什么是惯性
这里的惯性,和我们日常说“某某很胖,惯性很大”的惯性是一个意思,指的是这个系统拥有保持原有状态趋势的能力。
砂锅系统
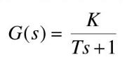
惯性环节,之所以让人困惑,是因为它一般用“传递函数”来表示,

一阶惯性环节
其实,它的意思很简单,指输出相对输入有“惯性”。
传递函数是自动控制领域的基本概念,它是对系统“输入-输出”特性的描述。
听起来很抽象,但这个现象在生活中无处不在,比如,砂锅炖鸡系统:

砂锅系统
“火焰大小”到“鸡汤的温度”,是一个可以用一阶惯性环节描述的系统。
为什么用砂锅
砂锅一般由陶土烧制而成,直观来看,砂锅煲汤有明显的特点和优势:
汤汁温度稳定,加热均匀。
试想,如果用薄薄的“铝锅”来炖汤,我们就会发现:
火力稍小,鸡汤加热力度不足;火力稍大,鸡汤过于沸腾,水分蒸发过快,无法保持一个较好的“微微沸腾”的状态。
我们直观地解释就是:薄薄的铝锅传导热量很快,而且铝锅本身保温性能不佳,导致鸡汤温度受火焰(输入)波动的影响较大,导致鸡汤温度(输出)的波动较大。
那么,我们可以将这个特点进行抽象,得到“惯性环节”。
惯性环节的分析
如果我们在t = 0时刻开火,并保持煤气灶阀门不变(火焰大致相同),则砂锅的温度曲线大致如下:

鸡汤温度变化
由于砂锅本身可以吸热并存储热能,因此鸡汤的温度不是“迅速地”与火焰(输入)保持同步,而是有一定的“惯性”,会逐渐升高。
而且,由于砂锅可以吸收并存储相当热量,因此砂锅系统的温度更稳定:
当火焰在某时刻由于燃气波动而减小时,砂锅可以通过余热来“保温”,使鸡汤温度下降不至过于迅速。
因此,从数学上说,砂锅和电容是一回事,它们都可以看作“低通滤波器”,可以过滤“高频扰动”,使系统输出“平滑而稳定”。
对下图“一阶RC滤波电路”的电容来说,高频扰动是输入电压的高频波动;对砂锅系统来说,高频扰动是火焰的高频波动。

一阶无源RC滤波器
生活中其它的惯性环节
直流电机的“电压(输入)”到“转速(输出)”是一阶惯性环节,因为电机转动也是有“惯性”的。
又比如,单容水槽,输入水流量到输出水流量也是一阶惯性环节,这可以有严格的数学推导。

单容水槽
因此,自动控制理论就是抽出了现实世界现象的实质,拨开外表,深入本质。
欢迎订阅我编写的“信号与系统分析”专栏内容,深入浅出,弄懂信号系统。