
本文作者/姜天涯
上海有一个百年老哏。
无论是过去的各种上海喜剧表演形式,比如滑稽戏、独角戏、电影、广播剧,还是今天各种新式的本土娱乐形式,比如脱口秀、短视频等等,“苏北”这两个字,是永远绕不过去的。
那么,为什么“苏北”会成为上海长盛不衰的老哏呢?
01
这几年迅速崛起的上海本土脱口秀、短视频,让苏北话再度成为一个热哏。
在某场线下脱口秀里,有演员吐槽了自己有路怒症的朋友。
“只要看到前面江苏牌照,伊马上火就大哦,喉咙响起来,哪能回事体啊,侬个苏北人,会开车子伐啦?”
他将苏北人在上海的地位,和黑人在美国的地位类比,进而提出了“Subo Lives Matter”的口号。

在一场脱口秀上,演员说到了“苏北”这个上海人熟知的哏。
当然,这是经过喜剧化处理的桥段说辞,观众也没有必要当真。
数十年来,但凡以“上海”、“搞笑”为tag的博主,几乎是绕不开苏北人和苏北话的。
最近一次围绕“苏北”的热议,是《爱情神话》里城管带苏北口音的一句台词:“脚踏车不好停在这里的啊,推走推走!”
其实在上海,苏北形象是一种近乎传统式的存在。这是各类喜剧中经常存在的一类形象。
这其中影响力最大的,当属1987年开播的广播剧《滑稽王小毛》。

1987年11月19日《解放日报》上关于《滑稽王小毛》热播的新闻
这档节目曾陪伴上海市民25年。王小毛原本在苏北农村务农,1980年代到上海,顶替妈妈进工厂上班。
剧中的王小毛操一口苏北口音的上海话。
这部广播剧的主题曲也是用苏北话唱的:“笑也是乐(la),乐(la)也是笑。我是滑稽王小毛~哦王小毛。”
编剧葛明铭曾在街道生产组工作,当时的厂房在石库门居民楼。
每到中午,他都会听到住在楼上的苏北老太喊自己的孙子:“小毛,小毛~喫饭,喫饭~”于是,“王小毛”便成了他构想中的名字。

1988年3月28日《解放日报》上关于票选王小毛漫画形象的资讯
而王小毛的设定,也是那个时代的缩影。
王小毛的扮演者之一王汝刚曾在采访中说:“这个和当时的顶替政策有关。那个时候上海街头就是有很多方言混杂。”
外地人初到上海,由于方言和生活习惯上的差异产生笑料——这是滑稽剧目的经典叙事。
1958年,大众滑稽集团协助演出的《三毛学生意》中,三毛是一个苏北乡下来的少年。电影中,三毛的第一句台词就是“哎呦喂,乖乖啊”。

电影《三毛学生意》剧照
也是这一年,大公滑稽剧团创作的经典滑稽戏《七十二家房客》进行了首演。剧中的主角之一,就是苏北小皮匠。
很多滑稽戏、独角戏里都有苏北话和苏北人的形象出现。
比如经典独角戏《十三个人搓麻将》、《方言杂谈》、《头头是道》、沪语小品《告别石库门》等。
甚至独角戏最初出现的时候,也用了苏北话。
上海第一个尝试表演独角戏并将其引进舞台的,是钱化佛。
1915年他在“三马路大新街口”演出《西太后》时,用扬州方言演唱京戏《空城计》片段,并用扬州话报了一段菜名。

1915年4月30日《申报》刊登的《西太后》演出广告
后来这种以方言反差和地域差异而制造笑料的手法,一直是上海滑稽重要的招笑手段之一。
02
在通刷了一番经典滑稽戏之后,一个疑问出现了。
出现在滑稽戏、脱口秀里面的苏北,是面目模糊的。相对而言,苏南就有名有姓。
比如姚慕双、周柏春的经典独角戏《十三个人搓麻将》中,广义上属于苏南吴语片区的人物有苏州人、常熟人、常州人、丹阳人、无锡人。
而苏北人是作为一个整体形象出现的,被统称为“苏北人”。

《十三人搓麻将》中,相比苏南各地,苏北是一个模糊的概念。
那么到底什么是苏北话?苏北话又来自哪个具体的苏北?
这两个问题放在以散装出名的江苏省,就成了天问。绝大多数上海人是根本搞不清的,绝大多数江苏人估计也同样懵。
知乎上就有这样的提问:“上海土著所说的苏北口音,具体是指江苏哪些市的口音?”回答五花八门,出入颇大。
为此我们专门请教了表演艺术家王汝刚。
他回答说:“我们讲的苏北话,以江淮话为主。所谓江淮话,就是盐城、扬州这一带的语言。”
但具体到每一个角色,王汝刚都会列人物小传,根据人物唱段区分。
“同样在苏北,如果塑造的人是有书卷气的……我就会用扬州话。劳动人民(的话),一般以盐城话为主。”
1978年版本的《七十二家房客》中,王汝刚饰演的苏北小皮匠就是盐城人。“因为戏里有唱段,他唱的是淮剧,而不是扬剧。”

