黄河流域生态保护和高质量发展亟待解决缺水问题
刘昌明1,2,刘小莽1,田 巍1,谢佳鑫1
(1.中国科学院 地理科学与资源研究所,北京 100101;2.北京师范大学 水科学研究院,北京 100875)
摘 要:黄河是中华民族的母亲河、中华文明的重要发源地。黄河流域地处气候湿润-干旱过渡带,其天然禀赋决定了水资源先天不足且时空分布极其不均,无序用水和气候变化等的叠加影响曾使黄河干流发生罕见的断流现象,未来水资源短缺态势将更加突显,缺水是黄河流域生态保护和高质量发展面临的最大挑战。为解决缺水问题,揭示了黄河流域作为湿润-干旱过渡带典型流域,其水循环对气候变化的高度敏感性,阐释了近年来黄河中游植被恢复对径流和蒸发等水循环过程的影响,评估了基流补给对于黄河流域水资源的重要性,指出如何落实空间均衡理念、实施引水补源(包括南水北调西线工程)和科学调水是当前解决黄河缺水问题需要重点研究的课题。
关键词:生态保护;高质量发展;缺水;引水补源;黄河流域
黄河是中华民族的母亲河和中华文明的重要发源地。2019 年9 月18 日,习*平近**总书记在郑州主持召开黄河流域生态保护和高质量发展座谈会,指出了当前黄河流域面临的突出问题,这些问题都与水息息相关。从千年、百年与近几十年的不同时间尺度来看,随着社会经济发展的规模扩张及其速度加快,黄河流域水资源先天不足、未来水资源短缺的态势将更加突显。根据全国水资源调查评价成果,黄河流域水资源量仅为长江流域的5%,在全国排序居后。黄河流域地表水开发利用率和消耗率已分别达86%和71%,远超流域水资源承载能力,缺水已成为黄河流域生态保护和高质量发展面临的最大挑战。
1 黄河缺水的主要特征
(1)黄河干流曾发生罕见的断流现象。自20 世纪70 年代以来,黄河流域自然水循环遭到无序用水的人为破坏和气候变化等的叠加影响,丧失了水资源可再生或可更新性,干流曾出现断流现象。1972—1999年的28 a 中黄河下游共有22 a 发生断流,平均每5 a就有4 a 发生断流,花园口以下的所有水文站都有断流记录,其中利津站有22 a 发生断流,共计断流1 091 d,平均每年约有50 d 断流。从断流的时间长短来看,80 年代以前断流的时间较短,90 年代以后断流的时间较长,几乎每年都发生断流,其中在干旱的1997 年利津站断流226 d,累计330 d 无入海径流。断流对下游滩区“三生”用水、河道冲淤及防洪等造成极大的影响。自1999 年开始,黄河水利委员会实施流域水量统一调度,为黄河干流断流问题的解决做了大量工作并取得巨大成效,黄河干流连续20 多年未再断流,显示了基于需水管理的流域水量统一调度对黄河治理开发的重大意义。
(2)黄河是水量时空分配不均的典型气候过渡带世界大河。黄河水少与来水时空变化大等特征使其成为国内外典型的缺水大河,其天然禀赋是重要原因。一般情况下,流域淡水资源的补给来源主要是降水。按照气候带的一般划分标准(湿润区年降水量大于800 mm,半湿润区年降水量介于800 ~400 mm 之间,半干旱区年降水量介于400 ~200 mm 之间,干旱荒漠区年降水量小于200 mm),黄河流域地理位置横跨中国大陆的气候过渡带,流域平均年降水量约为460 mm,年内与年际波动大,时空分布极其不均,流域南部秦岭的年降水量最大可达1 000 mm,而北部宁蒙地区的年降水量则在200 mm 以下。如果没有黄河流经宁蒙地区,那么河套地区的“塞上江南”理应为沙漠,可见黄河哺育宁蒙地区的重要作用。因此,应进一步深入研究黄河“空间均衡”,科学探讨黄河分区水资源配置战略。
(3)黄河流域基流补给的重要性。如前所述,黄河的显著特征是水量少且时空分布不均,但黄河是世界第5 长的大河,源远流长是黄河的重要水文地理特征。这种特征形成的原因是需要重点研究的一个课题,我们初步认为,这种特征与黄河流域的基流补给有关,上游地区(水塔区)丰富的土壤水与地下水以基流形式大量补给了黄河。此外,根据还原的黄河流域天然径流量数据来看,兰州至河口镇流域面积20 多万km2,天然径流量并没有增加,而在河口镇以下流域天然径流量大幅增加,这可能与鄂尔多斯岩溶区储存的地下水以基流形式补给黄河有关,从而维持了黄河的细水长流、源远流长。应当指出的是,当前对鄂尔多斯岩溶区地下水与河流补给的关系研究甚少,需要关注。
2 对几个有待研究问题的探讨
黄河缺水的多个特征是黄河治理开发研究的切入点,因此有许多科学问题需要探索,下面仅就几个重要问题进行讨论。
