
紧固件成型工艺中,冷镦(挤)技术是一种主要加工工艺。冷镦(挤)属于金属压力加工范畴。在生产中,在常温状态下,对金属施加外力,使金属在预定的模具内成形,这种方法通常叫冷镦。今天我们来全面了解一下紧固件冷镦成型工艺。
任何紧固件的成形,不单是冷镦一种变形方式能实现的,它在冷镦过程中,除了镦粗变形外,还伴随有正、反挤压、复合挤压、冲切、辗压等多种变形方式。
因此,生产中对冷镦的叫法,只是一种习惯性叫法,更确切地说,应该叫做冷镦(挤)。
冷镦(挤)的优点很多,它适用于紧固件的大批量生产。它的主要优点概括为以下几个方面:
a.钢材利用率高。冷镦(挤)是一种少、无切削加工方法,如加工杆类的六角头螺栓、圆柱头内六角螺钉,采用切削加工方法,钢材利用率仅在25%~35%,而用冷镦(挤)方法,它的利用率可高达85%~95%,仅是料头、料尾及切六角头边的一些工艺消耗。
b.生产率高。与通用的切削加工相比,冷镦(挤)成型效率要高出几十倍以上。
c.机械性能好。冷镦(挤)方法加工的零件,由于金属纤维未被切断,因此强度要比切削加工的优越得多。
d.适于自动化生产。适宜冷镦(挤)方法生产的紧固件(也含一部分异形件),基本属于对称性零件,适合采用高速自动冷镦机生产,也是大批量生产的主要方法。
总之,冷镦(挤)方法加工紧固件、异形件是一种综合经济效益相当高的加工方法,是紧固件行业中普遍采用的加工方法,也是一种在国内、外广为利用、很有发展的先进加工方法。
因此,如何充分利用、提高金属的塑性、掌握金属塑性变形的机理、研制出科学合理的紧固件冷镦(挤)加工工艺,是研究的目的和宗旨所在。
一、金属变形的基本概念
变 形
变形是指金属受力(外力、内力)时,在保持自己完整性的条件下,组成本身的细小微粒的相对位移的总和。
1 变形的种类
a.弹性变形
金属受外力作用发生了变形,当外力去掉后,恢复原来形状和尺寸的能力,这种变形称为弹性变形。
弹性的好坏是通过弹性极限、比例极限来衡量的。
b.塑性变形
金属在外力作用下,产生永久变形(指去掉外力后不能恢复原状的变形),但金属本身的完整性又不会被破坏的变形,称为塑性变形。
塑性的好坏通过伸长率、断面收缩率、屈服极限来表示。
2 塑性的评定方法
塑性的好坏通过伸长率、断面收缩率、屈服极限来表示。
为了评定金属塑性的好坏,常用一种数值上的指标,称为塑性指标。
塑性指标是以钢材试样开始破坏瞬间的塑性变形量来表示,生产实际中,通常用以下几种方法:
(1)拉伸试验
拉伸试验用伸长率δ和断面收缩率ψ来表示。表示钢材试样在单向拉伸时的塑性变形能力,是金属材料标准中常用的塑性指标。δ和ψ的数值由以下公式确定:

式中:L0、Lk——拉伸试样原始标距、破坏后标距的长度。
F0、Fk——拉伸试样原始、破断处的截面积。
(2)镦粗试验又称压扁试验
它是将试样制成高度Ho为试样原始直径Do的1.5倍的圆柱形,然后在压力机上进行压扁,直到试样表面出现第1条肉眼可观察到的裂纹为止,这时的压缩程度εc为塑性指标。其数值按下式可计算出:

式中Ho——圆柱形试样的原始高度。Hk——试样在压扁中,在侧表面出现第1条肉眼可见裂纹时的试样高度。
扭转试验是以试样在扭断机上扭断时的扭转角或扭转圈数来表示的。生产中最常用的是拉伸试验和镦粗试验。
不管哪种试验方法,都是相对于某种特定的受力状态和变形条件的。
由此所得出的塑性指标,只是相对比较而言,仅说明某种金属在什么样的变形条件下塑性的好坏。
3 影响金属塑性及变形抗力主要因素
金属的塑性及变形抗力的概念:金属的塑性可理解为在外力作用下,金属能稳定地改变自己的形状而质点间的联系又不被破坏的能力。并将金属在变形时反作用于施加外力的工模具的力称为变形抗力。
影响金属塑性及变形抗力的主要因素包括以下几个方面:
a.金属组织及化学成分对塑性及变形抗力的影响
金属组织决定于组成金属的化学成分,其主要元素的晶格类别,杂质的性质、数量及分布情况。组成元素越少,塑性越好。
例如纯铁具有很高的塑性。
碳在铁中呈固熔体也具有很好的塑性,而呈化合物,则塑性就降低。
如化合物Fe3C实际上是很脆的。一般在钢中其他元素成分的增加也会降低钢的塑性。
钢中随含碳量的增加,则钢的抗力指标(бb、бp、бs等)均增高,而塑性指标(ε、ψ等)均降低。在冷变形时,钢中含碳量每增加0.1%,其强度极限бs大约增加6~8kg/mm2。
硫在钢中以硫化铁、硫化锰存在。硫化铁具有脆性,硫化锰在压力加工过程中变成丝状得到拉长,因而使在与纤维垂直的横向上的机械指数降低。所以硫在钢中是有害的杂质,含量愈少愈好。
磷在钢中使变形抗力提高,塑性降低。含磷高于0.1%~0.2%的钢具有冷脆性。一般钢的含磷量控制在百分之零点零几。其他如低熔点杂质在金属基体的分布状态对塑性有很大影响。
总之,钢中的化学成分愈复杂,含量愈多,则对钢的抗力及塑性的影响也就愈大。这正说明某些高合金钢难于进行冷镦(压)加工的原因。
b.变形速度对塑性及变形抗力的影响
变形速度是单位时间内的相对位移体积:

