
高兴亚在北平陆军大学期间的留影
高兴亚是第三批国家著名抗日英烈,1898年出生在辽宁法库县柏家镇大六家子村一个世代从事中医的家庭,上个世纪20年代初,高兴亚弃医充军加入了奉军,1922年9月考入东三省陆军讲武堂第四期炮兵科。毕业后,先后出任东三省陆军第三军补充旅炮兵营上尉副官、陆军军士教导队炮兵连连长;1927年8月,奉军三、四方面军团部,选拔校级以上军官推举考试,当时够条件的报名者140余人,通过考试只遴选48人,高兴亚脱颖而出以优异的成绩考入北平陆军大学第八期正则班,为此,深得张学良的赏识。当时由张学良为校监督、韩麟春为校长的北平陆军大学是中国最高军事学府。
高兴亚在陆军大学毕业后,被分配到东北边防军司令长官公署军旅(处)任军职。

高兴亚的妻子和儿子高崇宪合影
九一八事变后,他参加了齐占久组建的辽宁救国军,被任命为旅长。先后转战于辽西,辽南、辽东、辽吉边,同日伪军大小战斗达数百次,可谓是身经百战,成为齐占久麾下的一位猛将,1934年4月7日,在辽东三角地带中奎寺战斗中壮烈殉国!

东三省陆军讲武堂高兴亚的毕业照
关于高兴亚的英雄事迹,在2015年之前,高兴亚的后代几乎不了解,只知道他早年参加了奉军,在北平一个军事大学读过书,1934年去世。而且对高兴亚最终的下落在坊间传说中出现多个版本……
一、高兴亚留给后代之谜
近日笔者采访了家住沈阳的高兴亚最小的孙子高伟东(锦州义勇军研究会研究员)了解到高氏家族对高兴亚所掌握的一些情况……

2015年10月,高伟东在丹东与李景科(左),宁晓丹(右)会面
高氏家族当年是本地的大户人家,世代从事中医,经常接济附近的求医者,在百姓中颇有威望,十里八村的人把高家称为“高家大院”。高兴亚在高家一爷公孙同辈中大排行老四,人称高四老爷。他自幼天资聪颖,并受到良好的教育,在法库县读书时品学兼优,并对文学情有独钟,在20年代初,他撰写的名胜古迹记叙文经常见诸于报端,为此,被誉为法库四大才子之一。

高伟东查到关于记载爷爷抗战事迹的珍贵史料
在采访中,高伟东拿出一张当年奶奶高张氏与父亲高崇宪的合影,对笔者说,大约1916年爷爷高兴亚与铁岭双井子乡张氏一个大户人家的姑娘结为*晋秦**之好,1918年1月,奶奶产下女儿高凤娟,由于爷爷经常转战南北,夫妻聚少离多,所以,直到1924年我父亲高崇宪才出生,从照片上看我父亲当时也就八九个月,遗憾的是,在父亲一两岁时,奶奶患重病医治无效,撇下一双儿女撒手人寰。
此后,高兴亚再未娶,1927年他到北平读书时,两个没娘的孩子或由家族亲人抚养,或带到了北平,住在西直门新街口的一个四合院,由他人照顾两个孩子日常生活和读书。
高伟东说,父亲生前曾对他说过,爷爷与高家的至亲最后一次见面大约在1929年左右。那是因为我太奶病故,爷爷领着我父亲和姑姑,坐着仿古小轿车,后面跟着马队,带着警卫员回到老家为太奶吊孝21天。临走前给家里留下不少东西,其中有一张一人高的他个人穿军装的单人照。
可能高兴亚也不曾想到,这竟是他与高家至亲最后的诀别!
祭祀结束后,高兴亚回到北平继续读书,毕业后,于1931 年 2 月 5 日回东北军就职,临走前也未告诉两个孩子,姐俩仍留在北平,由他人照看。从那以后,姐俩再也没有见过父亲。
大约1934年五六月间,突然有人给老家捎口信,让高兴亚胞兄高桂卿去北平将两个孩子接回去。高伟东说,当时我姑姑已16岁,父亲10岁,他们记得非常清楚:大爷到北平之后,只有一个军官接待他。军官说,你把两个孩子接回去吧。大爷问,我兄弟呢?军官回答,你兄弟死了。大爷又问怎么死的?军官回答不知道。大爷再问死在哪里了?军官一会儿说死在辽西,一会儿说死在唐山。大爷说,死要见尸我要看看我兄弟!那个军官以各种理由搪塞不让看。无奈之下,大爷只好把侄子和侄女接回老家。
从此,两个孩子由大爷及亲属抚养,供他们读书。
孩子是接回来了,但是关于高兴亚何故而死?却成为高氏家族的一块心病!当时说法有多个版本,有的说死在了辽西,有人说跑山海关躲起来了,还有人说,可能升大官了,不要家人了,甚至有人分析可能跑到台湾去了……