(1)对气候变化和人类活动对黄河流域水循环影响的探讨。水循环是水资源开发利用的基础,对黄河流域水循环对气候变化和人类活动响应机制认识的不足,是当前黄河流域提升科学管理水平的重要制约因素。黄河流域是典型的气候湿润-干旱过渡带流域(见图1,图中两条红线之间的区域即为中国湿润-干旱过渡带),其水循环的时空过程对气候变化非常敏感,揭示气候变化与各种人类活动叠加影响下黄河流域水循环的变化机理是黄河流域水资源管理的重要科学内容。

图1 干旱年湿润-干旱过渡带典型小流域径流系数变化情况
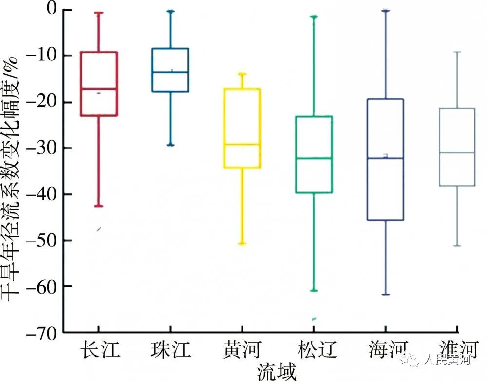
在气候变化背景下,干旱发生的频率和强度都在提高,干旱发生时流域的产流过程和降水径流关系会发生变化,进而可能导致流域水资源可利用量下降,因而需要研究干旱对流域降水径流关系的影响,提高对干旱年水资源可利用量模拟和预测的精度。分析干旱年我国六大流域径流系数变化情况(见图2)及不同气候区(湿润-干旱过渡带、湿润区)265 个小流域径流系数变化情况(见图1),结果表明,与非干旱年相比,干旱年流域径流系数显著下降,下降的幅度存在明显的区域分异,位于湿润区的流域干旱年径流系数平均下降17%,而位于过渡带的流域平均下降33%,黄河流域平均下降29%,干旱对黄河等过渡带流域水资源的影响显著,即干旱年过渡带的流域径流量将明显减少、水资源可利用量大幅下降,这给水资源管理带来更大挑战。分析不同水文气象要素和流域特征要素对干旱年径流系数变化幅度的影响,发现流域气候条件、植被覆盖情况以及地形要素等都会对干旱年径流系数变化幅度产生影响,气候越干旱、植被覆盖越少且地形越平坦的流域干旱年径流系数下降幅度越大。过渡带与湿润区相比,流域气候更为干旱,植被覆盖情况相对更差,因而过渡带干旱年径流系数下降幅度比湿润带更大。

图2 干旱年六大流域径流系数变化情况
除气候变化外,植被恢复是近年来影响黄河流域水循环的重要因素。1999 年,时任国务院总理*镕基朱**提出“退耕还林(草)、封山绿化、以粮代赈、个体承包”生态建设方针,全国开始大范围实施退耕还林还草、植树造林,其中黄土高原地区实施了一系列生态恢复策略,使得黄河中游地区土地利用/覆被发生了显著变化,成为我国植被增加最为显著的区域之一[1]。植被增加导致流域水循环过程及其要素发生了深刻的变化,直接表现为径流量锐减,进而使流域水资源供需矛盾加剧并对流域生态环境造成一定影响。原因是植被覆盖增加,使得蒸散发量上升,大量蓝水转化为绿水,导致蓝水显著减少。黄河流域水热条件的天然禀赋决定了植被不可能无限制增加,根据多年的相关研究工作和实践经验,笔者认为:目前黄河中游植被状况与水热条件基本达到了相对平衡状态,植被恢复的效应趋于稳定[2];未来黄河中游蓝水—绿水转化关系将随气候变化而有所波动,黄河水量可能会因水热条件的制约而不再大幅度地减少;绿水耗散的现象将成为必然,从未来研究工作来看,如何有效管理绿水、控制绿水耗散是黄河流域水量转化研究的重要内容。
(2)对黄河流域基流补给的探讨。对基流有不同的定义,其主要分为以下三类:①河道中径流的补给来源可分为地表径流、壤中流、地下径流三部分,基流是补给到河流的地下径流;②基流是指地下径流和慢速壤中流之和(这类定义基于传播时间);③流域出口断面的流量过程中,除地表径流外均为基流。笔者认同第一类定义,即基流是补给河流的地下径流。作为河川的基本流量,基流在工农业供水、调节夏季河流水温、为鱼类等提供全年性栖息地等生态系统服务中有重要作用。除了鄂尔多斯岩溶区有丰富的岩溶地下水补给黄河外,黄河源区多年平均基流量占径流总量的比例约为65%[3],长江源区基流占比达到77%[4]。
采用8 种常用的图解法和数字滤波法分割了黄河上游唐乃亥站和兰州站的基流过程,所采用的方法包括:英国水文研究所[5]开发的平滑最小值法(UKIH),美国地质勘探局[6]开发的固定间隔法(Fixed)、滑动间隔法(Slide)和局部最小法(Local),Lyne 和Hollick[7]、Chapman[8]、Eckhardt[9]、Tularam 和Ilahee[10]分别开发的数字滤波方法(分别用LH、 Chapman、Eckhardt、TI表示)。表1 为采用8 种不同方法分割基流并计算的唐乃亥站和兰州站1956—2015 年平均基流系数(基流占总径流的比例),唐乃亥水文站多年平均基流系数在0.66~0.84 之间,兰州水文站多年平均基流系数在0.70~0.85 之间。由此可见,黄河年径流量虽然不大,但是径流中基流占比却很大,使黄河涓涓细流能流长逾万里。准确估算黄河流域基流的时空变化,对优化黄河流域水资源配置、保障流域水安全与粮食安全有重要作用。
