工程水文学复习题 一、思考问答 1、水文现象是一种自然现象,它具有什么特性,各用什么方法研究? 【 具有确定性(也可说周期性)与随机性,确定性决定了水文现象的相似性,决定了水文现象的随机性。确定性规律用成因分析发研究,随机性规律用数理统计法研究。 1 )成因分析法:根据水文变化的成因规律,由其影响因素预报、预测水文情势的方法。如降雨径流预报法、河流洪水演算法等。 2)数理统计法:根据水文现象的统计规律,对水文观测资料统计分析,进行水文情势预测、预报的方法。如设计年径流计算、设计洪水计算、地区经验公式等 。 水文计算常常是二种方法综合使用,相辅相成,例如由暴雨资料推求设计洪水,就是先由数理统计法求设计暴雨,再按成因分析法将设计暴雨转化为设计洪水。 此外,当没有水文资料时,可以根据水文现象的变化在地区分布上呈现的一定规律(水文现象在各流域、各地区的分布规律)来研究短缺和无资料地区的水文特征值。 】 2、蒸发能力与蒸发率以及下渗能力、下渗率的概念及相互关系。 3、水量平衡原理的应用。 4、何谓年径流?它的表示方法和度量单位是什么?径流深度、径流总量、平均流量、径流模数的概念及相互关系。 【 一个年度内在河槽里流动的水流叫做年径流。年径流可以用年径流总量W(m3)、年平均流量Q(m3/s)、年径流深R(mm)、年径流模数M(L/(s﹒km2))等表示。 】 5、流量的观测与水位流量关系曲线的延长。 【 测站测流时,由于施测条件限制或其他种种原因,致使最高水位或最低水位的流量缺测或漏测,在这种情况下,须将水位流量关系曲线作高、低水部分的
外延,才能得到完整的流量过程。
1)根据水位面积、水位流速关系外延:河床稳定的测站,水位面积、水位流速关系点常较密集,曲线趋势较明确,可根据这两根线来延长水位流量关系曲线。
2)根据水力学公式外延:此法实质上与上法相同,只是在延长Z~V曲线时,利用水力学公式计算出需要延长部分的V值。最常见的是用曼宁公式计算出需要延长部分的V值,并用平均水深代替水力半径R。由于大断面资料已知,因此关键在于确定高水时的河床糙率n和水面比降I。
3)水位流量关系曲线的低水延长:低水延长常采用断流水位法。所谓断流水位是指流量为零时的水位,一般情况下断流水位的水深为零。此法关键在于如何确定断流水位,最好的办法是根据测点纵横断面资料确定。 】
6、流域平均降水量的计算方法。
7、经验频率曲线的绘制方法
【根据实测水文资料,按从大到小的顺序排列,如下左图所示,然后用经验频率公式计算系列中各项的频率,称为经验频率。以水文变量x为纵坐标,以经验频率 p 为横坐标,点绘经验频率点据,根据点群趋势绘出一条平滑的曲线,称为经验频率曲线,下右图为某站年最大洪峰流量经验频率曲线。有了经验频率曲线,即可在曲线上求得指定频率 p 的水文变量值 Xp 。

编辑
添加图片注释,不超过 140 字(可选)

编辑
添加图片注释,不超过 140 字(可选)
对经验频率的计算,目前我国水文计算上广泛采用的是数学期望公式:

添加图片注释,不超过 140 字(可选)

添加图片注释,不超过 140 字(可选)
式中 p-等于和大于xm的经验频率; m —— xm的序号,即等于和大于xm的项数; n —— 系列的总项数。 】
8、频率曲线的三个统计参数各表示什么意义?对频率曲线各有什么影响?

编辑切换为居中
添加图片注释,不超过 140 字(可选)
偏态系数Cs﹥0,说明随机变量x出现大于均值的机会比出现小于均值的机会少;偏态系数Cs<0,说明随机变量x出现大于均值的机会比出现小于均值的机会多 】
10、重现期(T)与频率(P)有何关系?千年一遇洪水,是指什么意思? 95%的年径流其重现期为多少? P=90%的枯水年,其重现期(T)为多少年?以P=90%的枯水年为设计依据,其安全率和风险率各为多少,
【频率曲线绘制后,就可在频率曲线上求出指定频率p的设计值xp。由于"频率"较为抽象,水文上常用"重现期"来代替"频率"。所谓重现期是指某随机变量的取值在长时期内平均多少年出现一次,又称多少年一遇。根据研究问题的性质不同,频率P与重现期T的关系有两种表示方法。

编辑
添加图片注释,不超过 140 字(可选)

