个人觉得,作曲=乐理+灵感+小技巧。
乐理:和声理论,调式什么的。
灵感:游山玩水心情高高兴兴,乐兴大发;失恋了,心如死灰,在蓝瘦香菇的低落情绪下,一小段旋律在脑海闪现。
小技巧:可以称之为作曲的套路,这个可以让零基础的人很快弄懂,很快上手。
下面是各种会看简谱就能看懂的作曲套路:
1
模进
刚学音乐那会,一直把老师说的“模进”听成“魔镜”,当时因为这个名字肃然起敬,一直把它当作很牛X的技巧。事实上,也确实如此。
乔吉奥•莫罗德尔(就是写汉城奥运会主题曲hand in hand的大佬)曾说过:“我要创作的歌,首先要超越一切政治制度和国界,传达人类和谐这一基本信念。曲调力求朴实,使非英语国家的人民也容易学唱。掌握歌曲流行的一些基本因素,比如注意到歌词的简洁和旋律的美与流畅,音域的适度。运用重复、模进等手法也很重要。”
看到大大的“模进”两个字没有?!好了,正片开始,什么是模进?
举个栗子:

随手写段旋律
我把其中一部分拿出来:
123,234,345
有没有发现什么规律(小学一年级数学题),这就叫“模进”。
再看下一个栗子,比如我要写一段电吉他solo快速音符。

把第一个小节的数字拉出来
6716,7127,1231,2342
来,找规律又开始了(假设这里是八进制)。

简单旋律背后的奇妙数学
看看线段相连接的数字,看看框框内的数字。
2
成语接龙
成语接龙就是一句话末尾的音,跟下一句开头的音相同。(学文学的知道 “顶真”的话,可以更好理解)。

稍微修改了下“菊花台”
有没有发现什么?
123,356,6121121
“成语接龙”可以让旋律非常连贯。
再举一个栗子:

这也是“成语接龙”的一种体现
3
见缝插针
“见缝插针”的意思呢,就是在相连的音中间再插入一些音。可以是插入相同的音,或者相邻的音。
栗子:

借用一下“小星星”的旋律
4
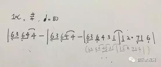
3 + 1
这种套路也可以称之为“变化型重复”,为什么称之为“3+1”,看:□□□○(每个符号表示一段小旋律)3个正方形,1个圆形。前三部分重复,第四部分变化。
让我们听听HIM的Don't close your heart的副歌。

Don't Close Your HeartH.I.M - Deep Shadows And Brilliant Highlights

一开始我们不用写那么复杂,可以从简单的3+1开始。
就像这样:

前面6364重复三遍,第四遍加了些变化
可以把用前三种方法创作的小旋律X3,再另外写一段第四段组成一段长的旋律。
还有好多好多这样的小技巧,想到再补充,让零基础的一下子弄懂乐理知识有点难,不知道这些套路是不是足够简单?
授权转载自知乎用户:不会魔法的*法大**师