不应将变形速度与变形工具的运动速度混为一谈,也应将变形速度与变形体中质点的移动速度在概念上区别开来。
一般说来,随着变形速度增加,变形抗力增加,塑性降低。
冷变形时,变形速度的影响不如热变形时显著,这是由于无硬化消除的过程。
但当变形速度特别大时,塑性变形产生的热(即热效应)不得失散本身温度升高会提高塑性、减少变形抗力。
c.应力状态对塑性及变形抗力的影响
在外力作用下,金属内部产生内力,其单位面积之强度称之为应力。受力金属处于应力状态下。
从变形体内分离出一个微小基元正方体,在所取的正方体上,作用有未知大小但已知方向的应力,把这种表示点上主应力个数及其符号的简图叫主应力图。
表示金属受力状态的主应力图共有九种,其中四个为三向主应力图,三个为平面主应力图,两个为单向主应力图,如图36-1所示。

主应力由拉应力引起的为正号,主应力由压应力引起的为负号。
在金属压力加工中,最常遇到的是同号及异号的三向主应力图。在异号三向主应力图中,又以具有两个压应力和一个拉应力的主应力图为最普遍。
同号的三向压应力图中,各方向的压应力均相等时(б1=б2=б3),并且,金属内部没有疏松及其它缺陷的条件下,理论上是不可产生塑性变形的,只有弹性变形产生。
不等的三向压应力图包括的变形工艺有:体积模锻、镦粗、闭式冲孔、正反挤压、板材及型材轧制等。
在生产实际中很少迂到三向拉伸应力图,仅在拉伸试验中,当产生缩颈时,在缩颈处的应力线,是三向拉伸的主应力图,如图36-2所示。
在镦粗时,由于摩擦的作用,也呈现出三向压应力图,如图36-3所示。
总之,受力金属的应力状态中,压应力有利于塑性的增加,拉应力将降低金属的塑性。

在镦粗时,由于摩擦的作用,也呈现出三向压应力图,如图36-3所示。
总之,受力金属的应力状态中,压应力有利于塑性的增加,拉应力将降低金属的塑性。
d.冷变形硬化对金属塑性及变形抗力的影响
金属经过冷塑性变形,引起金属的机械性能、物理性能及化学性能的改变。
随着变形程度的增加,所有的强度指标(弹性极限、比例极限、流动极限及强度极限)都有所提高,硬度亦有所提高;塑性指标(伸长率、断面收缩率及冲击韧性)则有所降低;电阻增加;抗腐蚀性及导热性能降低,并改变了金属的磁性等等,在塑性变形中,金属的这些性质变化的总和称作冷变形硬化,简称硬化。
e.附加应力及残余应力的影响
在变形金属中应力分布是不均匀的,在应力分布较多的地方希望获得较大的变形,在应力分布较少的地方希望获得较小的变形。
由于承受变形金属本身的完整性,就在其内部产生相互平衡的内力,即所谓附加应力。当变形终止后,这些彼此平衡的应力便存在变形体内部,构成残余应力,影响以后变形工序中变形金属的塑性和变形抗力。
4 提高金属塑性及降低变形抗力的措施
针对影响金属塑性及变形抗力的主要因素,结合生产实际,采取有效的工艺措施,是完全可以提高金属塑性及降低其变形抗力的,生产中,常采取的工艺措施有:
a.坯料状况
冷镦用原材料,除了要求化学成份、组织均匀,不要有金属夹杂等以外,一般要对原材料进行软化退火处理,目的在于消除金属轧制时残留在金属内部的残余应力,使组织均匀,降低硬度,要求冷镦前金属的硬度HRB≤80。
对中碳钢,合金钢一般采取球化退火,目的是除消除应力、使组织均匀外,还可改善金属的冷变形塑性。
b.提高模具光滑度及改善金属表面润滑条件
这两项措施都是为了降低变形体与模具工作表面的摩擦力,尽可能降低变形中由于摩擦而产生的拉应力。
c.选择合适的变形规范
在冷镦(挤)工艺中,一次就镦击成形的产品很少,一般都要经过两次及两次以上的镦击。
因此必须做到每次变形量的合理分配,这不仅有利于充分利用金属的冷变形塑性,也有利于金属的成形。
如生产中采用冷镦、冷挤复合成形、螺栓的两次缩径、螺母的大料小变形等。
金属塑性变形的基本规律
1 最小阻力定律
金属在变形中,变形体的质点有向各方向移动的可能,变形体质点的移动是沿其最小阻力方向移动,称为最小阻力定律。
在六角头螺栓多工位冷镦中,第二工位精镦时,金属向上、下模开口处流动并形成飞边是最小阻力定律起作用的体现。
图36-4表明坯件在模具中镦锻时,它在充满上、下模腔的同时还向上、下模构成的间隙向四周流,只有当往飞边流动的阻力大于在模腔其它部分的阻力时,金属充满模腔才有可能。
在上模向下运动中,飞边上金属流动阻力随飞边厚度的减小而增加,这时才能保证最后充满上、下模腔。

