结果出炉
7月12日上午
由武进区教育局、新北区教育局、
钟楼区教育局、天宁区教育局组织
常州公证处实施的
民办小学招生电脑随机派位 顺利举行
10所 民办小学招生“摇号”结果出炉
下午3点在各学校网站公布了录取名单
武进 3所 学校
电脑随机派位产生 886个 顺序号

据了解, 武进区共有3所民办小学参加“摇号” ,分别是 星辰实验学校 、 星韵学校 、 清英外国语学校 ,今年有效报名人数2621人,所有民办小学报名人数均超过招生计划数,实施电脑随机派位。

具体名单在这!

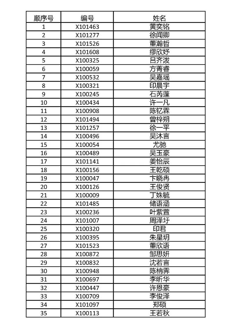
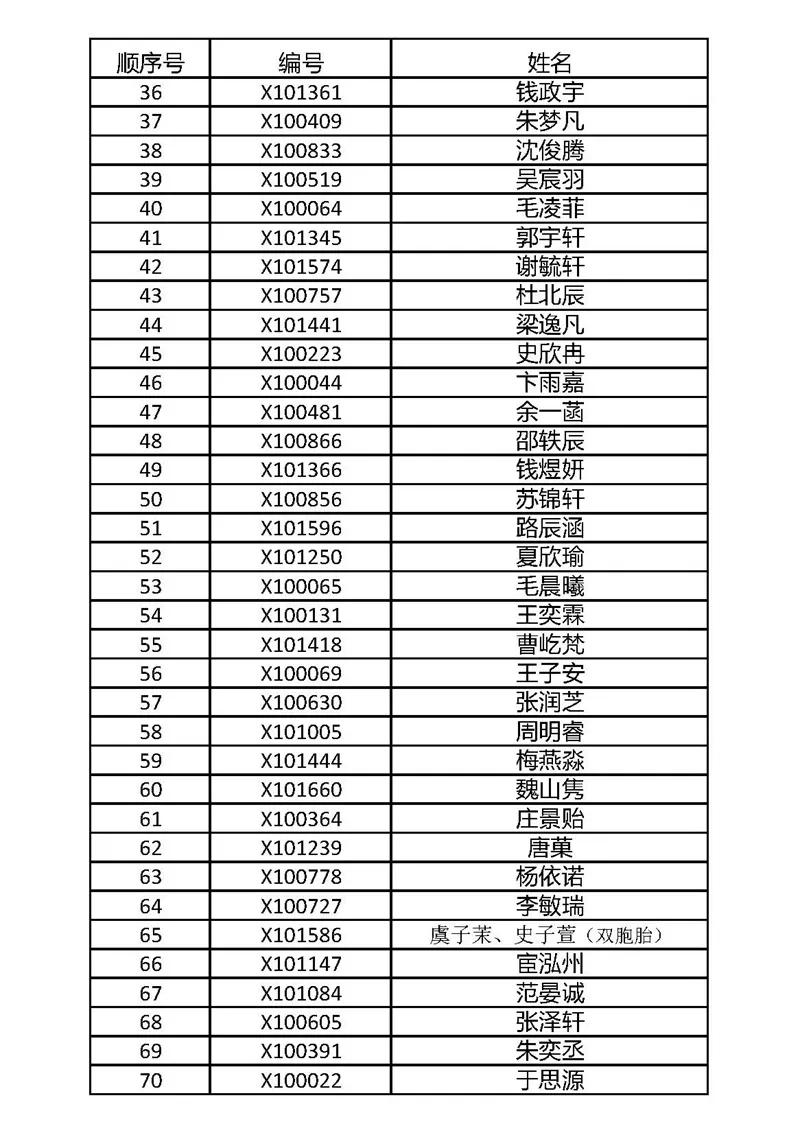
