点击上面“卧龙会IT技术“图标关注我们!
如果看到我们文章第二次了,该关注了!
抄个LDO电路调整了下输出电压就翻车了
听起来运气差,有点背,实质是能力没有达到放心抄的境界
Author:卧龙会 关羽兄弟
|| 前言
借鉴经典电路或者模块电路,是提升设计效率一种便捷方式。随着EVM等参考设计越来越全面丰富,在原理图设计部分貌似感觉愈来愈没有技术含量,愈来愈没有存在感了。
本文就是通过一个案例,借助仿真工具及计算工具来分析问题和提升设计。简单的证实抄电路,抄到了他的形,但是缺失了他的魂。看到了功能,忽略了原理,更不用说预留裕量了。当然有时候也抄到了糟粕,顺道背了个锅,不过这个也怨不得别人。谁愿自己那个啥啥有限了。原创*今条头日**:卧龙会IT技术
今天就以一个典型的1117 LDO电路应用中碰到的问题展开分析,看看老撕鸡测试碰到问题是怎样处理分析的,一起上车了。

|| 正文
问题背景
某日,正在梦想变成高富帅,赢取白富美的时刻。突然被一声不和谐的另类声音给打断了,

"老司机,测试出来LDO输出电压不对"
"高了低了,能不能一次说完;比预期低了看下分压是否符合芯片要求,负载是否在正常范围内;高了,计算下分压部分及dropout voltage符不符合;有振荡了,看下输入输出电容ESR是否满足需求。这些我写的设计规范都有,XXXYYY… …" 原创*今条头日**:卧龙会IT技术

"老撕鸡,输出比设计高了0.4V多。我没有看出啥问题,我计算了下分压是对的,负载不到200mA"

"还有,领导说这个产品明天要发板。让你介入下"

"我,没人了。就剩了一块板在面前"

问题分析
先看下原理图

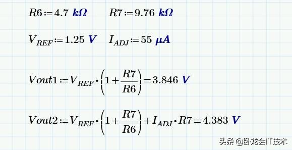
看这原理图画的666,老司机我都不一定能搞出这么规范的原理图来。按照这个公式算下来,没毛病啊。

但是总感觉这个图抄的痕迹太明显了,R2411/R2488都是哪里来的?太假了,太假了,无耻啊。

原理图画的666,不代表设计的666哦。比如上图,抄的666。上图的计算方法是不是感觉特别熟悉,是的,我也觉得似曾相识。Buck DCDC一般的计算方法不就是这样的吗,为啥到了LDO就不能这样了,莫非欧姆定律、KCL、KVL不管用了。你多虑了,想的太远了。

看看DCDC、LDO Block区别吧,啥也不用说,就看看图中红色部分就好了。


简单总结就是。对于DCDC FB端是电流流入的;对于LDO,ADJ端是有电流流出的。


尽管电流都很小(当然DCDC FB端输入电流更小一个等级),但是都不能忽视哦。

那就啥也不说了,重新计算吧


如果说计算还不行,那就自己仿真下看看。搭个电路测量下,想多了,这个就不是老司机干的活了。

只要能偷懒,绝对不能放弃这个机会哦!直接在凌力尔特的1117 demo仿真文件上改就好了,来吧。



问题展望
看起来是否问题已经完全解决了,其实按照正常来说。此处应该采用一个Low drop voltage LDO,我们目前这个drop voltage正好处于边缘值。好在我们其实负载比较小,电流在200mA以内,也是可以的。不差钱换个低压差的最好了。原创*今条头日**:卧龙会IT技术

输入输出电容要求是否满足?
怎样能在现有条件下让输出更精准点?
|| 总结

总结起来就是能偷懒就偷懒,不能偷懒就不要偷懒,偷懒的前提是懂和理解。抄袭的前提也是看的懂放心抄,似懂非懂慎重抄,不明白了就别抄的那么过分了。

原创:卧龙会 关羽兄弟
感谢支持! 给我们关注,评论区留言,转发,是更大的支持!
卧龙会,卧虎藏龙,IT,电子行业高手汇聚!