2 体积不变定律
金属塑性变形中,其密度改变极为微小,可以忽略。塑性变形的物体之体积保持不变,金属坯件在塑性变形以前的体积等于变形后的体积。
体积不变定律是根据产品形状尺寸、计算出体积,据此再确定所需坯件的具体尺寸。
最小阻力定律则是金属变形次数如何确定,每次变形量如何分配、工模具结构形状确定的设计最主要的依据。
3 变形中影响金属流动的主要因素
a.摩擦的影响
在变形中模具和坯件间的接触面上不可避免的有摩擦力存在,由于摩擦力的作用,改变了金属流动的特征。
如图36-5所示,在平板间镦粗矩形坏料时,由于摩擦力的作用,使各向阻力不同,变形中,断面不能继续保持矩形。
按最小阻力定律,它会逐渐趋于圆形。若无摩擦力作用,则坯件处于理想的均匀变形状态,变形前后在几何形状上仍然相似。

当无摩擦时,环形件在高度上被压缩,根据体积不变条件,不论是外层还是内层,金属的直径都有所增加,即所有金属都沿径向辐射状向外流动。由于有摩擦的存在,流动受到阻碍。
越接近内层金属向外流动的阻力越大,比向内流动时还要大,因而改变了流动的方向,如图所示,在环形件中出现了流动的分界面(dN)。
b.工模具形状的影响
由于工模具形状不同,所施加给坯件的作用力,以及模具与坯件接触的摩擦力也不一样,引致金属在各方向流动阻力的差异,从而金属在各方向流动体积的分配也有所差异。
c.金属本身性质不均的影响
金属本身的性质不均,反映出金属成份的不均、组织不均、以及在变形中内部温度的不均等。
这些性质的不均匀性,在金属内部出现互相平衡的附加应力,由于内力的存在,使金属在各自流动的阻力有所差异,变形首先发生在阻力最小的部分。
二、金属冷镦(挤)工艺
冷镦(挤)工艺基本概念
1 冷镦、冷压
在室温状态下,将坯料置于自动冷镦机或压力机的模具中,对模具施加压力,利用上、下模的相对运动,使坯件在模腔里变形,高度缩小,横截面增加,这样的压力加工方法,对自动冷镦机而言叫冷镦,对压力机而言叫冷压。
实际生产中,紧固件冷成型工艺,在冷镦的过程中,常常伴随有挤压的方式。因此,单就紧固件产品的冷镦工艺,实际是既有冷镦,也有挤压的一种复合工艺的加工方法。
2 冷镦(挤)的变形方式
a.冲裁 使坯件的一部分与主体分割开。如线材的切断、螺母的冲孔、六角头螺栓的头部切边等。
b.镦粗 使坯件高度缩短、横截面增加的加工方法,如螺母的镦球、螺栓头部成型的预镦、精镦等。
c.正挤压 坯件在冷镦压中,坯件在下模中变形时,金属的流动方向与上模的运动方向一致。冷镦螺栓、圆柱头内六角螺钉中的粗杆缩径就是一种正挤压。
d.反挤压 坯件在变形中,金属的流动方向与上模的运动方向相反。圆柱头内六角螺钉头部成形就属反挤压。
e.复合挤压坯件在变形中金属的流动方向一部分与上模的运动方向相同,一部分又相反。
即变形中既存在正挤压,也存在反挤压。如圆柱头内六角螺钉在同一工位变形中既有杆部缩径(正挤压)又有头部成型(反挤压)。
3 冷镦(挤)变形程度
a.变形程度
是指坯料被镦锻部分长度在镦锻终了的压缩量与原始高度的比值,或者坯料截面积在镦锻终了截面积的增加量与原始横截面的比值。
b.变形程度的表示方法
第一种方法用镦锻比(S),如图36-7所示。


式中:h0——被镦锻部分的原始高度
d0——被镦锻部分的原始直径
镦锻比可以确定镦锻的难易,镦锻比愈小,变形量愈小,变形更容易。镦锻比愈大,变形愈难,金属纤维流动不规则,有的纤维被折曲,形成纵向弯曲现象。如图36-8所示。

第二种方法用镦锻率(ε)
即:

式中 ho、Fo——镦锻前头部材料的原始高度、横截面积
h、F——镦锻后工件的高度、横截面积
c.许用变形程度
当冷镦变形程度超过金属本身的变形限度时,变形的工件侧面会出现裂纹,而造成不良品,其模具使用强度也会受到影响,降低使用寿命,严重时可使模具开裂而损坏。
金属的许用变形程度与金属本身的塑性有关,塑性好的金属,许用变形程度要高于塑性较差的金属。碳钢含碳量愈高,它的塑性愈低,许用变形程度也会愈小。
在生产中,对于塑性较差的金属,如中碳钢、合金钢的冷镦常采取对钢材进行退火软化处理、增加模具的强韧性、金属表面润滑等,目的就在于使金属的许用变形程度得到提高。
表36-1列出了部分钢材的许用变形程度

4 镦 锻 次数的确定
产品在冷镦中,通常都要经过两次以上的镦锻才能成型。镦锻次数确定合理,将充分利用金属的许用变形程度,提高模具的使用寿命,保证产品的质量。确定镦锻次数,考虑下列因素:
a.镦锻比
即坯料需要变形部分的长度与直径的比,比值过大,一次镦锻就会出现纵弯现象,压扁后,会出现夹层,如图36-9所示。要避免镦锻中出现这些缺陷,必须增加镦锻次数。
即首先将坯料预镦成锥形,之后再精镦,直至达到需要形状。

