(一)等差数列求和公式
1.公式法

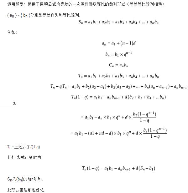
2.错位相减法

3.求和公式

4.分组法
有一类数列,既不是等差数列,也不是等比数列,若将这类数列适当拆开,可分为几个等差、等比或常见的数列,然后分别求和,再将其合并即可.

5.裂项相消法
适用于分式形式的通项公式,把一项拆成两个或多个的差的形式,即an=f(n+1)-f(n),然后累加时抵消中间的许多项。

小结:此类变形的特点是将原数列每一项拆为两项之后,其中中间的大部分项都互相抵消了。只剩下有限的几项。
注意:余下的项具有如下的特点
1、余下的项前后的位置前后是对称的。
2、余下的项前后的正负性是相反的。
6.数学归纳法
一般地,证明一个与正整数n有关的命题,有如下步骤:
(1)证明当n取第一个值时命题成立;
(2)假设当n=k(k≥n的第一个值,k为自然数)时命题成立,证明当n=k+1时命题也成立。
例:
求证:
1×2×3×4 + 2×3×4×5 + 3×4×5×6 + .…… + n(n+1)(n+2)(n+3) = [n(n+1)(n+2)(n+3)(n+4)]/5
证明:
当n=1时,有:
1×2×3×4 = 24 = 2×3×4×5/5
假设命题在n=k时成立,于是:
1×2x3×4 + 2×3×4×5 + 3×4×5×6 + .…… + k(k+1)(k+2)(k+3) = [k(k+1)(k+2)(k+3)(k+4)]/5
则当n=k+1时有:
1×2×3×4 + 2×3×4×5 + 3×4×5×6 + …… + (k+1)(k+2)(k+3)(k+4)
= 1×2×3×4 + 2×3×4*5 + 3×4×5×6 + …… + k(k+1)(k+2)(k+3) + (k+1)(k+2)(k+3)(k+4)
= [k(k+1)(k+2)(k+3)(k+4)]/5 + (k+1)(k+2)(k+3)(k+4)
= (k+1)(k+2)(k+3)(k+4)*(k/5 +1)
= [(k+1)(k+2)(k+3)(k+4)(k+5)]/5
即n=k+1时原等式仍然成立,归纳得证
7.并项求和法
(常采用先试探后求和的方法)
例:1-2+3-4+5-6+……+(2n-1)-2n
方法一:(并项)
求出奇数项和偶数项的和,再相减。
方法二:
(1-2)+(3-4)+(5-6)+……+[(2n-1)-2n]
方法三:
构造新的数列,可借用等差数列与等比数列的复合。
an=n(-1)^(n+1)
(二)等差数列判定及其性质
等差数列的判定
(1)a(n+1)--a(n)=d (d为常数、n ∈N*)[或a(n)--a(n-1)=d,n ∈N*,n ≥2,d是常数]等价于{a(n)}成等差数列。
(2)2a(n+1)=a(n)+a(n+2) [n∈N*] 等价于{a(n)}成等差数列。
(3)a(n)=kn+b [k、b为常数,n∈N*] 等价于{a(n)}成等差数列。
(4)S(n)=A(n)^2 +B(n) [A、B为常数,A不为0,n ∈N* ]等价于{a(n)}为等差数列。
特殊性质
在有穷等差数列中,与首末两项距离相等的两项和相等。并且等于首末两项之和;特别的,若项数为奇数,还等于中间项的2倍,
即,a(1)+a(n)=a(2)+a(n-1)=a(3)+a(n-2)=···=2*a中
例:数列:1,3,5,7,9,11中a(1)+a(6)=12 ; a(2)+a(5)=12 ; a(3)+a(4)=12 ; 即,在有穷等差数列中,与首末两项距离相等的两项和相等。并且等于首末两项之和。
数列:1,3,5,7,9中a(1)+a(5)=10 ; a(2)+a(4)=10 ; a(3)=5=[a(1)+a(5)]/2=[a(2)+a(4)]/2=10/2=5 ; 即,若项数为奇数,和等于中间项的2倍,另见,等差中项。
声明:以上来自网络,若有侵权请联系更改或者删除!!