淮安的房价的涨跌
一直是买房人最为关心的话题之一
刚刚,淮安最新一批楼盘备案价出炉!
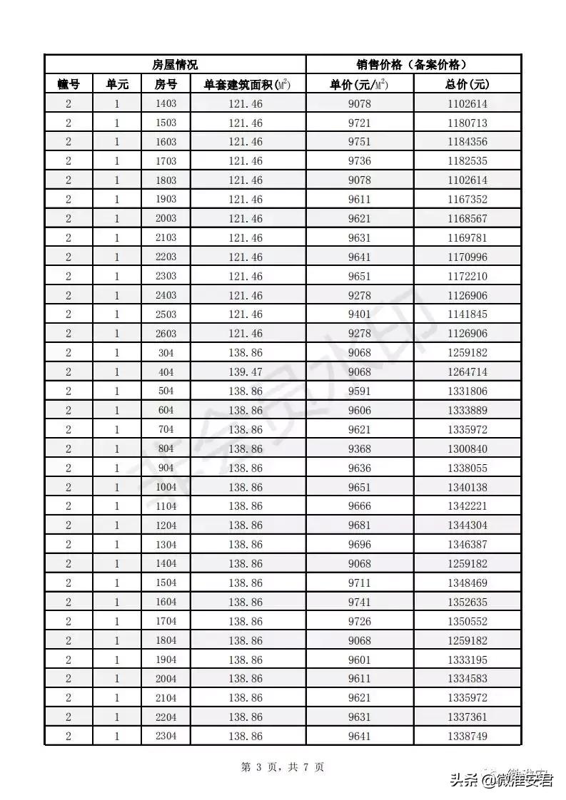
涉及楼盘11家,分别为:郦城国际11#楼、水沐和禧园1#、2#、3#楼、融侨悦城6、7#楼、红豆美墅公园里67#、68#楼、悦荣府13#楼、香溢茗园28#、29#、30#楼、宝龙仕家西苑3#、5#、6#楼、凯旋宫1#、10#楼、天生赢家二期1#、2#楼、金辉城清江府1#、2#楼、中环时代22#、23#房价备案公示!
其中有6家楼盘价格有所上涨!具体来看!

郦城国际11#楼一房一价表
均价:10100元/㎡
本次水渡口板块郦城国际推出11号楼毛坯高层产品,本次备案价相较此前同类产品上涨200元/㎡,毛坯均价破万创新高!




水沐和禧园1#、2#、3#楼一房一价表
均价:9507、10457元/㎡
位于延安路和石桥路交汇处的水沐和禧园项目本次也公示了1号楼精装洋房产品以及2、3号楼精装高层产品的价格,水沐·和禧园为首出备案价,精装洋房产品的价格同样也突破了万元大关!据了解该项目共222套住宅其中包含精装多层电梯洋房30套;高层精装华宅192套、精装公寓共计416套,4870多平米的商业配套。








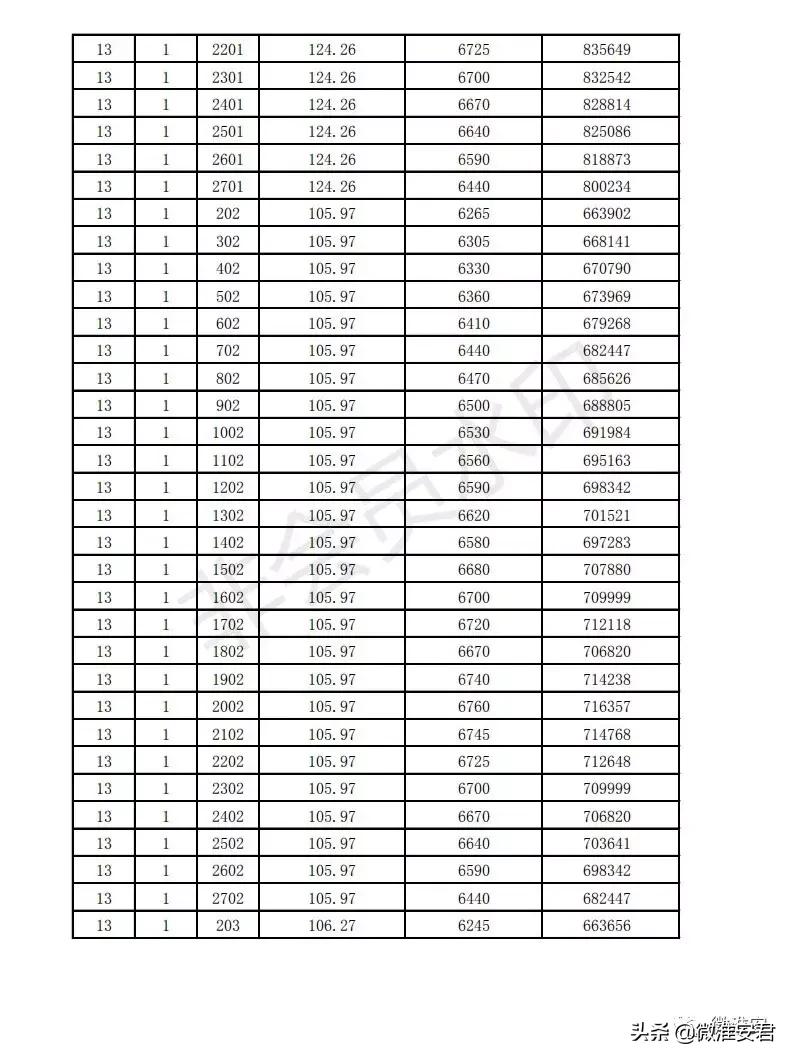
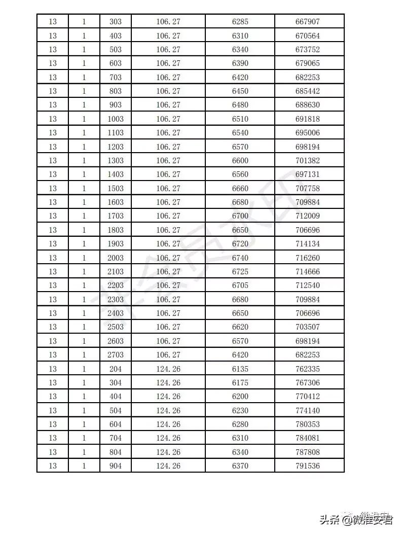
悦荣府13#楼一房一价表
均价:6527元/㎡
城南板块的悦荣府本次推出毛坯高层产品,相较前期同类产品价格上涨128元/㎡




融侨悦城6#、7#楼一房一价表
均价:7820、8060元/㎡










香溢茗园28#、29#、30#楼一房一价表
均价:6585元、6746元/㎡
本次香溢茗园推出9层、17层小高层产品,其中9层小高层产品价格相较此前上涨66元/㎡。







天生赢家二期1#、2#楼一房一价表
均价:6833元/㎡












仕家西苑3#、5#、6#楼一房一价表
均价:6710、6810元/㎡







凯旋宫1#、10#楼一房一价表
均价:7566、7376元/㎡





金辉城清江府1#、2#楼一房一价表
均价:6691元/㎡






中环时代22#、23#一房一价表
均价:6423元/㎡





红豆美墅公园里67#、68#楼一房一价表
均价:8119元/㎡



来源:微淮安公众号综合