沈阳二手房不好卖,新房也不好卖了,现在的情况下你还会买房吗?
2021年金三银四,房产圈可以说是忙得不可开交;新建商品房售楼处的营销活动推陈出新、优惠力度逐渐加大,开盘现场人山人海,售楼处开放比比皆是;房产中介一天也挺忙,带客户满沈阳跑看房,朋友圈项目信息满天飞刷屏,一会定位在这一会定位在那!
售楼处订房合同不断,买房人着急忙虎啊地交钱,房东们不着急出售价高者得,房产中介数着丰厚的佣金提成!

表面上的交易的确火爆,但是真实情况究竟如何?没有三方的数据统计,没有亲身的经历,没有实际的工作接触,你怎么知道到底是炒作宣传还是真实情况呢?
这不,今天的一则微博引发了大家的热议,每个人也在从自身角度来理解这个资讯!

消息的发布者的是沈阳楼市的名人,微博粉丝人数也达到了近40万,在沈阳关注房产圈的基本都知道......

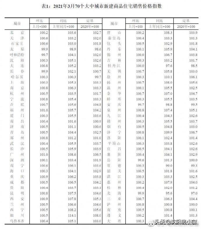
先说下数据统计,前几日发布了主要城市的新建商品房和二手房的价格指数!沈阳的表现都是略微上涨,而且其涨幅比率基本已经赶上“北上广深”;有网友就戏称,咱们大沈阳的发展终于在追赶“北上广深”的路上又近了一步!当然啦,这是个玩笑儿......

二手房为什么不好卖?
1、沈阳的二手房挂牌量名列前茅,基本维持在13万套左右,这个库存房源量都可以排进全国城市的挂牌二手房排行榜前十了,而反观经济实力表现却正好相反!
挂牌房源数量大,导致买家不着急,毕竟买这么大的资产肯定要货比三家;导致房东,不断地调整自家房源的底价,买个房子闹心吧啦,一方面得降价一方面还得想办法让自己房源在同小区的推介上靠前,那自然少不了需要给到房产中介的好处喽;
2、限售措施的影响,特别是去年发布的“沈八条”规定名下不满5年房子在交易时需要交纳大税,基本就是100万的房子,需要交纳6.3万元;而以前,只要房子满2年,只缴纳1万元就好了,直接导致投资客炒房客的退场,毕竟他们都是炒的变现快,时间周期短......

新房为什么不好卖?
1、新房的坑太多,特别是沈阳诸多楼盘项目交付发生各种质量问题,业主找记者上新闻,打消了一部分对于期房的购买欲望;
2、限购限售措施,挑不到合适的房源,特别是资金预算和需求品质出现差异的时候!

沈阳买房市场到底好不好?房子好不好卖?说说你的真实体会!
更多财经、房产故事,关注我,每日如期分享!