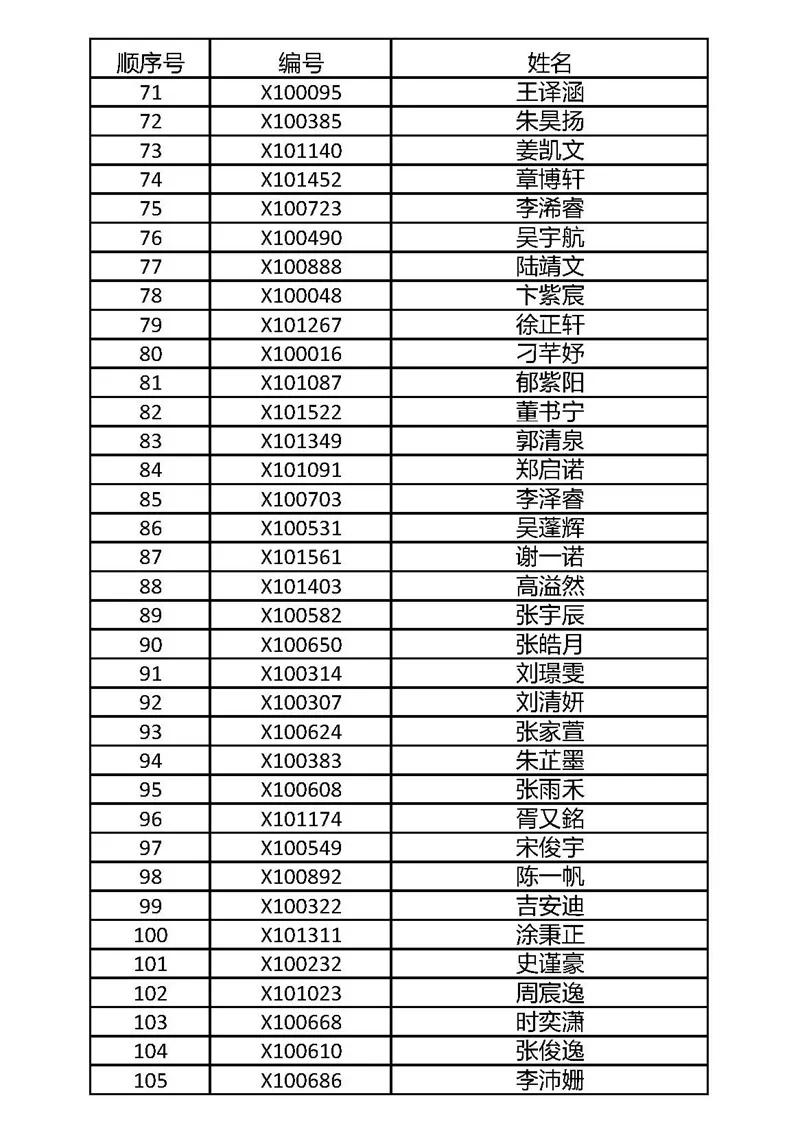
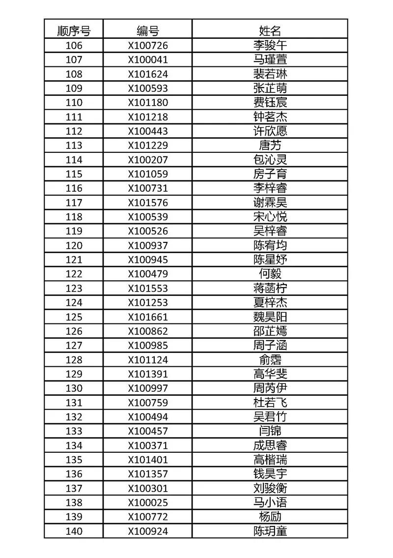
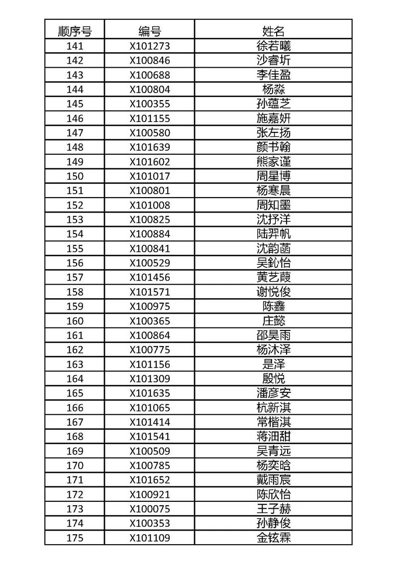
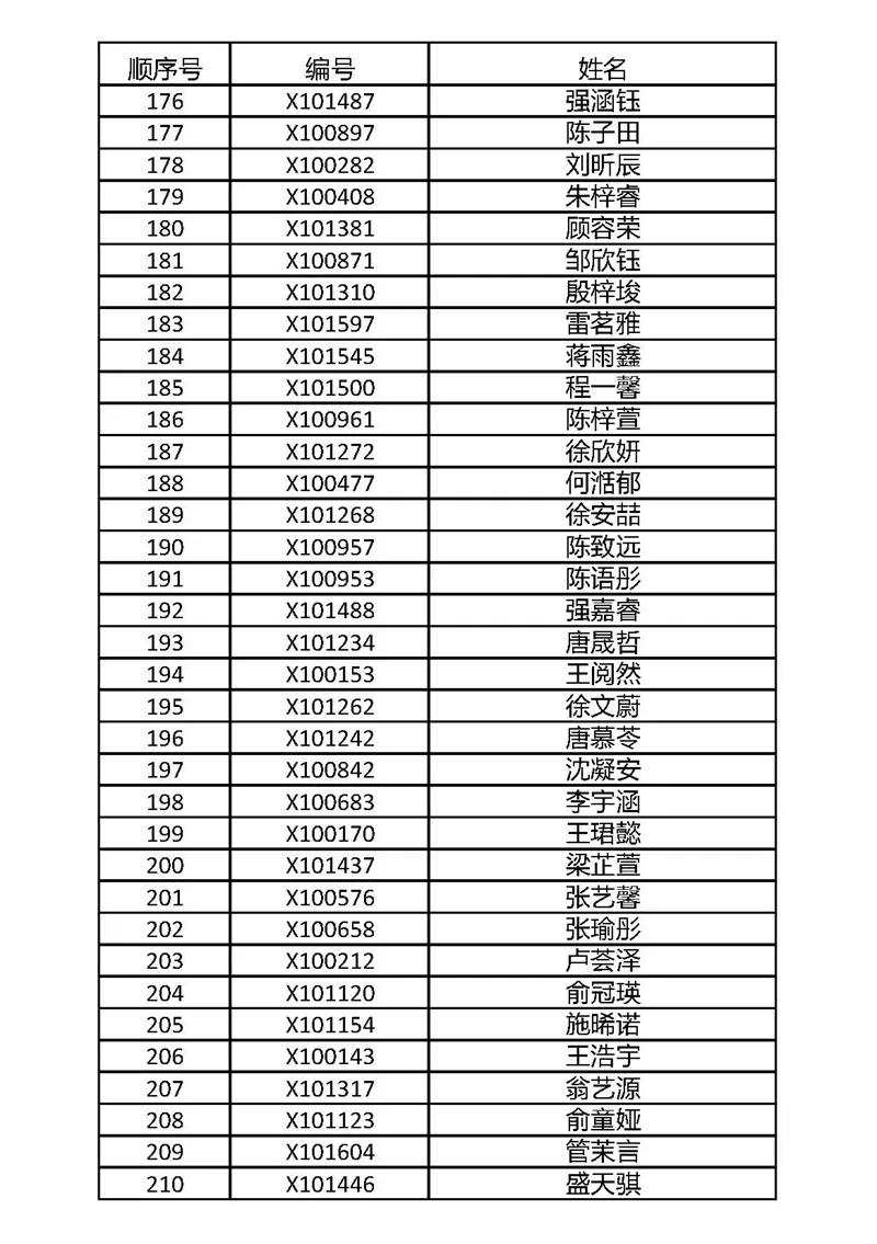
常州市武进区星辰实验学校