1933 年 11 月 11 日《申报》刊登:“辽宁救国军齐占久报告抗日经过”.
这几个传说最要命是“可能跑到台湾去了”的版本。高氏家族唯恐高兴亚留下那张照片给家族惹来祸端,索性付之一炬!由此,高家孙子辈谁也不知道高兴亚长得啥模样。
在高家看来高兴亚的死因是一个永远解不开的谜团!
二、一张照片打开了谜 团 的缺口
高崇宪从小就比其他的孩子懂事,长大后,成为一名国家干部,1950年加入了中国*产党共**,先后在法库县柏家沟乡、十间房乡、三面船乡任过乡长、副社长,及二区人民政府秘书、民政助理等职。正当他工作干的顺风顺水的时候,1962由于受极左路线影响,高崇宪被有关部门强行退职,直到1985年才落实政策。

1934年5月28日、《申报》报道:“中奎寺之肉搏”
当年高崇宪心想,自己之所以受到不公的待遇,除了因历史背景等诸多因素造成之外,父亲的死因未查清可能也是一个原因。所以,查清高兴亚的死因,是他一生最大的心愿。但直到2006年82岁去世,他也不知道父亲是一名抗日英雄。临终前,他对儿子高伟东说:“你爷爷的死因没有查清是我一生的遗憾,这个遗憾只有交给你去弥补了!今后你常到图书馆、书店翻翻老书,或许那里能记载你爷爷的事情……”
2015年机遇突然从天而降!
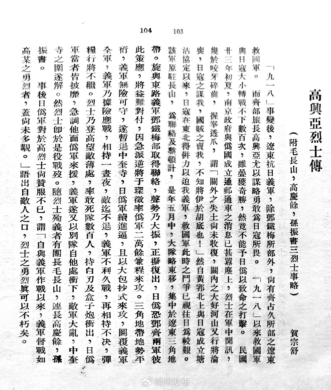
高伟东说,那年5月18日,东北陆军讲武堂旧址陈列馆举行开馆仪式,爷爷的外孙子戴玉斌和外曾孙子戴建东前往参加。二人在电脑版滚动展示上发现一张写有“高兴亚”名字的讲武堂的毕业照,随即拍照下来,转给了我……

1934年8月25日,《东北消息汇刊》创刊号报道:“辽宁救国军在中奎寺之战”
看到这张照片我又惊又喜。可能是血缘的关系,当时就认定这就是传说中我的爷爷!
照片是找到了,可照片上只标注高兴亚的年龄、籍贯和第四期炮兵科,其他一无所知,不过还是给高家带来一丝希望,毕竟知道了高兴亚长得啥模样和从东北讲武堂第四期炮兵科毕业的,高伟东决心顺着这条线索去追寻爷爷的足迹,完成父亲未竟的愿望!
高伟东开始找专家、查资料,到互联网上搜索……
一天,他在辽宁文明网上看到一则李景科、宁晓丹二人写的一条高兴亚旅长阵亡的消息。看到这一消息高伟东非常激动,因为这是他查到的第一份最有价值的线索!后经辽宁文明网发布记者宋长春的介绍,与丹东的两位作者接通了电话,他们根据高兴亚出生和与家人失联的时间,告诉高伟东那条消息就是他的爷爷高兴亚。这个振奋人心的消息,令高伟东彻夜未眠……接着,他迫不及待去了丹东,李景科和宁晓丹(丹东晚报记者)向他展示了他们掌握的有关高兴亚的原始资料,并当场对他进行了采访报道。
尽管李景科和宁晓丹掌握了部分史料,但还不足以反映高兴亚抗战事迹的全貌,因此,高伟东从2015年开始,一头扎进研究义勇军资料当中……
三、三十年代大量史料证实高兴亚是一位抗日民族英雄
高伟东在网上查阅30年代的老报纸,发现太多关于齐占久和高兴亚的抗战史料,有时网站数据库不准*载下**,他就不惜重金购买。期间,他挖掘到诸多十分有价值的史料:
1934年5月28日《申报》报道了“东北义军仍在苦斗中——辽宁中奎寺之肉搏”,比较全面地反映了高兴亚牺牲的经过;1934年8月25日,上海东北通讯社出版、由李杜将军题写刊名的《东北消息会刊》(创刊号),也报道了这则消息。
1935年12月,由*共中**主管大众书店印行出版的王亚主编《东北抗日烈士传》中,由贺宗舒撰写的“高兴亚烈士传”列在其中;1936年5月,由*共中**海外报刊——巴黎救国出版社将《东北抗日烈士传》再版。

