凸模和凹模的刃口尺寸和公差,直接影响冲裁件的尺寸精度。模具的合理间隙值也靠凸、凹模刃口尺寸及其公差来保证。因此,正确确定凸、凹模刃口尺寸和公差,是冲裁模设计中的一项重要工作。
凹模刃口尺寸计算原则
由于凸、凹模之间存在着间隙,所以冲裁件断面都带有锥度。但在冲裁件尺寸的测量和使用中,则是以光亮带的尺寸为基准。
落料件的光亮带处于大端尺寸,其光亮带是因凹模刃口挤切材料产生的,且落料件的大端(光面)尺寸等于凹模尺寸。
冲孔件的光亮带处于小端尺寸,其光亮带是凸模刃口挤切材料产生的,且冲孔件的小端(光面)尺寸等于凸模尺寸。
冲裁过程中,凸、凹模要与冲裁零件或废料发生摩擦,凸模轮廓越磨越小,凹模轮廓越磨越大,结果使间隙越用越大。因此,确定凸、凹模刃口尺寸应区分落料和冲孔工序,并遵循如下原则:
1.设计落料模先确定凹模刃口尺寸。以凹模为基准,间隙取在凸模上,即冲裁间隙通过减小凸模刃口尺寸来取得。设计冲孔模先确定凸模刃口尺寸。以凸模为基准,间隙取在凹模上,冲裁间隙通过增大凹模刃口尺寸来取得。 2.根据冲模在使用过程中的磨损规律,设计落料模时,凹模基本尺寸应取接近或等于工件的最小极限尺寸;设计冲孔模时,凸模基本尺寸则取接近或等于工件孔的最大极限尺寸。这样,凸、凹在磨损到一定程度时,仍能冲出合格的零件。 模具磨损预留量与工件制造精度有关。用x、Δ表示,其中Δ为工件的公差值,x为磨损系数, 其值在0.5~1之间,根据工件制造精度进行选取: 工件精度IT10以上 X=1 工件精度IT11~IT13 X=0.75 工件精度IT14 X=0.5 3.不管落料还是冲孔,冲裁间隙一般选用最小合理间隙值(Zmin)。 4.选择模具刃口制造公差时,要考虑工件精度与模具精度的关系,即要保证工件的精度要求,又要保证有合理的间隙值。一般冲模精度较工件精度高2~4级。对于形状简单的圆形、方形刃口,其制造偏差值可按IT6~IT7级来选取;对于形状复杂的刃口制造偏差可按工件相应部位公差值的1/4来选取;对于刃口尺寸磨损后无变化的制造偏差值可取工件相应部位公差值的1/8并冠以(±)。 5.工件尺寸公差与冲模刃口尺寸的制造偏差原则上都应按“入体”原则标注为单向公差,所谓“入体”原则是指标注工件尺寸公差时应向材料实体方向单向标注。但对于磨损后无变化的尺寸,一般标注双向偏差。
凹模刃口尺寸计算方法
由于冲模加工方法不同,刃口尺寸的计算方法也不同,基本上可分为两类。
1.按凸模与凹模图样分别加工法
这种方法主要适用于圆形或简单规则形状的工件,因冲裁此类工件的凸、凹模制造相对简单,精度容易保证,所以采用分别加工,设计时,需在图纸上分别标注凸模和凹模刃口尺寸及制造公差。 冲模刃口与工件尺寸及公差分布情况如图2.4.1所示。其计算公式如下:

图2.4.1 冲模刃口与工件尺寸及公差分布
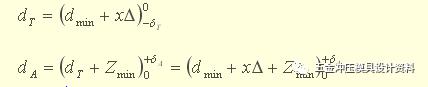
(1)落料 设工件的尺寸为D-Δ ,根据计算原则,落料时以凹模为设计基准。首先确定凹模尺寸,使凹模的基本尺寸接近或等于工件轮廓的最小极限尺寸;将凹模尺寸减小最小合理间隙值即得到凸模尺寸。

(2)冲孔 设冲孔尺寸为d+Δ ,根据计算原则,冲孔时以凸模为设计基准。首先确定凸模尺寸,使凸模的基本尺寸接近或等于工件孔的最大极限尺寸;将凸模尺寸增大最小合理间隙值即得到凸模尺寸。