编辑切换为居中
添加图片注释,不超过 140 字(可选)
千年一遇洪水是指在长时期内平均1000年出现一次的洪水情况,换句话说,大于等于这样的洪水平均1000年可能出现一次; 95%的年径流其重现期T=20年;P=90%的枯水年,其重现期T=10年,在长时期内平均10年出现一次的枯水情况,若以P=90%的枯水年为设计依据,其安全率和风险率分别为90%和10% 】
11、若年径流量与年降水量之间的回归线近似为幂函数,试以分析法为例说明推求其回归方程的方法步骤?
【幂函数y=axb两边取对数后变为直线方程Y=A+bX,其中Y=lgy,X=lgx,A=lga。因此,此时建立回归方程的步骤为:①将xj,yj变换为Xj,Yj;②按一元线性回归方法计算A、b;③将A取反对数得a;④把a、b代入y=axb中,即得要推求的回归方程。】
12、径流是由降水形成的,但年径流与年降水量的关系不一定很密切,请说明。
13、某流域下游有一个较大的湖泊与河流连通,后经人工围垦湖面缩小很多。试定性地分析围垦措施对正常年径流量、径流年际变化和年内变化有何影响?
【 由于水面蒸发减小,使年径流增加;由于调蓄能力减小,使年际、年内变化加剧。 】
14、人类活动对年径流有哪些方面的影响?其中间接影响如修建水利工程等措施的实质是什么?如何影响年径流及其变化?
【 有直接与间接两方面的影响。修建水利工程等措施的实质是改变下墊面性质而影响年径流,它们将使蒸发增加,从而使年径流量减少;调蓄能力增加,从而使径流的年内、年际变化趋于平缓。 】
15、水文资料的三性审查是指对资料的可靠性 、一致性 和 代表性 进行审查。对年径流系列一致性审查是建立在气候条件和下墊面条件稳定性上的,一般认为气候条件是相对稳定的,主要由于下墊面条件受到明显的改变使资料一致性受到破坏。
16、缺乏实测资料时,怎样推求设计年径流量?
【 缺乏实测资料时,一般可采用水文比拟法或年径流量统计参数等值线图、分区图法求得均值、Cv、Cs,并确定线型,推求年径流理论频率曲线,再由设计频率查此曲线得设计年径流量。 】
17、为什么年径流的CV值可以绘制等值线图?从图上查出小流域的Cv值一般较其实际值偏大还是偏小?为什么?
【 因年径流变化主要受气候因素的影响,后者在地区上的变化具有缓变的规律性,因此,年径流Cv值可绘成随地区变化的等值线图。 因Cv等值线图大多是由中等流域资料计算的Cv值绘制的,而中等流域比小流域有较大的调蓄补偿作用,故从等值线图上查得的小流域Cv值常常比实际的偏小。 】
18、推求设计年径流量的年内分配时,应遵循什么原则选择典型年?
【 选择典型年的原则有二:①典型年的年径流量应接近设计年径流量;②对工程设计偏于安全。 】
19、简述具有长期实测资料情况下,用设计代表年法推求年内分配的方法步骤?
【 方法步骤为:①根据长期年径流系列进行频率计算,推求设计年径流量Qp;②按选择代表年(典型年)的原则,在实际资料中选择典型年Q典;③以K=Qp/Q典分别乘典型年各月的月径流量,得设计年径流的各月径流量,即设计年径流的年内分配。 】
20、简述年径流年内、年际变化的主要特性?
【 (1)年内变化具有一年为周期的周期性变化;
(2)年际变化具有丰、枯年组的交替现象,但周期很不固定;
(3)年内、年际变化还具有明显的地区性,我国北方的径流变化一般比南方多雨地区剧烈。 】
21、何谓保证率?若某水库在运行100年中有85年保证了供水要求,其保证率为多少?破坏率又为多少?
【 用水的保证程度。p=85%;q=1-85%=15% 】

编辑切换为居中
添加图片注释,不超过 140 字(可选)
23、设计洪水的概念。
【 由于流域内降雨或溶雪,大量径流汇入河道,导致流量激增,水位上涨,这种水文现象,称为洪水。在进行水利水电工程设计时,为了建筑物本身的安全和防护区的安全,必须按照某种标准的洪水进行设计,这种作为水工建筑物设计依据的洪水称为设计洪水。在工程设计中,设计标准由国家制定,以设计规范给出。规划中按工程的种类、大小和重要性,将水工建筑物划分为若干等级,按不同等级给出相应的设计标准。 】
24、如何确定净雨历时、产流历时?并阐述等流时线原理。
25、阐述推求设计洪水的途径和方法。

编辑切换为居中
添加图片注释,不超过 140 字(可选)

编辑切换为居中
添加图片注释,不超过 140 字(可选)
3、某水库属大(2)型水库,已知年最大7天暴雨系列的频率计算结果为

添加图片注释,不超过 140 字(可选)
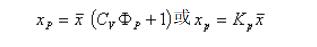
=432mm、CV=0.48,CS=3CV。试确定大坝设计洪水标准,并计算该工程7天设计暴雨。
提示已知适线结果的情况下,推求设计值均用如下公式:

编辑
添加图片注释,不超过 140 字(可选)
答:因为该水库属大(2)型水库,根据水利部2000年颁发的编号为SL 252-2000的《水利水电工程等级划分及洪水标准》,水库工程为Ⅱ等,大坝为2级建筑物,设计洪水标准为500~100年一遇,从工程的重要性考虑,最后选定按500年一遇洪水设计。因为暴雨和洪水同频率,因此要推求500年一遇的设计暴雨,即:

编辑切换为居中
添加图片注释,不超过 140 字(可选)
6、某流域根据实测暴雨和历史调查大暴雨资料,已经绘制出7d暴雨量经验频率曲线,现从经验频率曲线上读取三点(945,5%)、(345,50%)、(134,95%),试按三点法计算这一7d暴雨系列的统计参数。

编辑切换为居中
添加图片注释,不超过 140 字(可选)
7、已知某流域50年一遇24h设计暴雨为490mm,径流系数等于0.83,后损率为1.0mm/h,后损历时为17h,试计算其总净雨及初损。

编辑切换为居中
添加图片注释,不超过 140 字(可选)

编辑切换为居中
添加图片注释,不超过 140 字(可选)

编辑切换为居中
添加图片注释,不超过 140 字(可选)