根据《关于做好2021年全市幼儿园、义务教育学校招生及小学毕业工作的指导意见》(常教发〔2021〕5号)文件精神,7月12日经常州公证处现场公证,电脑随机派位产生240名学生,为2021年秋学期拟录取新生。现将电脑派位录取名单公布如下:







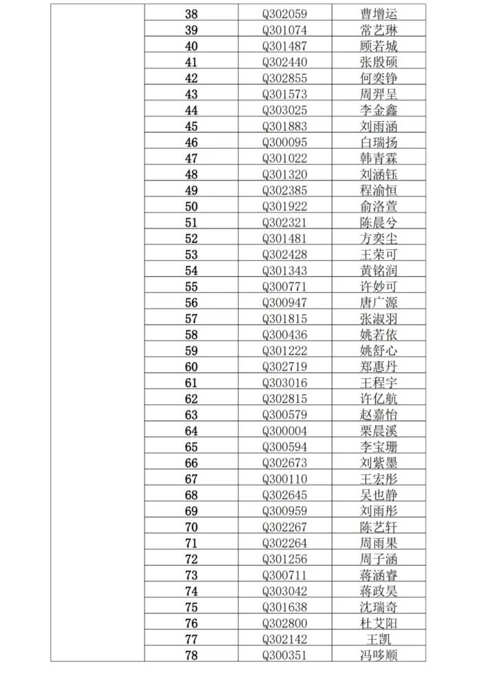
常州市武进清英外国语学校

根据《关于做好2021年全市幼儿园、义务教育学校招生及小学毕业工作的指导意见》(常教发【2021】5号)文件精神,7月12日经常州公证处现场公证,电脑随机派位产生普通班220位(其中双胞胎5对),双语1班26位,为2021年秋学期拟录取新生。现将电脑派位录取名单公布如下:
普通班录取名单






双语1班录取名单

常州市武进区星韵学校










对于没有派位成功的学生
将回到施教区公办学校就读
家长不需要担心孩子的入学问题

今年,民办学校电脑随机派位办法与去年基本相同,由民办学校所属教育主管部门统一组织实施,在常州公证处主持下规范操作,并邀请民办学校负责人、学生家长、人大代表、政协委员等有关方面代表以及纪检监察人员参与电脑随机派位过程,接受社会监督。
据介绍,今年,我市 首次实施“双胞胎绑定” 参加电脑随机派位政策。家长在报名时,自愿申请“双胞胎绑定”,若绑定电脑随机派位,双胞胎将作为一个号,同时派中或同时不派中;若家长不申请,双胞胎子女将与其他学生一样,可分别参加电脑随机派位。
“摇号”现场
整个过程大致分为
“摇前、摇中、摇后”3个阶段
共计15项流程
整个“摇号”过程公平公正、公开透明

“摇前”阶段共有4项流程:
第1项: 核实公证员、电脑操作员社会关系,确认其没有子女和*亲近**属的子女参与本次“摇号”;
第2项: 公证员核对民办小学提交的报名学生名单,并刻录光盘予以封存;
第3项: 公证处提供不连接网络的“摇号”专用电脑,对电脑进行清洁性处理后予以封存;
第4项: 封存由公证处负责经权威机构检测合格的专用“摇号”软件光盘一式2份。
“摇中”阶段共有8项流程:
第5项: 公证员抓阄选取1名家长代表;
第6项: 随机产生的家长代表在事先封存的3台电脑中随机选择1台作为本次“摇号”使用的电脑;
第7项: 随机产生的家长代表在2张软件光盘中随机选择1张交给工作人员;
第8项: 工作人员现场拆封软件光盘和学生信息光盘,安装软件,导入学生名单;
第9项: 启动“摇号”程序,所有学生姓名、编号在屏幕上随机滚动;
第10项: “摇号”软件根据每所学校的招生计划数,一次性随机生成录取学生名单;
第11项: 工作人员导出、打印、刻录录取学生名单,并加盖公章,分别交由学校、市(区)教育局以及公证处留存;
第12项: 一轮“摇号”结束后,工作人员删除“摇号”软件,清空电脑,进行下一轮“摇号”,以此类推,直到所有学校全部结束。
“摇后”阶段共有3项流程:
第13项: 公证员致公证词;
第14项: 公证处在现场对“摇号”使用的电脑及软件予以封存,封存期为7天;
第15项: 保存“摇号”现场全程录像资料。
融媒体记者 蒋雯
新媒体编辑 小健