巴黎救国出版社出版王亚主编的《东北抗日烈士传》刊登了贺宗舒撰写的“高兴亚烈士传”。
从以上这些弥足珍贵的史料中,使抗日民族英雄高兴亚在国难当头舍生忘死、视死如归、骁勇善战、文韬武略的英雄形象跃然纸上!
(一)舍弃小家 奋起抗日
九一八事变爆发,高兴亚目睹了日本侵略者在沈阳杀人放火的*行暴**,义愤填膺,毅然加入到早年在奉军任高职的爱国军官齐占久组建的辽宁救国军。
齐占久,1875年出生在辽宁义县,与李杜将军是同乡,在抗战中曾得到李杜多次资助。九一八事变后,已56岁的齐占久揭竿而起,组建了辽宁救国军。他对文武双全的高兴亚非常器重,任命为救国军旅长。
高兴亚参加救国军时,他的一双儿女仍在北平,按理说,他在出征前,应先把两个孩子送到老家由亲属照顾,可他一心想着驰骋沙场,杀倭救国,竟未考虑如何安排好孩子今后的生活,就杀向疆场,血战八方了。
(二)驰骋疆场 战功赫赫
辽宁救国军是东北抗日义勇军一支劲旅,1933年11月11日《申报》对“辽宁救国军齐占久报告抗日经过”进行了报道:“自九一八事变后率所部铁血男儿,作为现役军人,本捍卫边园之天职,联合辽省边防军、辽西、辽南各县民团及爱国志士,组织辽宁救国军,数共五万余人……苦战两年,初编成六师,分驻辽西、辽南各县山林中,相机活动。”当时,高兴亚所率的旅就达5000余人,在齐占久带领下,驰骋于辽西、辽南、辽东各个战场给日伪军以沉重的打击。
在每次战斗中,高兴亚都一马当先,冲锋在前,他的谋略和勇敢,连日寇听到他的名字都畏惧三分。在《东北抗日烈士传》中记载:九一八事变后,辽宁抗日义军,除邓铁梅所部外,尚有齐占久所部之救国军。而齐部旅长高兴亚尤以谋略勇敢为日寇所畏。
高兴亚不仅“谋略勇敢为日寇所畏”,而且忧国忧民,对祖国一片赤子之心!当他闻讯南京政府与伪满洲国成立通邮通车后,愤怒地说:“关外之失土尚未收复,关内之大好河山又行将沦丧,日寇之谋我,*贼国**之卖我,不知将伊于胡底也!”
1933年秋后青纱帐消失,救国军除了山林地区得以隐蔽固守之外,其他再无藏身之处。加之已苦苦奋战两年,部队没有任何接济,再继续与武装到牙齿的日军正面抵抗,成败难以预料,只能忍痛暂时放弃了血战收复的各地,退守到凤城县西长山峪、白家山一带,计划来年青纱帐起,向日军大举进攻……
次年3月,高兴亚、徐国樑、王惠民三个旅及毛长山团,最终因枪支*药弹**不足,供养严重缺乏,由驻地长山峪、白家山向东转移到辽东三角地带,并很快与邓铁梅部取得联络,随即声势大振,两军联合正拟复出……日军及伪军于芷山和于琛徴部两万余人前往围剿。
一场恶战已箭在弦上……
(三)中奎寺剧战 为国捐躯
是年4月1日,辽宁救国军与日伪军在中奎寺拉开战幕。
日伪军先在三角地带向我军进攻,酣战一昼夜,由于三角地带地势平坦,我军不占优势,只能退守到中奎寺。敌人紧追其后,企图一举将我全军覆没。我军与敌人奋战两昼夜,敌方仍未撤退之迹象,由于*药弹**粮草所剩无几,救国军无法再与敌人打持久战,唯一的办法就是杀出一条血路突围!
高兴亚登高眺望,找到了突破口,即刻率敢死队数百人,持*刀军**及盒子炮冲出阵地,我军看到敢死队屡屡挫败敌人的前锋,军威大振,随之全军前赴后继,与敌展开6昼夜的血拼肉搏,敌军阵脚大乱开始溃败,于第7天的早上撤退。此役,伪军死亡110余名。
高兴亚率领的敢死队打先锋杀出一条血路,迫使敌人撤退,使全军得以突围,但高兴亚、毛长山等将士147名均壮烈牺牲!
1934年5月28日《申报》报道:据日寇声称,自进占东北后,义勇军之军官督战若高某之勇烈者实不多见。亦足见我义勇将士,死后尤寒贼寇之胆也。
《东北抗日烈士传》记载:日伪军对于高烈士尚赞服不已,谓“自与义军作战以来,义军督战如高某之勇烈者,盖尚未多见。”语出自敌人之口,烈士之勇烈真可以不朽矣!
年仅36岁高兴亚把自己年轻的生命无私地奉献给了中华民族的解放事业!无数革命先烈为了光复东北那片黑土地而进行的一场场血腥战斗,注定要铭刻在每一个中国人的心中……
经过五年不懈地努力,高伟东终于将爷爷为抗战牺牲的事迹查清,2020年,他把爷爷的事迹上报到国家退役军人事务部。 9月3日,当高伟东得知国家退役军人事务部公布的第三批185名著名抗日英烈中高兴亚榜上有名时,热血沸腾、激动万分……
他立即来到父亲的坟前,眼含热泪告慰其在天之灵:“爸爸,您生前未竟的意愿,我已完成了——我爷爷是抗日民族英雄,已被国家列入著名抗日英烈了!您在九泉之下瞑目吧。”
撰文 | 张桂芝
编辑|侯树河