一般按下列数据来决定镦锻次数:

b.考虑工件头部直径D与高度H的比值。
如图36-10所示,是头部直径较大、高度较小的大直径薄扁头细杆零件,所需坯料h0/d0在2以上大头细杆零件,若采用一次镦锻成形,就会在头部边缘处产生裂纹。类似的工件,只有增加镦锻次数,采用逐步成形的方法。
c.考虑工件的表面粗糙度要求及外部几何形状的复杂程度
如半圆头、圆柱头等形状的机螺钉,虽然头部所需坯料的ho/do值一般都小于2.5,但为了头部在变形中能充满,达到标准要求,一般都采用两次镦击。预镦锥形头部为精镦头部成形创造良好的金属流动条件。
又如用大直径小变形的线材镦制螺母,采用线材直径为0.9s(s为六角螺母对边尺寸),一般产品的变形程度为25%左右,但由于六角螺母形状比较复杂,镦制中变形方式较多,它既有冷镦又有复合挤压和冲孔,为了有利于变形中金属流动,因此选用3~4次镦击成形。

图 36-10
值得强调的,不是对所有形状比较复杂的产品都靠增加镦锻次数来解决。往往有的产品,镦锻次数增加了,在第一次、第二次镦锻中很容易成型,但由于冷作硬化的原因,使产品在以后的镦锻中难以进行。表现在工件在镦锻中出现开裂或者损坏模具。
解决这类问题的关键在于减少变形量,增加钢材的塑性,采取更加有效的润滑。螺栓、螺钉在冷镦工艺中选用大直径线材、小变形工艺。一般线材直径与螺钉螺纹直径D相接近,用一次或两次杆部缩径达到螺坯尺寸。
对中碳钢、合金钢而言,在材料改制中用球化退火来改善钢材的冷镦塑性,用磷化、皂化处理来保证钢材的表面润滑,使之变形中尽可能减少摩擦。另外在模具上增加强韧性,使它承受复杂的变形中有刚性,又有足够的韧性和耐磨性。
5 冷镦工艺 中力 的计算方法
冷镦力是确定工艺参数、设计模具、设计冷镦机和专用设备选型的主要依据。
决定冷镦力大小的因素较多,主要有以下几个方面:
a.金属的机械性能
冷镦力随材料强度、硬度的增加而增加。
b.工件形状、变形程度
冷镦力随工件变形量的增加而增加。
c.摩擦
由于模具和工件间的接触面有摩擦力,不同程度地改变了作用力的方向和大小,从而产生对冷镦力的影响。
d.工模具形状
工模具形状的不同,造成金属在各方向流动阻力的差异,从而影响冷镦力。
6 冷镦力的计算方法
常用的冷镦力的计算公式有:
a.经验公式
P=Kбt·F(公斤)(公式36-8)
式中
F——工件镦锻终止时的投影面积(mm²)
K——头部形状复杂系数,按图36-11选择。
对六角头螺栓一般选K=2.0~2.4
бt——考虑冷作硬化后的变形阻力,可由下式计算:
бt (kg/mm²)(公式36-9)
式中 бb——钢材抗拉强度极限(kg/mm²)
Fo——镦锻前坯料断面积(mm²)

b.近似理论推导的计算公式
在考虑影响冷镦力大小的主要因素的基础上,并根据经验进行修正,得出如下的冷镦力计算公式:

式中
d——镦锻后工件头部最大直径(mm)
h——镦锻后工件头部高度(mm)
F——工件头部投影面积(mm²)
Z——变形系数
n——工具形状系数
α——工件变形部分形状系数
μ——摩擦系数
Z、n、α、μ可按表36-2选取
表36--2 冷镦力计算系数

就计算的精确度而言,第二个公式比第一个公式计算结果要精确一些,但计算不如经验公式简单,一般常采用经验公式计算,最后预以修正。
7 辅助工艺力的计算方法
1.剪切力的计算
冷镦过程中,坯料的切断、头部切边、螺母冲孔等,都是使一部分材料从基体中冲、切开来。影响剪切力大小的主要因素有钢材机械性能、剪切面面积。
其它如上、下切刀板的间隙、切刀刃口的锋利程度等对剪切也发生影响,但计算中忽略不计。实际生产中,由于刀板刃口的磨损、刀板间间隙大小,都会引致剪切力增加。
a.毛坯切断力的计算
P剪=F·τ(N)(公式36-11)
式中 F——坯料剪切面面积(mm²)
τ——钢材抗剪强度
表36-3列出了常用钢材的抗剪强度。
表36-3 常用材料剪切加工一般所采用的间隙和τ值