表1 8 种方法分割计算的唐乃亥和兰州站平均基流系数

(3)对南水北调西线工程的认知和探讨。黄河流域人均水资源量小,但水资源开发利用率接近80%,居全国之首,20 世纪70—90 年代频繁断流是黄河缺水的最明显表现。2000 年以来,虽然黄河未再断流,但由于径流衰减和用水刚性需求增加,流域地下水开采量增加、湖泊和支流河道水量减少,因此缺水是黄河流域生态保护和高质量发展面临的最大挑战。目前黄河流域的节水水平总体高于全国平均水平,虽然仍有一定的节水潜力,但潜力不大。在此背景下,南水北调西线工程被认为是缓解黄河流域水资源短缺的重要措施之一。但调水问题复杂,涉及众多的自然—人—水关系及经济社会发展战略和生态环境保护等方方面面,如何实现科学调水是当前需要重点研究的问题。
应按照国家经济社会发展的长期目标与生态环境保护的迫切需求,在全面深入查勘的基础上,进行调水的科学规划,采用现代信息技术系统研究水资源的供需平衡问题,包括水资源调出区、受水区和输水通过区三个区的水资源研究,确定各区的取用水性质,排除非资源性缺水地区的调水需求。关于调水线路与规模等各种调水方案,应在决策科学理论的指导下来选择,需要考虑调水对生态环境的影响,进行分区生态环境评价。要特别注意长距离调水沿线的自然条件与经济社会状况一定有很大的地理差异性,并将其作为“空间均衡”的研究内容。
美国西部缺水地区的加州调水工程曾经是世界上规模最大的调水工程,输水干渠长约700 km,年均调水量为50 亿m3,调水工程的成功运营对加州和美国经济发展起到了巨大的作用,被誉为“重塑加州”,使得加州“富可敌国”,经济总量超过英国等国家。我国南水北调东中西三条线路的规划总长是加州调水工程的4 倍以上,调水量是其9 倍左右,从南水北调东中西线的“三纵四横”的战略布局看,其构成了我国供水体系的“半壁江山”,工程效益潜力巨大。
水资源合理开发利用是一项系统工程。我国正处于城镇化快速发展阶段,城镇生活与工业需水的日益增长需要满足,全国农业生产、农村与农民的用水需要保障,国家生态环境用水也需要保障,水安全涉及的问题与面临的挑战众多。采取跨流域调水“以富济贫”,不失为有效之策,但是解决水问题的举措并非只有调水一种。习*平近**总书记提出的新时期十六字治水方针“节水优先,空间均衡,系统治理,两手发力”中,系统治理与空间均衡正是科学调水的内涵。据此,水利部提出要“全面节水、合理分水、管住用水、科学调水”。
落实黄河流域生态保护和高质量发展,即既要保护又要发展,两者有矛盾的对立统一性,可以理解为在保护中开发和在开发中保护,实现生态保护与绿色发展的双赢。从科学研究上来看,需要进一步研究气候变化和人类活动对黄河流域水循环及水资源的影响。南水北调西线工程是缓解黄河流域水资源短缺的重要措施,如何实现水资源优化配置、引水补源科学调水,是当前解决黄河缺水问题需要重点研究的课题。
3 结 语
2019 年9 月习*平近**总书记视察黄河并主持召开黄河流域生态保护和高质量发展座谈会后,笔者在《人民黄河》2019 年第10 期发表的《对黄河流域生态保护和高质量发展的几点认识》[11],探讨了黄河长治久安的一些科研问题,本文应是前文的后续,分析了黄河作为国内外典型缺水大河的一些水文地理特征,希望在深入研究这些特征的基础上,探索黄河流域生态保护和高质量发展的途径。笔者认为,建设幸福河亟待解决缺水问题,引水补源是当务之急,应在深刻领会习*平近**总书记提出的十六字治水方针的基础上,分析西线南水北调的必要性与可行性,进行工程规模与线路等科学调水方案的研究论证。
解决黄河流域的缺水问题是一项巨大的系统工程,涉及生态环境保护与经济社会发展的多学科及跨学科综合研究。本文仅对几个重要问题进行了研讨,并非全面的论证,因此疏漏与谬误难免,敬请读者批评与指正。
参考文献:
[1]BAI P, LIU X, ZHANG Y, et al.Assessing the Impacts of Vegetation Greenness Change on Evapotranspiration and Water Yield in China [J].Water Resources Research,2020, e2019WR027019.