1978年版的《七十二家房客》中,王汝刚(右)扮演了苏北小皮匠这一角色。
“而我在《海上第一家》演的饭店老板阿强,开个大酒楼。他祖籍广东,说的是一口上海话,但会根据饭店迎来送往的客人,说不同的方言。”
“在这当中有扬州话。我的依据是他后面有一个大段的表演,是为出身扬州的清代末科榜眼朱老先生说扬州评话,那我的语言根据就有了。”
有一点需要说明一下,其实根本不存在“苏北话”这个词。只有具体的扬州话、盐城话,或者语言学上称为“江淮官话”。
而大家广义上理解的“苏北话”,并不是现在地理、经济概念上的苏北。因为更北的徐州、宿迁,说的是中原官话,已经属于北方官话的一个分支了。
03
苏北口音的带偏能力堪比东北口音。
就像跟一个东北人聊完天,讲话会自带大碴子味,和苏北人聊完,也有同等效果。苏北话抑扬顿挫的节奏感,感染力很强。
但要成为一个百年老哏,苏北话还得有顽强的生命力。
一个宁波人到上海几代后,后代有可能讲不来宁波话了。
但苏北话却有着超强的生命力,一个上海苏北后代的语言模式很可能是这样的——在家讲苏北话,出门讲上海话/普通话。
甚至对他人讲上海话,但转身对自家的狗狗说苏北话。
过去在上海生活的人,生活中多多少少会受到苏北话的感染和带偏,会说几句苏北话就自然而然了。
苏北话是如何做到对内传承,对外通吃的?
一个显而易见的原因是,相较于吴语,属于江淮官话的苏北话更好懂。
举个例子,上海国棉十七厂的全国劳模黄宝妹,上世纪50年代的时候经常要去外地推广经验。
作为浦东高桥人,不会说普通话的她,到了外地就无法和当地人交流。最后她想出了用苏北话和外地人沟通的办法。

黄宝妹后来接受采访,回忆了身为浦东人用苏北话跟别人交流的往事。
“苏北话比上海话好懂。我们小组全部都是苏北人,只有两个是浦东人,我苏北话可以讲的。”她曾在纪录片里说道。
苏北话属于江淮官话,而在中国约有七成人口以官话为母语。
王汝刚这么解释为什么苏北话这么有哏:
“江淮地区正好是处于南北交汇之处。它的语言既有南方的细腻和生动,又有北方的粗旷、豪迈,是南北语言的融汇之处。”
“而且苏北方言能使很多观众听懂,北方观众也能听懂,南方观众也能听懂。只有让人听懂,才能产生笑料。”
当然,这也和苏北人在上海的移民史有关。
并不是一开始就天然存在“苏北”概念的。
在清代中期以前,长江以北是繁荣之地。在19世纪,随着大运河被海运取代,以及1853年黄河改道,苏北走向衰落。
1860年代晚期的饥荒,20世纪前三十年的洪水、贫困,之后的战争,使得大批江淮一带的人向南迁移。
这些苏北人划着小船,沿水路一路向南。当时逐渐成为远东中心的上海,成为了他们南下的终极目的地。

电影《三毛学生意》中,剃头师傅听出了三毛的乡音出于同情收留了他。
伴随着移民的形成,包邮地区开始渐渐有了“江北”的概念,指的是长江以北地区(作为贬义词的“江北”,后逐渐被中性词“苏北”取代)。
但江北/苏北的概念,在上海和江南以外的地方并不存在。
在上海,狭义的“江北/苏北”一般指长江以北、说江淮官话的江苏地区。
绝大多数逃荒来沪的苏北人,属于无计划和被迫移民,在上海无亲无故,也没有宁波人做生意、广东人开百货的同乡根基,只能从事底层的劳动工作。
于是苏北人承包了当时上海绝大多数的服务性行业,例如:拉黄包车、码头装卸工、清洁工、沐浴理发、倒马桶工、小皮匠、拉粪车工等。
以人力车夫为例,1934年上海从事该行当的人有10万左右。
根据当时的一项抽样调查,苏北籍占了超过90%,大多来自盐城和阜宁,以至于苏北方言成为该行当的流行语。