b.切边力的计算公式
P切=LHτ(N)(公式36-12)
式中
L——切边周长(mm)
H——切边高度(mm)
c.螺母冲孔力的计算公式
式中:
d——冲孔直径(mm)
h——冲孔连皮厚度(mm)
(注:冲孔连皮是指螺母坯料冲孔时,需要冲出的铁豆厚度,它小于螺母的高度。)
2.缩径力的计算
冷镦螺栓一般都采用粗径线材缩径工艺,即将大于螺纹外径的线材,经过一次或两次缩径,达到搓制螺纹坯料的尺寸。就缩径而言,实际是一个正挤压,可应用正挤压实心件的计算公式:
P=p·F(N)(公式36-14)
式中:
P——单位挤压力(N/mm²)
F——缩径前杆部截面积(mm²)
P可根据含碳量不同,变形程度ε不超过30%时,可取P=600~900N/mm²。
8 顶料力
螺栓在冷镦成形中的预镦、精镦、缩径、切边,螺母在镦球、压型等过程中,都需要将所镦锻的坯件从凹模中推出,需要一定的顶料力。
影响顶料力大小的主要因素有:钢材种类、工件轮廓形状、尺寸大小、模腔接触表面的粗糙度、润滑等。
在正常情况下,一般顶料力不大,当工件与凹模接触面产生“粘滞”,摩擦力将大大增加,还有螺母球在凹模中产生重料(两个螺母球坯),顶料力就会成倍增加,严重时还会损坏模具,影响机器运转。
所以自动冷镦机的顶料机构一般都有与主机联锁的保险装置,一旦顶料出现故障,能自动停车。顶料力的计算主要用于校核顶料机械中顶料杆、顶料凸轮的强度。
a 凹模顶料力
PT=бt·F(N)(公式36-15)
式中бt——单位面积上的顶料力。经验数据бt=500~600N/mm2
F——冷镦工件杆部断面积mm2,冷镦螺母取相应的坯件的投影面积mm2
b 切边顶料力
PT=P·Kt(N)(公式36-16)
式中P——切边力(N)
Kt——系数
头部高度<5,Kt=0.1~0.12
冷镦工艺的工序
1 杆状紧固件的冷 镦 (压)工艺
杆状紧固件冷镦(压)加工,应考虑各工序(工位)的有关参数。主要参数有镦锻比,Lo、do分别为毛坯镦锻部分的原始长度和原始直径;D、H分别表示镦锻后工件的直径和高度,参见图36-7。
Lo/do是衡量毛坯镦粗变形的纵向稳定性,即毛坯镦粗部分在镦粗时的抗纵向弯曲能力。Lo/do的值越小,越有利于头部的镦锻成形;Lo/do的值过大时,毛坯镦锻部分产生纵向弯曲。
影响坯件镦粗变形的纵向稳定性除Lo/do的值以外,还有其他因素。无论是自动冷镦机,还是切料机,无论是刀板切料,还是套筒刀切料,坯件的切断面都不能与其轴心线垂直,应有一个1°~5°角的倾斜。
这样在冷镦(压)时,初冲对坯件的着力点不在中心,而会出现偏心,使坯件受力不均,从而产生变形不均,导致头部成形时因纵向弯曲而出现折迭。
对于切断面倾斜角小的,变形中产生的纵向弯曲不明显,不至于达到影响头部质量的程度。
在冷镦(压)工艺中,在切断以后,安排一个坯件整形,其主要目的就在于此。
此外,初冲型腔的底端是对坯件施加镦锻力的传递面,如果中心偏移,合力的作用中心势必产生偏移,同样道理,也是影响产生纵向弯曲的因素。
在初冲中采取带弹簧的顶杆(参见图36-13),就可缓解这种影响。其它如机床的运行精度、操作者对工装安装调整水平也对初冲成形有影响。
为了使初冲变形中,改变坯件的稳定性,尤其对于低碳钢这类切断性较差的钢种,为了增加坯件在变形中的稳定性,在初冲小端工作型腔中除了锥形外,还要有高为1.5~2mm的圆柱形型腔,如图36-12所示。

据经验,当Lo/do≤2.3时,只需要一次镦锻就可成形,不会出现纵向弯曲,当Lo/do≤4.5时,要经过两次镦锻完成头部成形;当Lo/do≤8时,则要通过三次镦锻完成头部成形。总之,Lo/do的值愈大,需要镦锻的次数愈多。
D/H的比值愈大,镦锻成形难度就愈大。实际上,可将表示D、H的产品变形终了尺寸算成体积,再算出所需毛坯的长度Lo和直径do,用Lo/do的值来确定镦锻次数。
二 六角头螺栓头部的确定
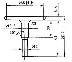
(1) 六角头螺栓头部初镦形状的确定
初镦的形状确定合理,将有利于金属在型腔里的流动,使金属纤维流动不紊乱,有利于下一工位的变形。
初镦的形状为锥形,初镦锥形模腔有两种形式,一为不带弹簧顶杆(针),一为带弹簧顶杆(针),见图36-13。

不带弹簧顶杆的锥形冲模用于长杆工件的镦制;带弹簧顶杆的冲模用于杆部较短的工件。不带弹簧顶杆初冲的锥形型腔锥角适当大一些,使工件容易脱离初镦模,一般α取8°~16°,初镦冲头的内腔形状,见图36-14。
在三击镦锻时,需要镦两次锥形,第一次锥形,锥角特别小,α为2°~3°,基本起着整形作用,使它在第二次初镦变形中,有一个良好的对中性和稳固性。锥形冲模工作型腔的尺寸,可根据要镦制头形的体积、线材直径、冲模与凹模之间的距离来计算出来。
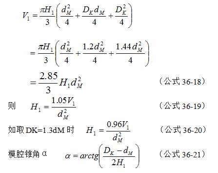
由图36-15可见,整个锥形头部的体积由体积V1和V2两部分组成,即V锥=V1+V2,而V锥等于产品头部精镦后的体积即V。V可由产品尺寸计算出,则V1=V-V2。

从图36-15可看出,V2的制约因素较多,如冲模与凹模的间隙距离、凹模工作凹穴的深度,以及金属在里面的充填形状、形成V2的桶形直径等,所以一般都采用经验公式:
V1=KV(mm3)(公式36-17)
式中 V——形成产品头部的体积
K——产品形状系数
对于六角头螺栓及六角头导颈螺栓,K=0.75~0.85;
对于半圆头螺钉,K=0.7~0.8;
对于沉头螺钉,K=0.5~0.6。
锥形体的小端直径dM等于原材料的最小尺寸或略小于最小尺寸,锥形体的大端直径DK取1.2~1.3dM。
当DK=1.2dM时,锥形体的体积V1为:

