最新消息:武汉二十四城(东西湖-吴家山)目前已拿预售,主推6#、9#、11#、13#,共617套房源,79平约58套房源,毛坯备案均价13449元/平,圈存可享98折优惠,开盘还有额外优惠!
楼盘聚焦:
一、这个盘可以说从入市就关注度很高,甚至收割了不少业内的心,据说有60多个业内圈存!小妹分析了下让大家很冲动的原因,大致有几点:
1、价格门槛低! 项目推出最小79平两房,并在未拿预售证时放风价12500元/平,圈存98折,全民营销可减1w,还有一些“日进斗金”的活动,一系列优惠下来, 首付门槛大约在26-30w之间,月供3000-4000。 这个价格无疑是相当诱人的!很容易引起冲动消费。
2、营销中心体验感不错。 项目营销中心打造了一个啤酒博物馆,后期会保留下来。啤酒文化+极具艺术感的体验馆,在整个东西湖无疑显得很时尚年轻化,也容易吸引年轻群体。
3、项目 拟引进长春街+七一双学区资源。
4、 华润的品质、物业在武汉口碑还不错 ,前期表现也较稳定。
二、项目今日拿预售,备案均价 13449元/平 ,备案价格并不低,但根据置业顾问的放风价可以推断, 项目最后折扣可能在9折左右。

并且此次加推,货量还是较为充足的,从具体一房一价可以看出,项目此次定价也是煞费苦心! 大户型、小户型做了高低价差,同楼层小户型单价甚至比大户型低2000元/平! 小妹分析,这次首开可能还是想先掩护小户型快速出货。

三、东西湖目前二十多个盘扎堆出售,中、大户型房源并不缺,而华润二十四城79平做了差异化处理,也是项目诱人的根本。但大户型就不管了?!推测项目此次可能也算是“断臂求生”,用小户型热销炒作一番,后续大户型再慢慢销售!不过项目优惠后价格,真的是要把东西湖客户都吸引过来了,这是逼得竞品兄弟无处可走啊!
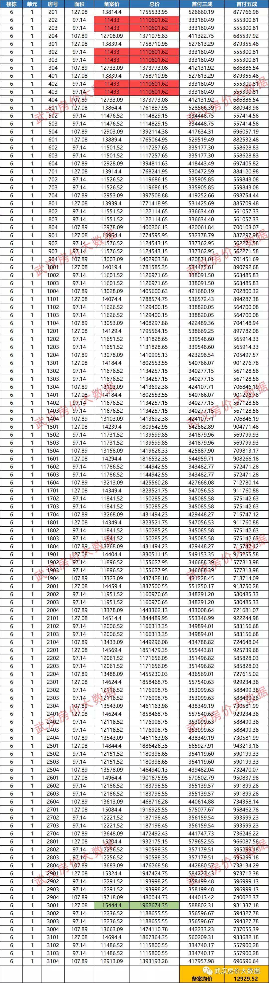
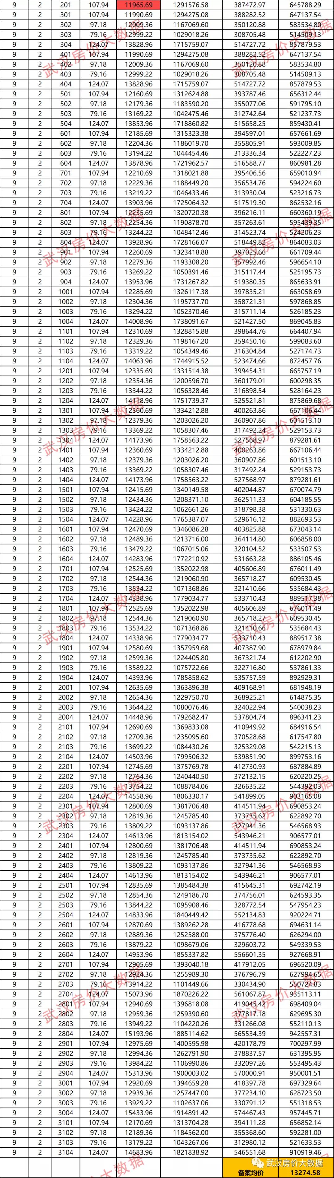
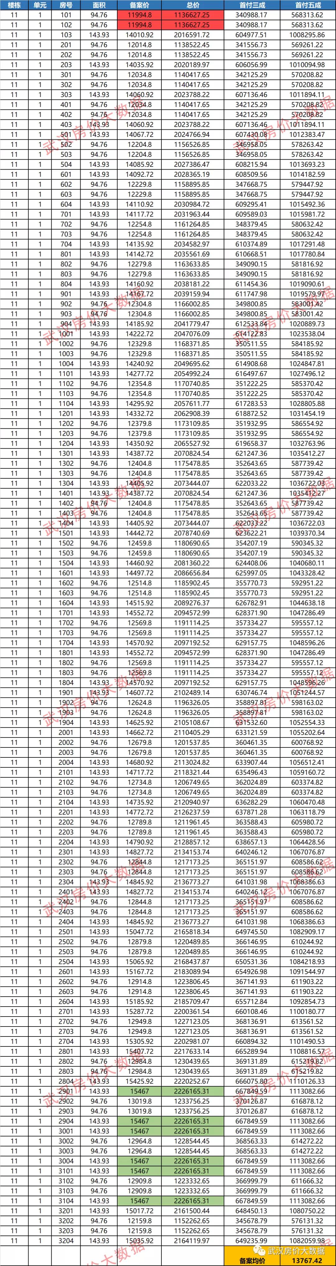
房源信息
可查看具体一房一价:





