原文作者:John D Cook。
翻译作者,独行者,哆嗒数学网翻译组成员。
校对,Math001。
关注微信:哆嗒数学网 每天获得更多数学趣文
新浪微博:http://weibo.com/duodaa
将如何用公式描述一个蛋的形状呢?这里告诉你蛋的一个方程如下:

我们会发现,如果k=0,我们便会得到一个椭圆。k越大,越不对称于y轴。
我们在Mathematica上验证一遍:
代码
ContourPlot[
x^2/16 + y^2 (1 + 0.1 x)/4 == 1,
{x, -4, 4}, {y, -3, 3}
]

我们让k=0.05,这样看上去更像是一个椭圆。

对参数的研究
如果要对一个鸡蛋进行详尽的描述,你该如何确定a, b, k的值呢?
令y=0,则2a是鸡蛋的长度。令x=0,则2b是鸡蛋在中心的宽度。需要注意的是,这不是鸡蛋的最高位置,因为最高处在中心的左侧。(如果k是正数,则在左边。k可以为负数,这样最高处则会翻转到y轴的右边)。
我们通过确定最高处x的值来表示k。
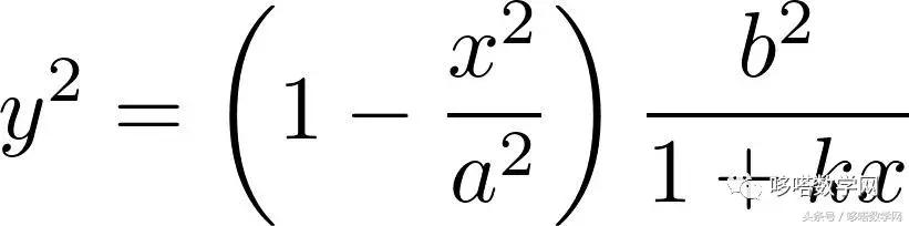
我们有以下方程

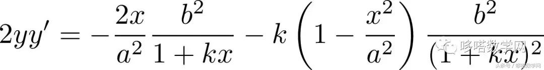
隐函数求导可知

在最高处y的导数为0, 所以等式右边也应该为0。于是我们便知道了k的值。

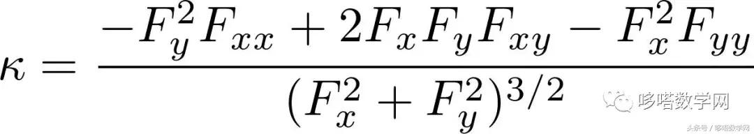
曲率
k值越大,鸡蛋便会在左边变的越平整,右边则会越尖。我们会对鸡蛋两端的变化进行量化分析。
由隐函数F(x,y)=0确定的曲线,曲率可以由以下式子算出

上面的等式在我们关注的(±a, 0)两个点上可以化简掉很多参数。

于是,曲率简化成:

因此,在我们一开始给出的例子当中,当a=4,b=2和k=0.1时,左边的曲率为0.6,右侧的曲率为1.4。第二个例子,k=0.05,则左侧曲率为0.8,右侧曲率为1.2。
同样是这两个例子,那么如何计算鸡蛋的体积呢?

关注微信:哆嗒数学网 每天获得更多数学趣文
新浪微博:http://weibo.com/duodaa