(2)机器螺钉初镦形状的确定
机器螺钉种类很多,主要区别于头部的几何形状。总的说,机器螺钉头部成形的镦锻比(S=Lo/do和D/h),值比较小,比较容易镦锻。
对于简单头形的机器螺钉,单击冷镦生产的工件,如图36-16,可采用一次镦锻。但是,不少品种的机器螺钉,头部槽型比较复杂。
为十字槽型等,头部成形则需要两次及以上的镦制。要按标准镦制符合槽型要求的产品,初冲的造型起着决定性的作用。

在精镦头部成形时,同时对槽型产生镦挤,这时产品头部的变形,除了金属因镦粗而流动充满头部大端以外,还会伴随槽型的挤压而有一个反受力方向流动的趋势,从而影响大端边缘金属的充满。
尤其在槽型方向有明显“缺肉”的现象。
为了解决这个局部不充满的缺陷,将初冲的顶端做成圆弧形,对于平圆头十字槽螺钉的初冲做成圆锥形的顶端,并带一个120°~150°的锥角体,见图36-17。其目的是为了减少变形中金属的反向流动,有利于头部大端的充满。
(3)内六角圆柱头螺钉初镦形状的确定
冷镦内六角圆柱头螺钉(头部镦锻比小于1.5),由于头部带较深的内六方孔,几何形状复杂,产品性能要求高,为8.8、10.9、12.9级,使用的钢材为中碳钢、合金钢、冷成形性能差,头部变形复杂,镦粗、正挤压、反挤压都有。因此,这类产品初冲成形,一般应经过初镦和第二次预镦。图36-18列出了几种生产中常用的初镦形状。
在二序预镦中,头部镦出内六角预成形凹穴,是为下一工位精制内六方孔时,减少变形量,金属在反挤压变形中流动阻力小一些,使六角冲头承受的载荷尽可能减小,并且使金属流动比较均匀地充满头部上、下端的边缘。


(4)杆状紧固件的精镦
杆状紧固件的精镦是将预镦成形的坯件头部在上、下模间的工作型腔里进行镦制,获得产品头部的最终形状和尺寸。
头部的变形因产品头部几何尺寸不同而不一样,大体有以下几种形式:
a 六角头、四方头的螺栓
图36-19所示成形区有三个区域,头部高度的1/3在上模型腔成型,1/3~2/5在下模型腔成形,其余在上、下模间的间隙形成飞边,最后由切边工艺完成六角头、四方头的切边。
b 半圆头、平圆头类型的机器螺钉,头部完全在上模(光冲)型腔成形。
c 内六角圆柱头螺钉、凹穴六角头螺栓类产品,头部在下模型腔里成形。因为是精镦,上、下模的工作型腔皆要满足产品头部尺寸的要求。
(5)杆状紧固件的缩径工艺
六角头螺栓是应用很普遍的紧固件,它的强度级别范围大,从3.6~12.9级都有生产。
对于中、低强度级别的六角头螺栓,一般采用两种工艺生产,一为细杆工艺,一为粗杆缩径工艺。
所谓细杆,是用相当于螺纹坯径尺寸的线材进行冷镦,线材尺寸变化很小,杆部可以直接搓制螺纹;粗杆是用大于螺纹外径尺寸的线材,冷镦工艺中安排一次、二次或二次以上的缩径,使螺纹长度部分的杆部达到螺坯尺寸。
内六角圆柱头螺钉按国家标准规定是8.8级及其以上级别的高强度产品,尽管头部变形程度不大,但使用线材强度较高,塑性相应要小,因此普遍采用粗杆缩径工艺,冷镦中经过一次及以上次数的缩径,使螺纹长度的杆部直径达到螺坯尺寸。
六角头螺栓采用细杆工艺,冷镦时头部变形程度相对于粗杆来说有所增加,它适用于短规格全螺纹产品的生产。细杆工艺生产螺栓,常存在以下问题:
a.头部变形程度大,容易产生裂口,有时切六方边裂口也不能完全去除。
b.头部在镦粗中,常因变形程度大而产生纵向弯曲,在距支承面1/3处出现折迭,见图36-20,并导致螺栓掉头。
c.头部与杆部结合强度较差,成为细杆螺栓掉头的隐患。采用粗杆缩径工艺,避免了以上问题。但是,由于需要缩径,它不仅增加了缩径力,使模具结构也相应复杂了。

它必须有缩径模,一般用硬质合金加工,增加了模具成本。
此外,对线材的表面润滑、材料硬度也有特殊要求。生产中采用的线材大部分都经过磷化、皂化处理。线材经过球化退火,硬度应为75~85HRB。
总的说来,粗杆缩径工艺虽然对线材、模具要求高,增加了生产成本,但是就产品质量而言,它可减少由于材料塑性不好而产生的产品开裂。提高了材料利用率,保证了产品的强度要求,综合经济效率还是好的。
(6)螺栓头部切边
六角头螺栓有头部带凹穴的及头部平顶的两种型式。
从生产和使用角度看,头部平顶的六角头螺栓,要占总量的90%以上。头部带凹穴的螺栓,由于头部直接冷镦(压)成形,对线材塑性要求高,六角棱边充满差,常呈秃角,在扳拧使用中容易打滑,这点在设备自动装配线上反映更敏感,客观上限制了这种头型螺栓的生产。
头部平顶的螺栓,六方是由切边形成的,切边可安排在多工位自动冷镦机按多工位生产工艺完成,也可由专用的切边机上来完成。
螺母 冷镦 (压)工艺
1.常用螺母冷镦工艺分类
六角螺母也是一种使用面很广的紧固件,它的生产方法较多,M24以下规格的螺母普遍采用冷镦(压)方法生产。常用的螺母冷镦工艺有以下几种:
a.用较小直径的线材冷镦生产螺母
这是一种冷镦生产螺母中用得最多的生产方法。使用线材直径do=0.60s~0.70s,s—螺母对方尺寸。采用切料、整形、镦球、压六方、冲孔的工位(工序),见图36-23。
在三工位、四工位自动冷镦机生产,也可在压力机上分序生产。在三工位冷镦机上生产可省去整形,但大于M12以上规格的螺母,不经整形,端面质量及秃角的均匀性都不好控制。