1934年上海市社会局抽样调查数据 (东台现由盐城市代管)
而扬州人则大多从事三把刀(厨刀、修脚刀、剃头刀)的工种。
这种情况一直持续到解放后。
1959年,上海的三轮车工人中,苏北籍还占到了76.94%。1982年闸北区清洁卫生管理所的工人中,依然有58.04%的苏北人。
从事服务行业,使得苏北人和本地人、其它地区的移民,产生了广泛的接触,苏北话也就渗透到城市生活的角角落落。
而这些当时逃难/移民而来的苏北人,他们在上海选择的群居方式,也大大加强了苏北话在上海的生命力。
大量苏北移民到了上海之后,他们以相对集中的形式,居住在在苏州河北岸、铁道两侧以及城市周边荒地,搭棚栖居或者租住廉价的棚屋。
这一模式一直延续到了解放后。著名的番瓜弄、潭子湾、朱家湾、潘家湾和药水弄等地,苏北人占比都在30%以上。

潭子湾、潘家湾、王家宅地区被称为“两湾一宅”,曾是市区最大的危棚简屋地区。 /陈泰明 摄
聚集使得苏北话在这些棚户区得到高频使用,进一步巩固了苏北话生生不息的活力。
1996年开始旧改前的虹镇老街,以及这两年刚刚开始动迁的定海桥区域,苏北话直到居民搬离前的那一刻,还是当地的通用方言。
聚居和就业范围,决定了苏北人在上海的另外一种生活方式——内部通婚比较多。
苏北人一直到上世纪90年代之前,都很难和其它地区的后代通婚。
这是由社会偏见导致的。老报纸里,择偶难曾是苏北后裔的普遍遭遇。
“一位户籍民警说起这么一件事:前不久,一个男青年怒气冲冲地到他这儿说要坚决改掉苏北籍贯……与他谈了4年之久的女友,和他在领结婚证书时,硬是一下子变了脸。女友的理由简单而滑稽:‘哼,你对我隐瞒了籍贯!我上当了!’”
——1989年的1月的《解放日报》写道。

1989年1月12日《解放日报》上的报道
“我叫张强,今天二十八岁。近年来,我谈了几次恋爱均告失败。而失败的唯一原因是我的籍贯是苏北人。记得一位女友同我分手时说:‘你什么都好,就是籍贯不好。’”
——1987年3月11日的《新民晚报》记录了这样一段“电话传呼”。

1987年3月11日《新民晚报》上的报道
这段报纸的记录其实很有意思。
要知道,户口本里的籍贯肯定不会写“苏北”,当年报纸直接就把“籍贯是苏北人”这个说法登出,间接说明了上海人对苏北的观念既坚定又模糊。
也难怪《苏北人在上海,1850-1980》一书的作者美国人韩起澜,花了好几年才意识到这一点。她在书的前言里写道:
“ 在我已经工作了好几年之后才吃惊地认识到,根本不存在关于苏北或苏北人的明确定义…… 我发现苏北并不是一个客观的、明确界定的地区,而是代表一种关于某一特定地区同质同类的信念。”
“该地区可以包括整个江苏北半部,也可以仅指某些部分;它可以包括邻省山东、安徽的一些地区以及江苏南半部某些地区,就看你问谁了。”

美国学者韩起澜撰写了这本研究苏北人的经典著作
1983年的《报刊文摘》的《建国以来青年择友觅偶标准要求初探》一文(摘录自《社会学通讯》)中,上海女青年在70年代至80年代初的择偶标准之一就是,“不愿与苏北人结缘”。
1984年的一项调查发现,上海年轻一代苏北人大约70%同苏北人结婚。闸北区1986年的婚姻登记档案中,甚至80%原籍苏北人选择苏北籍配偶。
因此一直到30多年前,上海苏北后代在婚姻大事上,很可能还是内部消化,他们的小孩还是说苏北话。
以此,苏北话在上海的生命力既悠长又强大,其他移民方言,比如早期移民的苏南方言、宁绍方言,一比之下都是小透明。
04
由于职业构成、经济条件、居住状况、文化水平等因素,一种对苏北的刻板印象弥漫在上海近百年。它是如此根深蒂固,以至于可以指代一切心理上的负能量。
曾经的歧视,在生活的方方面面。
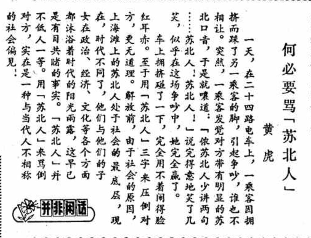
1982年11月29日的《解放日报》批评过这种现象。
《何必要骂“苏北人”》一文写道:
“在24路电车上,一乘客因拥挤而踩了另一乘客的脚,引起争吵,谁也不想让。突然一乘客发觉对方有明显的苏北口音,于是就嚷道:‘侬苏北人少讲两句……苏北人!苏北人!’说完得意地笑了几笑,似乎在这场争吵中,她完全赢了。”