79平两房两厅一卫
这款户型连廊设计,南北通风,但是缺少一点隐私性。标准动静分区结构,作为小户型整体来说还不错,开间3.5米左右,两开间朝南。

建面约95平户型:

建面约105平户型:

建面约108平户型:

建面约115平户型:

建面约125平户型:

建面约130平户型

建面约140平房源
建面140平就是四房户型了,这个四房在片区算面积大的了,有些楼盘120多平就做了四房;不过这种140平的户型,居住的舒适度还是会高一些,因为面积足够大。

基本信息
武汉二十四城由南区和北区组成,其中南区位于东西湖区径河街张柏路以西、金北一路以南,北区位于东西湖区径河街径河以南、张柏路以西、金北一路两侧。
该项目由武汉润雪房地产开发有限公司建设,其业态丰富,包括住宅、商业、啤酒博物馆、办公楼、社区医院、体育场馆等。
武汉二十四城北区+南区规划用地面积243197.3平,容积率3.06,建筑密度21%,绿地率35%。总建筑面积1060693.25平,计容面积744411平,其中超高层住宅350614.04平,高层住宅312354.18平。共5803户,套均约114平。
武汉二十四城住宅主要集中在北区中,项目住宅地块基本都为围合式布局,项目南北区共规划有30栋高层、超高层住宅,另规划有中小学、体育馆、医院、三所幼儿园、博物馆,社区商业。
1号楼为啤酒博物馆,2、3、18号楼为社区商业,4号楼为公安局办公楼,14号楼、24号楼为北区的两个幼儿园,31号楼为社区医院,40号楼为南区幼儿园,41号楼为体育馆。
5号楼25层,6-9、32号楼31层,10、13、15、16、20、25、30、37号楼34层,11号楼32层,23、34、36号楼44层,12、17、19、21、22、26-29、35、38号楼45层,33号楼28层。






武汉二十四城内规划有3个9班幼儿园8190平,商业面积15500平,啤酒博物馆3000平,托儿所面积2000平,公安局办公楼面积10000平,社区医院13000平,体育场馆(健身中心)21411平,不计容建筑面积216282.25平。


项目效果图



日照分析效果图



关于土拍
2019年12月17日,东西湖区P(2019)209、210号地块由华润斩获,成交总价38.34亿元,成交楼面地价分别为5417、5393元/平。

P(2019)209号住宅、体育地块
地理位置:东西湖区张柏路以西,金北一路以南

占地面积:71843.51㎡
住宅容积率:3.9、体育容积率:1.04
最大计容面积:20万方
起拍总价:108340万元
起拍楼面价:5417元/平
出让最高价:213730万元
最高楼面价:10686.5元/平 地块要求:
1、竞买人须承诺按照规划要求配建21411平方米的体育场馆,建成后用地及产权须无偿移交给东西湖区人民政府指定单位,并配合东西湖区人民政府引入《财富》2018年世界500强前100强旗下的文体企业运营该体育场馆。
2、地块成交后,由东西湖区住房和城乡建设局根据还建安置需求,按照10000元/平方米的价格回购10000平方米商品房,且自土地成交之日起36个月内完成交付使用;竞得人须自地块成交之日起30日内与东西湖区住房和城乡建设局签订上述还建安置房源回购协议。
3、本地块内须配置1所9班幼儿园,每所用地面积为3780平,建筑面积为2730平。
P(2019)210号住宅、医疗卫生地块
地理位置:东西湖区径河以南,张柏路以西,金北一路两侧

