
根据定义,实数可以分为两大类:一类可以表示为分数,另一类则无法表示为分数。

为了尽量避免歧义,还是做个简要声明如下。

根据有理数的定义,我们可以证明有理数像自然数一样多,有无穷多个。但是即便数量如此之多,全部有理数可以塞进一个任意小的开区间内,也就是说全部有理数的大小是0。如果用一个容器把这些数字一个个的摆放进去,这个容器可以任意小。
我们给全部有理数排序,从1、2、3…开始一直排下去。这样我们可以把有理数点集写成下面这个样子。

接下来,我们计算这个有理数集的大小。
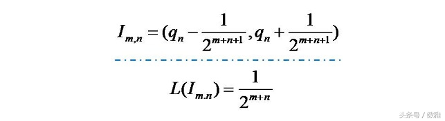
第一步:随意取一个自然数m,对Q中任意有理数qn,可以构造一个开区间,使得qn在这个开区间中。如下即为开区间构造,以及这个开区间的长度。

第二步:所有有理数的大小,小于所有这样的开区间的长度之和。以L(Q)表示Q的大小,即有下述关系:

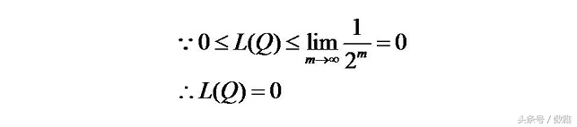
第三步:由于m是随意取值的自然数,当m趋于无穷大时,就可以得到L(Q)的值。

在Rudin编著的《数学分析》,或者国内学者编著的《实变函数》中,都曾经给出有理数的“数量”严格小于无理数“数量”的证明。其实,通过对有理数的大小求和,可以从另一个角度“发现”这个事实。
-
实轴的大小是无穷(也可以在某个长度不为0的区间内讨论),而有理数的大小是0;
-
实轴由有理数和无理数组成。
所以,无理数更多一些咯。。。最后这个不是严格证明,仅供娱乐!
