未尝不可。题目的解法对球一样适用,所求出的直径为球的直径。
"盈还是不足,这是个问题",小学时候的魔鬼应用题,其实早在千余年前就已经有系统的解法了。例如:今有共买鸡,人出九,盈十一;人出六,不足十六。问人数、鸡价各几何?答曰:九人,鸡价七十。
我们看看我国古代如何求解的:

今解法:设人数为x,鸡价y,则 y=9x-11,y=6x+16解得x=9 y=70.
古法2,比较好理解为消y的思维,用下式减上式得3x=27能求出人数,再代入求物价。
古法1,过程则有些复杂,但可以理解为我们消x的思维,与消y思维并用3x=27,6y=54x-66,9y=54x+144,相减得到3y=210,y=70.
由此看来,我们的先人在不知道设未知数的列方程的思想之前,也是能想到对应的方法求解问题,有时也不经佩服古人的思想,早在几百年,乃至千年前就能想出这些方法。同时随着时间的发展,我们对技术的革新,也对应产生出了很多新的工具和方法帮助我们解决问题,也是时代进步带给我们的好处。从无到有的过程才是最难的,我们可以学习借用前人留给我们的知识结晶,也会推动时代的发展。
而直到1675年,意大利的数学书还把这个方法叫做"中国算法"。在这本书中提到了直除法,这是世界上最早的完整的线性方程组的解法,本质上就是现在的矩阵初等变换。在这一章里面还出现了负数,而在外国,最早是在7世纪才有负数之说。

对完善《九章算术》体系作出巨大贡献的刘徽,是魏晋时期伟大的数学家,中国古典数学理论的奠基人之一。
他的数学成就大致分为两个方面:
一是整理古代数学体系并奠定其理论基础,这点主要体现在《九章算术注》中,包括了数系理论,面积与体积理论等。现代基础算术中的约分,还有十进制分数无限逼近无理根的想法,都是他的首创。
二是自己的创新,主要在割圆术求圆周率上。
极限的 lim 符号看起来首先由西方人使用,但是实际上早在古代中国,在求解问题的时候就已经有极限思想了。庄子所说的:"一尺之棰,日取其半,万世不竭"就已经存在极限表达"无穷小量"的思想了。
而极限思想在《九章算术》里面主要存在于"方田"这一章,也就是求面积和体积的问题。
刘徽在为《九章算术》作注的时候,首先指出之前的"周三径一"(也就是π=3)其实是圆的内接正六边形周长和直径之比,从而说明这个说法是非常粗疏的。而为了求到圆的面积公式(本质上就是求π),他开始不断地割圆。这就是我们平常说的"割圆术",也是非常经典的极限思想。他自己也说的:"割之弥细,所失弥少,割之又割,以至于不可割,则与圆合体,而无所失也。"

《九章算术》确定了中国古代数学的框架,以计算为中心的特点,密切联系实际,以解决人们生产、生活中的数学问题为目的的风格。其影响之深,以致以后中国数学著作大体采取两种形式:或为之作注,或仿其体例著书;甚至西算传入中国之后,人们著书立说时还常常把包括西算在内的数学知识纳入九章的框架。
《九章算术》的意义还远不止于它在中国数学史上的重要地位,更以一系列"世界之最"的成就,反映出我国古代数学在秦汉时期已经取得在全世界领先发展的地位。这种领先地位一直保持到公元十四世纪初。
其实,中国古代数学的辉煌成就和现代中国数学的缺少成就之间的问题,值得我们好好思考一下。也许是因为缺少公理化体系导致证明逻辑过弱的结果,也许是因为中国古典数学后继无人的结果,也许是因为现代的数学教育问题。但是不管怎么样,我们可以见到中国数学再度崛起。
如果说《几何原本》是西方数学史的鼻祖,引导着西方自然科学的发展,那与《几何原本》齐名的《九章算术》,自然就是东方自然科学的原点。