
第18章 均匀传输线 18.1 复习笔记 分布参数电路元件构成的电路称为分布参数电路。当电路的长度l与电压、电流的波长λ可以相比时,电路就必须视为分布参数电路。 分布参数电路的分析方法是将传输线分为无限多个无穷小尺寸的集总参数单元电路,每个单元电路均遵循电路的基本规律,然后将各个单元电路级联,去逼近真实情况,所以各单元电路的电压和电流既是时间的函数,又是距离的函数。 一、均匀传输线的微分方程 若沿传输线的固有参数分布处处相同,则称为均匀传输线。 方程如表18-1-1所示。 表18-1-1
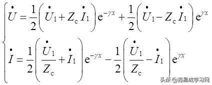
二、均匀传输线方程的正弦稳态解
(1)已知始端电压U▪1和电流I▪1
或
x为距始端的距离。
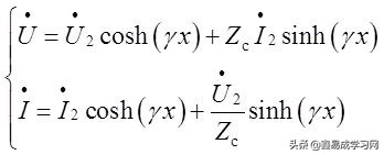
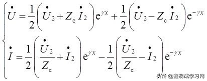
(2)已知终端电压U▪2和电流I▪2
或
x为距终端的距离。
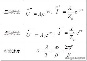
三、均匀传输线上的行波及负载效应
正向行波、反向行波及行波速度如表18-1-2所示。
表18-1-2
均匀传输线的负载效应如表18-1-3所示。
表18-1-3
四、无损耗均匀传输线的特性
表18-1-4
