
电感、电阻、电容
电阻、感抗、容抗、阻抗四个名词活跃在各种电路中,它们是什么关系了?且听慢慢道来。
一、电阻:这是我们最熟悉不过的东东了,在初中物理我们最先接触的电学概念就是它了,它的符号为R,单位是欧姆(Ω),有一个非常有名的定律叫欧姆定律,就是说的电阻、电压、电流三者关系的;对于有一定电阻值的导体,面对直流电还是交流电,我就是我,坐不改名,行不改姓,我还是电阻,你爱谁谁去吧!它对直流、交流都有阻碍作用,这就是大名鼎鼎的电阻!注意“电阻"二字既是电阻器的名称又是电阻值的简称。
二、感抗:感抗是电感特有的专利,它牛的很,看人下菜,对直流电大开绿灯,对交流电铁面无私,处处对着干!当直流电通过电感时畅通无阻(纯电感,也就是没有电阻的理想电感);当交流电通入电感时,会在其中产生自感电动势,阻碍电流的变化,描述其阻碍能力用感抗表示,符号XL,大小2πfL,单位也是欧姆:f交流电的频率,L电感量,频率越大、电感量越大感抗越大,这就是电感的通直隔交作用!用它的这个特性进行滤波,消除高频信号。
三、容抗:容抗是电容所特有的能力,比电感更牛,它不仅和直流电对着干,还和交流电过不去;直流电通不过电容器,交流电虽然能通过,但对其有阻力,这就是容抗,符号XC,大小1/2πfC,单位也是欧姆:f交流电的频率,C电容,频率越大、容抗越小,这就是电容的通交隔直作用!用它的这个特性进行滤波、耦合、旁路、选頻等。

电阻、容抗、感抗
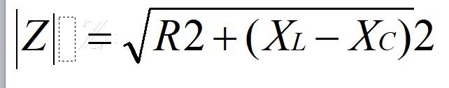
四、阻抗:当电阻、电感、电容三者中两个或三个串联、并联起来后,对交流电的阻碍作用就叫做阻抗,单位也是欧姆,其大小与电阻、电感、电容大小以及它们的连接关系有关;如R、L、C串联时,其阻抗为

R、L、C串联时阻抗计算公式

RLC串联、并联图
通过比较,谁是老大一目了然了----阻抗就是老大,它包含了电阻、容抗、感抗!后面三个是兄弟关系!
共同点:对电流有阻碍作用,单位都是欧姆;
不同点:
-
容抗、感抗只有在交流电下存在,对于直流电容抗无限大,感抗为零;
-
电阻消耗能量,有功功率为P=UI,电容、电感不消耗能量,只是者电路中储存电能或释放电能,属于储能元件,无功功率为Q=UI;
-
电阻两端电压和电流同相,电感两端电压超前于电流90°,电容两端电压滞后于电流90°;

电阻、电感、电容相位关系图
兄弟几个自由组合组成了各式各样的电路,发挥着各种各样的作用;
怎么样?搞清楚了吧!朋友们,喜欢的点个赞。