近日,赣榆“恒安嘉园”7幢楼备案价出炉。具体情况,楼下详解。
赣榆“恒安嘉园”7幢楼备案价出炉
赣发改房价备〔2022〕3号
江苏华茂房地产开发有限公司:
你公司开发建设的“恒安嘉园”项目10、15、16、19、20、21、22号楼,位于赣榆区青年路西侧、青口镇政府北侧,根据《关于完善新建商品房销售价格备案管理的通知》(赣价发〔2017〕46号)规定,你公司已到我委对其销售价格进行了备案。
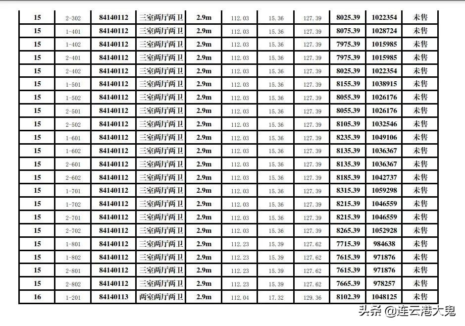
商品住房:备案套数 248 套,备案面积 31110.62 ㎡,平均销售价格 8050 元/㎡。
汽车库、自行车库:备案套数 207 套,备案面积 2890.72 ㎡,平均销售价格 7400 元/㎡。
地下车位:备案套数 16 套,备案面积 413.6 ㎡,平均销售价格 3868.47 元/㎡。
请你公司认真做好明码标价及相关公示工作,公示的销售均价不得高于备案均价,公示的“一房一价”价格不得高于在我委备案的标准,单套实际成交价格不得高于你公司公示的“一房一价”价格。
连云港市赣榆区发展和改革委员会
2022年3月28日






赣榆恒安嘉园规划设计简述
小区位于青口镇青口路西侧、原交通局北侧(原世锦华城小区内),由江苏华茂房地产开发有限公司开发。共有20幢楼,分为多层、小高层住宅多种,分别是6层、8层、11层。





大鬼点评
早在2021年底,赣榆恒安嘉园小区就曾备案5幢楼,分别是5、6、7、8、13#楼,价格也是 8050元/㎡,和目前保持一致。该小区一共新建13幢楼,此次又有7幢楼备案,还剩最后1幢没备案。
具体到青口河南片区楼市,已经很多年没有新楼盘,成规模的小区主要是上元府邸、华中俊府、锦绣江南、华南鑫村等,还拥有很多单体楼、无物管小区以及民居。但随着碧桂园公园大道、恒安嘉园以及河南片区安置小区的重建,计划引进赣榆第三家商业综合体,该片区在未来几年也将迎来新的发展变化。