我们都知道,现在香港因为yq原因,已经封关一年多时间了。加上之前断续的管控封闭,很多人已经有两年多没去过香港了。
即便之前有人住深圳,非常便捷的就到香港购物了。然而后期深圳也因yq更加加剧了去往香港的难度。
原来想配置香港保单的人,现在因为YQ买不了香港的保险,接着很多人又将目光转向了澳门,毕竟离着珠海横琴更近手续还简便,澳门的YQ控制的也非常OK。
澳门对比香港除了保司分支机构比较少外,产品责任和服务一样都没落下。所以你会看到很多内地人都去往了澳门投保当地的港币或美元计价保险。
加上有今年的俄乌战争,让很多富裕阶层看到,如果资产大都在国境线外的其他中立国,个人资产非常容易被收归国有。这从道德和权利属性来说都是不太合理的。所以把重资产放国内,包括增加非人民可变现港币和美元资产是非常重要的,这更加促进内地中产以上家庭去往澳门投保非人民币保单了。
然而,想要投保港币保单,如果在国内去找类似产品的话,国内类似港币保单的产品是极少的,再加上今年内地不断零星爆出来的YQ,将很多人的投保计划打乱。
特别是国内经济也受到全球供应链经济拖累、加上大家对未来收入的不确定性情绪在市场弥漫,国内很多人对世界格局发生剧烈波动持观望负面态度。所以你会看到今年4月份的社融数据出来后,很多人都将资金搬家到了BANK和商业保险当中,而不是地产和投资创业上。
如果你有传承的规划,对未来经济看不清楚,期望资产不缩水并相应有所增值,当下投保年金保险和增额寿险,分红保险还是有非常大价值的。特别是分红型终身寿险,一来可以获得资本市场投资红利,二来可以获得较高的身价保障,三来可以获得与港澳保险一样的增值期待。
刚好近期推出的安联盛世臻传终身寿险分红型就是媲美港澳的保险产品。
虽是内地中德安联人寿产品,但以其纯外资控股、成立200多年的历史背景,风险承保能力都是毋容置疑,特别是在赔付过泰坦尼克号后更是名声大噪。
回过头来说,此款终身寿险有什么特点?
了解盛世臻传终身寿险分红型之前,先来了解美式分红和英氏分红的简单区别:
英氏分红:有终了红利,当合同结束时给付。每年年度分红不能支取,可以累积计息、可以拿每年的年度分红再次买保额增加基本保额以应对通胀对保单的侵蚀,美式分红以香港友邦AIA产品比较居多为代表。
适合传承客户和生活条件优渥的家庭投保!
美式分红:每年分红可以支取,可以累积计息,可以到期一笔过拿到终了红利,基本保额不变,美式分红以香港保诚产品居多为代表。
适合给孩子做教育储蓄,有一笔闲钱无处安放,做日常生活费用补充等。
香港和澳门的保单,大多是上述两类保单的综合体,国内大多是美式分红的保单居多。加上每年的分红不保证,财务公布不透明,保司每年只拿出来70%可分配盈余给到投保人,所以很多人对于分红产品一直比较诟病。
那如何来化解大家对分红产品的不理解?
我们就拿安联盛世臻传来做一个了解,相信一定能破解过去的误解,而且一定能喜欢上这款分红型终身寿险。
保单投保规则:
1、缴费规则:支持年交、半年交、季交、月交方式的转换
2、最低保额50万元起
3、减额交清:减额交清后最低保额50万元
4、保单有自动垫交保费、增额红利领取、减额交清等功能
投保规则:
1. 投保年龄:出生满7天—65周岁。
2. 交费期间:一次,5/10/15/20/25/30年交,期交最大交费满期年龄70周岁
3. 职业等级:参照寿险职业等级,1-3级标准体
4. 优选体:被保险人投保年龄≥18周岁,可以选择“申请适用优选体费率”每年缴费更优惠,也可直接选择标准体保险费投保。
5. 保额要求:被保险人投保年龄<18周岁,最低保额50万元,本产品累计保额之和最高200万元;
被保险人投保年龄≥18周岁,如未选择“申请适用优选体费率”,最低保额100万元,如选择“申请适用优选体费率”,最低保额300万元,选择标准体和优选体保费会有所不同。
6. 风险保额:
被保险人年龄<18周岁,不计风险保额。
被保险年龄≥18周岁,基本保险金额计入寿险累计保额。
7. 财务核保和体检要求:风险保额计入被保险人财务核保保额和体检保额;
如选择“申请适用优选体费率”均需体检。
为了给各位看官更直接的感受,我们拿一个案例做一了解。
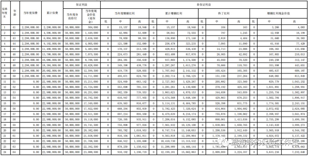
李先生40 岁,事业有成,他希望能将获得的财富转化为稳定增长的现金流,同时也能兼顾财富传承。
在保险经纪人的建议下,他为自己购买了安联盛世臻传终身寿险(分红型)由于安先生经常参加锻炼和注重身体保养,经过体检,李先生适用优选等级E费率,按标准体每年交费229万元交费 10 年,基本保险金额为 5000万元,获得保险利益如下:


我们看到80岁时,身故保额保证部分是5000万保额,年度增额红利累积中档是3175万,终了红利中档保额达到2193万,三项加总保额达到了10,378万。实际保费总投入是2298万,保单杠杆率高达450%
如果再看到90岁,100岁保单的杠杆率会更高。
回头再看国内固定保额的其他寿险,终身就是定额保额,不会随时间增长,更不会有任何分红增值。
无论何时发生身故全残都给付初始保额,是比较难抵御通胀带来的身故保额被动缩水。
所以,再去看安联盛世臻传终身寿险分红型保险,身故保额不断增值,而且年度红利现价也不断增值,还能跟主险现价一同被*款贷**使用,美式分红型寿险是不是更有优势了?
如果短期还是去不了港澳、如果对未来生活不确定性有所担忧,如果想要在资本市场获得一定收益,如果想占据保险公司一定资源,那么投保增额分红型终身寿险,盛世臻传是非常不错的选择。
且达到总保额500万以上,还能对接投保安联保险金信托1.0版本,为你的保单利益助力加油。