初三数学一元二次方程的四种解法 (二元一次方程组根的判别式公式)

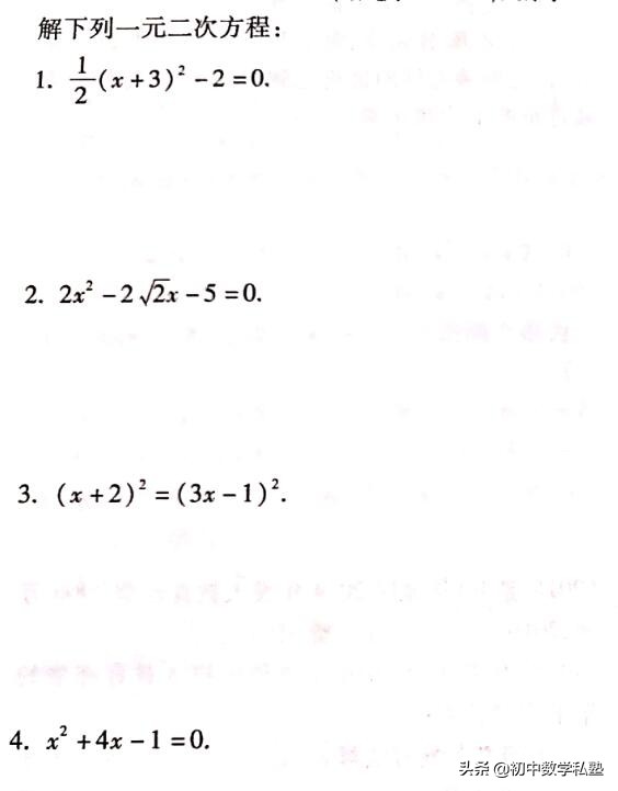
一元二次方程的解法练习

二元一次方程组根的判别式公式,一元二次方程根的判别式教学反思

二元一次方程组根的判别式公式,一元二次方程根的判别式教学反思

根的判别式的练习题

二元一次方程组根的判别式公式,一元二次方程根的判别式教学反思

二元一次方程组根的判别式公式,一元二次方程根的判别式教学反思

二元一次方程组根的判别式公式,一元二次方程根的判别式教学反思

二元一次方程组根的判别式公式,一元二次方程根的判别式教学反思

二元一次方程组根的判别式公式,一元二次方程根的判别式教学反思

二元一次方程组根的判别式公式,一元二次方程根的判别式教学反思

二元一次方程组根的判别式公式,一元二次方程根的判别式教学反思