占地面积:171353.79㎡
住宅容积率:3.2、体育容积率:1.07
最大计容面积为52.3万方
起拍总价:275060万元
起拍楼面价:5393.33元/平
出让最高价:545010万元
最高楼面价:10686.47元/平
地块要求: 1、须在地块内规划建设一座3000平方米酒类博物馆,并引入一家《财富》2018年世界500强前100强旗下的食品饮料企业华中区域总部落户经营,年均纳税额不低于2.5亿元人民币;需按规划要求配建10000平公安机构、2000平托儿所、13000平医疗设施。2、配置2所9班幼儿园,幼儿园每所用地面积为3780平,建筑面积为2730平。
项目区位
武汉二十四城位于东西湖区金北一路与硚孝高速交汇处,就在为明高中北侧。
大区位来看,项目属于吴家山老城区北部,南区距离三环线直线最近距离约3公里左右,距离汉口三环线直线距离约3公里左右,靠近硚口。位置在吴家山比较一般周边没有地铁规划,周边发展比较成形,基本上都已建成了住宅,发展空间比较有限。

小区位来看,北区北边为规划公园用地、径河,美联德玛假日;南边是金北一路、项目南区的体育馆、社区医院、住宅;东边为绿地、硚孝高速、湖滨小学;西边为规划绿地用地、金山银湖湾;
南区北边为金北一路、项目北区的啤酒博物馆、商业、公安局办公楼,南边为北大附中为民高中、黄狮海北路;西边为规划绿地用地、电建地产洺悦御府;东边为硚孝高速、严家渡小区、柏景湾小学、祥生学府。

区域交通配套
自驾:项目北侧为金北一路,但这条路不是进汉口主城区的路,项目进入汉口主城区得绕道环湖路、金山大道,途经常青路高架、宝丰路高架、解放大道。或途经古田转到汉口,无论走那种路线到汉口的距离都在20公里以上,自驾起码得30分钟。
地铁:距离项目南区最近的站点是在建的地铁6号线二期金银湖停车场站,距离起码在2.6公里。距离1号线三店站至少3.4公里,完全不是步行距离,必须换乘公交,对于没有私家车的家庭尤为不便。

地铁测距图

公交方面,项目门口有金北一路张柏路公交站,但仅有一路737路公交经过。
自驾方面,项目门前就是金北一路,周边交通状况一般,自驾到快速路有一定距离。
区域生活配套
商业方面,项目自带约1.5万㎡商业规划,周边已交付的老小区有部分社区底商,距离项目最近的大型商业体是在建的金银湖万达广场,与项目距离约3.5公里。

万达广场已于2020年1月底封顶,预计2020年12月底正式开业。

约6公里有宜家荟聚、红星美凯龙,自驾大概15分钟。
教育:武汉二十四城自带三所幼儿园规划,并拟引进长椿街+七一双学区资源,如果最后落实,教育资源在区域内还是有一定优势。项目周边还有私立学校——武汉为明高级中学,小学初中高中全覆盖,不过收费较贵,普通班每年万,国际班每年万。

医疗:项目自带一所社区医院,一般头疼脑热基本可以解决,大问题还是得去距离2.3公里的东西湖协和医院。


协和东西湖医院
其他:项目规划南区自带体育馆,北区西北角规划有啤酒博物馆,北区东南角有公安局规划,从项目可以步行到黄狮海公园。
黄狮海公园
综合点评
1、项目属于东西湖临空港,大区域还是有一定发展潜力的,项目距离汉口三环线直线距离约3公里左右,项目附近集中多建成住宅居住区,居住氛围比较浓。
2、项目周边交通状况一般,自驾到快速路有一定距离,步行距离内没有地铁。这也是项目最大短板之一。
3、项目南北区都临近硚孝高速,未来可能存在一定噪音影响。
4、规划自带3所幼儿园、约1.5万㎡商业规划,啤酒博物馆和体育馆。
5、项目拟引进长春街+七一系双学区,教育资源这块在东西湖还是较为有优势。
如果对华润二十四城感兴趣的购房者,可以扫码进*交群**流哦,如后期群满,可加小妹微信拉你进群,备注“二十四城” 。