b.用较大直径的线材冷镦生产螺母
这种工艺使用线材直径do≈0.9s,经切断、整形、初镦、预成形、精成形、冲孔而成,一般在五工位自动冷镦机上生产,夹钳带翻转机构,见图36-24。
c.六方钢成形工艺
这种工艺方法用的较少,一般用于M20以上大规格螺母的生产,在压力机上用分序冷压的方法完成。工艺流程按切料、初压、精压、冲孔进行生产。
2.螺母冷 镦 (压)工艺分析
a.切断
在自动冷镦机多工位生产或压力机上分序生产,切断都是第一道工序,也是较关键的工序。
因为切料断口的平整性、切刀板压下所形成的马蹄印大小(见图36-25),都对下序的整形、镦球有直接的影响。

由公式36-22可计算出切料长度

式中
Lo——切料长度mm
V型——螺母冲孔前坯料体积(mm³)
Fo——线
材截面积m㎡
这仅是一个计算值,实际生产中还要通过调整档料柱来修正切断长度。
有时还用称重法来衡量切料是否准确,即坯料重相当于切断的料柱重。
切断模的孔径应比料的最大直径大0.05~0.1mm,刀板与切断模之间的间隙为0.1mm左右。
b.整形
如图36-26所示,整形是把料柱的端面镦平,在下端镦(压)出1~2×45°的倒角,目的是将切料的缺陷进行修整,保证下一压球工序的质量。
整形的尺寸d=do+(0.1~0.25)(mm)
式中 do——线材直径mm。

c.镦球
镦球是将整形后的料柱镦(压)成鼓形球状,见图36-27,它的质量影响螺母的端面、秃角、棱边的清晰和质量。在确定鼓形球几何尺寸时,按经验,在倒角40°确定的情况下,dM、h尺寸应尽可能小。
这样,在压六方时,相应部位的摩擦力要小,金属在压型力的作用下,金属流动性好,容易充满六方。如果dM、h偏大,则在压六方时,不易充满六角。如果为了使六方充满而增加压型力,则螺母端面就会产生飞边。
鼓形球尺寸按经验数据如下:
dM=(0.7~0.8)d径
Dmax≤Smin
式中 d径——螺母公称直径mm
Dmax——鼓形球最大直径mm
smin——螺母s方最小尺寸mm
根据dM、D的尺寸和螺母坯料体积,鼓形球的其它尺寸可通过计算得出:


d.压型
压型,即镦压成型螺母的六方,使之满足六方螺母外形尺寸的要求。
变形尺寸是否合理,直接影响产品的质量和模具的寿命。
压六方的尺寸要考虑的主要因素有:六方坯在六方凹模里的脱模及下序冲孔的胀方。
因此,要求螺母侧面要有一个倾斜角γ(见图36-28),其大小随规格的增加而偏大,如M10以上的螺母,γ一般取0°.30′~1°,如γ角过大,六方凹模上、下端口尺寸相差较多,会使六方下冲(又称压型下模)在套模内定位不稳,容易造成镦压螺母坯料偏心,使螺母的垂直度(β)超差,同时经冲孔胀方后s尺寸也达不到标准要求。γ取0°.30′~1°实际是由生产实际经验摸索而定的。
压型除这个尺寸以外,还有很多尺寸与螺母的外形尺寸及产品的外观等有直接关系(见图36-29),表示出了螺母压型坯件的尺寸。
其中,两端凹穴的几何形状尺寸很重要。d1是一个关键尺寸,偏小,冲孔容易产生毛刺;偏大,冲孔容易出现喇叭口,影响内螺纹的完整。
经验数据为:
<M8:d1=d小max+(0.02~0.04)mm
M8~M14:d1=d小max+(0.05~0.10)mm
M14~M18:d1=d小max+(010~0.15)mm
M18~M24:d1=d小max+(0.15~0.30)mm
式中:
d小max——螺母内螺纹小径最大尺寸(mm)
d=(1.05~1.1)d径
式中 d径——螺母公称直径(mm)

d尺寸过小,不利于螺母镦压成型,不利于金属流动,六棱角不清晰;d尺寸过大,螺母支承面减小,影响外观及紧固强度。
d1和d尺寸确定后,按标准螺母内倒角≈120°,一般取为106°,其原因是内倒角取小一点,按公式计算,h尺寸就可大一些,这样既可节省钢材,螺母压型时变形有利,又可缩小冲孔连皮(即冲孔冲出的铁豆)厚度,有利于冲孔。
h=(d--d1)tg37° (公式36-25)
凹穴中另一重要尺寸为h1和α角,它们对螺母镦压成型后,从六角凹模顶出的六方下冲有影响。
h1不宜过高,过高将影响螺母六方型坯及时从六方下模冲脱开,接着下一个型坯又进入凹模,从而引起重帽,而产生故障。
经验数据为:
<M6: h1<0.30mm
M8~M10:h1=(0.4~0.5)mm
M10~M16:h1=(0.6~1.0)mm
M18~M24:h1=(1.2~1.6)mm
对M20以上螺母,压型上模的h1可比下模高(0.30~0.50)mm,更有利于冷镦变形。
α一般取10°~15°。h1、α确定后,d2尺寸可按下式计算