1982年11月29日刊登在《解放日报》上的文章
即便是跨越太平洋,这种偏见也成为某种指涉。
在研究苏北人的经典著作《苏北人在上海》一书中,美国学者韩起澜也举了一个类似的例子:
“一位在解放前上海家境殷实的老年妇女解释道,每当她在纽约乘地铁想要抱怨波多黎各人或非洲裔美国人的行为时,就把他们说成苏北人。”
40年前,一个苏北籍青年,是断然不敢开口暴露自己的苏北口音的。他们在生活中的种种遭遇,让他们甚至想要修改自己的籍贯。
“在本市数十万苏北人中,南市、杨浦、普陀等区已有相当部分苏北籍市民身不由己地更改了籍贯。”
——1989年1月12日的《解放日报》中《与其受人白眼,不如一改了之》报道。
80年代,作家程乃珊根据自己在杨浦区生活的经历创作了小说《穷街》。

小说《穷街》后来被改编为电视剧,曾在杨浦定海路街道取景拍摄。
这个中篇小说里,男主张祥麟的侄子,把学生登记表上的籍贯,从江苏盐城改成了浙江宁波。
在这篇小说里,张祥麟和他的学生分享了自己童年的经历:
小时候,张祥麟因为同学骂他“小江北”而对同学发了火。老师叫来双方家长。
同学的母亲反问道:“你是江北人嘛,她骂错了嘛?”
张祥麟的母亲愤愤不平道:“江北人怎样?江北人就不是人了?”
这个桥段可能是有记载的“Subo Lives Matter”最早的觉醒了。
但这样的桥段,在新世纪已经几乎不会出现了。苏北歧视,正在或已经成为历史。
歧视的消解,是现实层面的原因,这包括经济的进步,城市的发展,以及人们观念的转变。
在近30年上海的大变样中,棚户区几乎消失了,按照族群分布的聚居模式被彻底打破。
著名的苏北人聚集区“两湾一宅”,现在变成了“中远两湾城”。虹镇老街变身瑞虹新城和太阳宫。

曾经的“两湾一宅”如今成了大型楼盘“中远两湾城”
聚居模式和就业方向也完全打破了陈规,第一批苏北移民的后代已经到了第四五六代,上海苏北后裔已经可以说一口流利的上海话或者普通话了。
至于通婚,在意籍贯上那几个字的人寥寥无几了。
进入21世纪后,上海的新移民群体更是来自全国各地,这一点,让上海市民很难再形成对单一区域来源移民群体的特别看法。
随着苏北移民及后裔独特性的消失,等到10后、20后成年的时候,上海的年青一代也许再也没人能get到苏北哏了。
回望苏北移民和苏北方言在上海的这段历史时,我们深深地体会到这样一个小道理——越是卑微的,越是强大。

参考资料:
1. 韩起澜、卢明华,《苏北人在上海,1850-1980》,上海古籍出版社,2004年8月。
2. 胡劲军、凌美芳,上海市文化广播影视管理局编著《滑稽戏》,上海人民出版社,2014年。
3. 钱程,《滑稽戏里的“诸葛亮”为什么用扬州话唱<空城计>》,解放日报,2018年10月17日。
4. 荀澄敏、吴飞,《笑也是乐,乐也是笑,我是滑稽王小毛》,新闻晨报,2018年8月13日。
5. 刘庆,《上海滑稽论述》,上海戏剧学院研究生学位论文,2006年4月。
6. 陈中亚、应延甲、许志远、吴立江,《关于歧视苏北人情况的调查》,社会,1983年4月。
7. 孔祥成,《现代化进程中的上海人力车夫群体研究——以20世纪20-30年代为中心》,学术探索,2004年第10期。
8. 何雅君,《30年成片旧改圆130万户“安居梦”》,新闻晨报,2022年8月1日。
9. 周健,《与其受人白眼,不如一改了之,本市部分苏北人更改籍贯》,解放日报,1989年1月12日。
10. 《面对偏见的挑战》,新民晚报,1987年3月11日。
11. 董锡健撰文,胡德荣摘编,《建国以来青年择友觅偶标准要求初探》,报刊文摘,1983年3月22日。
12. 黄虎,《何必要骂“苏北人”》,解放日报,1982年11月29日。
13. 郑依菁、田波澜,《她在写作和现实中重建“老克勒”传统》,东方早报,2013年4月23日。
14. 邵建,《1949以来上海苏北人歧视的消解》,史林,2009年12月。
- END -
写稿子: 姜天涯/ 编稿子: 韩小妮/
拍视频: 姚祖鸿 姜天涯 陈不好玩/
写毛笔: 杨 卓/ 做图片: 二黑/
拿摩温 : 陈不好玩/
版权所有,未经允许请勿转载
请给我们留言,获取内容授权