假如直接将太阳置换成比邻星而不调整各大行星轨道的话,将会有两个结果!一个结果是出走太阳系,另一个结果是冰封太阳系,您喜欢哪个?但是没得选,因为是买一赠一的!
一、太阳换成比邻星后,地球到底会不会出走?

这是太阳与半人马座α三星系三颗恒星的大小比较,而比邻星Proxima的质量约只有太阳的12.5%!从理论上来看,大小质量相差那么大,地球的轨道速度高达30KM/S,也许早就超过了地球的逃逸速度飞出太阳系了!当然地球到底会不会出走,咱来计算一下便知!
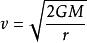
太阳的逃逸速度计算公式,即太阳的第二宇宙速度:

太阳质量:1.9891*10^30千克
比邻星质量:1/8太阳
万有引力常数:G=6.67×10-11N·m²/kg²
半径r为1.5亿千米,那么代入计算后:
v=√2×6.67×10-11N·m²/kg²×1.9891*10^30千克/1.5亿千米
计算得:
v=42067.3250M/S,即太阳系地球轨道上的逃逸速度为42KM/S左右
如果太阳换成比邻星:
v=√2×6.67×10-11N·m²/kg²×1.9891*10^30千克/1.5亿千米/8
v=14932.34M/S,即15KM/S不到即可逃逸!
另此处比邻星的环绕速度为:10516.8M/S即:10.5KM/S
地球在轨道上运行的速度高达30KM/S,那么假如将太阳直接换成比邻星的话,地球直接就出走了,都不带回头!
二、太阳换成比邻星后会不会冰封太阳系?

上图是比邻星的宜居带,在水星轨道内,假如太阳之换成比邻星,地球降低速到比邻星的环绕速10.5KM/S继续环绕比邻星的话,那么等待地球的世界大概就是木卫二或者木卫三这样的冰封地球,比冰河世纪还要厚的冰覆盖地球!

唯有将地球速度再将低,到达水星轨道内极其靠近比邻星的轨道上运行才有可能保证获得足够的光照,但比邻星这颗质量不太够的红矮星燃烧并不稳定,时不时的来一次超级日饵爆发,地球就危险了哦……

因此各位想像的在地球上看比邻星夕阳的日子是不多的,因为指不定那次爆发就把地球给灭了!