(3)孔心距孔心距属于磨损后基本不变的尺寸。 在同一工步中,在工件上冲出孔距为 L± 两个孔时,,其凹模型孔中心距 可按下式确定。


由上可见,凸、凹模分别加工法的优点是,凸、凹模具有互换性,制造周期短,便于成批制造。其缺点是,为了保证初始间隙在合理范围内,需要采用较小的凸、凹模具制造公差才能满足 + ≤ 的要求,所以模具制造成本相对较高。 例2.4.1 冲制图2.4.2所示零件,材料为Q235钢,料厚t=0.5mm。计算冲裁凸、凹模刃口尺寸及公差。 解:由图可知,该零件属于无特殊要求的一般冲孔、落料。

图2.4.2 零件图


2.凸模与凹模配作法
采用凸、凹模分开加工法时,为了保证凸、凹模间一定的间隙值,必须严格限制冲模制造公差,因此,造成冲模制造困难。对于冲制薄材料(因Zmax与Zmin的差值很小)的冲模,或冲制复杂形状工件的冲模,或单件生产的冲模,常常采用凸模与凹模配作的加工方法。 配作法就是先按设计尺寸制出一个基准件(凸模或凹模),然后根据基准件的实际尺寸再按最小合理间隙配制另一件。这种加工方法的特点是模具的间隙由配制保证,工艺比较简单,不必校核 + ≤ 的条件,并且还可放大基准件的制造公差,使制造容易。设计时,基准件的刃口尺寸及制造公差应详细标注,而配作件上只标注公称尺寸,不注公差,但在图纸上注明:“凸(凹)模刃口按凹(凸)模实际刃口尺寸配制,保证最小双面合理间隙值Zmin”。 采用配作法,计算凸模或凹模刃口尺寸,首先是根据凸模或凹模磨损后轮廓变化情况,正确判断出模具刃口各个尺寸在磨损过程中是变大,变小还是不变这三种情况,然后分别按不同的公式计算。 (1)凸模或凹模磨损后会增大的尺寸——第一类尺寸A 落料凹模或冲孔凸模磨损后将会增大的尺寸,相当于简单形状的落料凹模尺寸,所以它的基本尺寸及制造公差的确定方法与公式(2.4.1)相同
第一类尺寸:

(2)凸模或凹模磨损后会减小的尺寸——第二类尺寸B冲孔凸模或落料凹模磨损后将会减小的尺寸,相当于简单形状的冲孔凸模尺寸,所以它的基本尺寸及制造公差的确定方法与公式(2.4.3)相同。
第二类尺寸:

(3)凸模或凹模磨损后会基本不变的尺寸——第三类尺寸C 凸模或凹模在磨损后基本不变的尺寸,不必考虑磨损的影响,相当于简单形状的空心距尺寸,所以它的基本尺寸及制造公差的确定方法与公式(2.4.5)计算。
第三类尺寸:

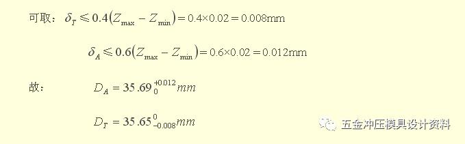
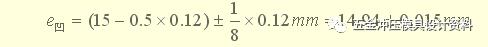
号钢。试计算冲裁件的凸模、凹模刃口尺寸及制造公差。 解:该冲裁件属落料件,选凹模为设计基准件,只需要计算落料凹模刃口尺寸及制造公差,凸模刃口尺寸由凹模实际尺寸按间隙要求配作。 由表2.3.3查得: 。由公差表查得工件各尺寸的公差等级,然后确定X,对于尺寸80mm,选x = 0.5;尺寸15 mm,选x = 1;其余尺寸均选x = 0.75。 落料凹模的基本尺寸计算如下:

图2.4.3 落料件
第三类尺寸:磨损后基本不变的尺寸

落料凸模的基本尺寸与凹模相同,分别是79.79mm,39.75mm,34.75mm,22.07mm,14.94mm,不必标注公差,但要在技术条件中注明:凸模实际刃口尺寸与落料凹模配制,保证最小双面合理间隙值 。落料凹模、凸模的尺寸如图2.4.4。