凹穴顶部为一圆锥,锥角取为150°,则圆锥的角度为tg15°,整个凹穴的高度为:
h2=h+h1+tg15° (公式36-27)
凹穴尺寸一般不作为检验依据,由模具的尺寸来保证。上述数据依据为GB/T6170-2000标准螺母。对于其他型式的螺母不完全适用。
e.冲孔
冲孔尺寸大小、质量,都是为了满足下序攻螺纹的要求。螺母内孔直径一般按小径最大尺寸决定。
考虑到钢材硬度要影响冲孔质量,孔径可定在螺母小径最小尺寸与最大尺寸之间,由操作者在其公差范围内灵活掌握。实际上考虑到攻丝的因素,冲孔尺寸的公差要小于小径的公差。
冲孔必须注意的问题
1 螺母冲孔后s方胀方问题
冲孔实际上是对坯料进行冲切。内孔冲裁表面有冲切面还有撕裂面(图36-30)。
孔冲对内孔产生的冲切力导致孔冲与内孔的接触面产生摩擦力,与孔冲向下冲切方向相反,这样形成的附加应力所导致径向张力,使s方径向扩张,即胀方。
很显然,胀方的大小与孔冲刚度、刃部锋利情况有关,还与螺坯的材质有关。
低碳钢比中碳钢胀方要大,普碳钢比相同含碳量的优质钢胀方要大。
这可从钢材的切削性能随含碳量的增加而提高,得到解释。当然,由于钢材含碳量增加,强度增加,它对孔冲的强韧性要求也更高。
此外,胀方与螺母对方尺寸(即对边宽度)s与螺母高度m的比值有关,表36-4列出了部分规格螺母冲孔后的胀方值。

即使注意到了这些问题,但往往由于螺母材质发生变化(材质为中碳钢或合金钢),一般也解决不了因胀方而使s方超差的问题,在M16及以上规格更突出。为了解决s方因冲孔胀方而超差的问题,可采取以下措施:
a.减小冲孔尺寸,增加铰孔,铰孔余量在0.5~1mm;
b.采用两次冲孔,第二次冲孔余量在1毫米左右。第二次冲孔不存在胀方;
c.冲孔孔模前加一六方凹模片,可防止螺母s面胀方,六方凹模片厚度略高于螺母高度m,模口倒圆角,以利于坯料进入凹模。
模腔要有0°10′~0°15′的出模锥度。采用此种结构,即使是六角厚螺母(GB/T56D=16,m=25;D=20,m=32;D=24,m=38),也可用冷镦生产。

表36-4 部分规格螺母冲孔后的胀方值。

镦压螺母的六方凹模要有锥度,一是使螺坯容易顶出脱模,一是补偿冲孔的胀方值,使螺母s方尺寸不因胀方而超差。如图36-31所示,M10以上γ角取0°30′~1°,随着螺母规格的增大,γ角也增大,最大不宜超过1°
d.改进压六方冲头的凸台尺寸,即螺母压型后坯料两端凹穴尺寸中的h1。
适当加高h1部位,即减少冲孔连皮厚度,可改善冲孔时的胀方情况,但h1不宜过高,过高对坯料脱离凸台不利,容易产生重料(即第一个坯料没脱离开,第二个坯料就来了)而造成事故。
e.采用反冲孔,可解决胀方问题。
2 孔的粗糙度和圆整度
为了使粗糙度达到最小及得到较圆整的内孔,冷镦螺母冲孔凸凹模之间的间隙要求比一般冲裁模的间隙要小,希望孔内壁80%以上呈光亮带(参见图36-30),撕裂带不超过孔壁的20%。
采用小间隙冲孔,有时会出现另一个质量问题:“槽孔”,见图36-32。“槽孔”是由于冲孔时产生二次光亮带引起的。

冲孔内孔的质量与采用冲孔凸凹模的几何形状及凸凹模间隙有关。生产中使用的冷镦螺母冲孔凹模大体有三种型式:
a.凸台式冲孔凹模
如图36-33所示。

这种凹模刃口部分有一凸台,适用于M12以下的中、小规格螺母冲孔用,凸凹模间隙取(0.03~0.15)mm。
它的优点是冲孔时容易定位,冲出的孔断裂带少,“喇叭口”不严重。
缺点是,当冲孔速度较慢时会产生“槽孔”,当更换新孔冲,孔冲的刃口较锋利时,也可能出现“槽孔”,这时,只要用砂纸将孔冲刃口砂成圆角,可在冲孔时起挤光冲切面的作用,可避免“槽孔”的出现。
采用这种凹模,压六方的下冲头凸台h1不宜太高,过高,冲孔时容易产生铁屑,粘在凹模面上,使螺母端面产生压痕,影响外观。
b.平直式冲孔凹模
如图36-34所示,这类凹模的间隙可稍大于上述凹模,寿命也较长。缺点是:在冲孔速度较慢时容易产生毛刺,或单面撕裂一块,超过普通断裂带,有时一直延伸到螺母内倒角处,(参见图36-30),造成攻丝时扣不完整。
这种现象在低强度螺母冲孔时容易发生,造成质量不稳。
c.带圆角的冲孔凹模
如图36-35所示,这类凹模内孔端口有一r=(2~3)mm的圆角,凸、凹模间隙可取得大一些,一般用于M14以上。缺点是冲出的孔断裂带较大,即“喇叭口”大,一般通过铰孔,使孔圆整光洁,达到尺寸要求。对低强度螺母冲孔时,也会单面撕裂到内倒角处。优点是模具寿命较长。