[2]刘昌明,李艳忠,刘小莽,等.黄河中游植被变化对水量转化的影响分析[J].人民黄河,2016,38(10):7-12.
[3]陈利群,刘昌明,郝芳华,等.黄河源区基流变化及影响因子分析[J].冰川冻土,2006,28(2):141-148.
[4]陈帅,鲁程鹏,李姝蕾,等.长江干流朱沱站—大通站基流变化特征[J].南水北调与水利科技,2015,13(5):823-826.
[5]Institute of Hydrology.Low Flow Studies Report No.1:Re⁃search Report [ R ].Wallingford, UK:Institute of Hydrology, 1980:13-18.
[6]SLOTO R A, CROUSE M Y.Hysep:a Computer Program for Streamflow Hydrograph Separation and Analysis[R].Re⁃ston, VA:US Geological Survey, 1996:38-45.
[7]LYNE V, HOLLICK M.Stochastic Time⁃Variable Rainfall⁃Runoff Modelling[C]//Institute of Engineers Australia Na⁃tional Conference.[S.l.][s.n.], 1979:89-93.
[8]CHAPMAN T G.Comment on “Evaluation of Automated Tech⁃niques for Base Flow and Recession Analyses” by R J NATHAN and T A MCMAHON [J].Water Resources Research,1991,27(7):1783-1784.
[9]ECKHARDT K.How to Construct Recursive Digital Filters for Baseflow Separation[J].Hydrological Processes, 2005,19(2):507-515.
[10]TULARAM G A, ILAHEE M.Exponential Smoothing Method of Base Flow Separation and its Impact on Continuous loss Es⁃timates[J].American Journal of Environmental Sciences,2008,4(2):136-144.
[11]刘昌明.对黄河流域生态保护和高质量发展的几点认识[J].人民黄河,2019,41(10):158.
Ecological Protection and High⁃Quality Development of the Yellow River Basin Urgently need to Solve the Water Shortage Problem
LIU Changming1,2, LIU Xiaomang1, TIAN Wei1, XIE Jiaxin1(1.Institute of Geographic Sciences and Natural Resources Research, Chinese Academy of Sciences,Beijing 100101, China;2.College of Water Sciences, Beijing Normal University, Beijing 100875, China)
Abstract:The Yellow River is the mother river of the Chinese nation and the cradle of Chinese civilization.The Yellow River Basin is located in the humid⁃arid transition zone.Its natural characteristics determine the shortage and uneven distribution of water resources.The superim⁃posed influence of disorderly water use and climate change has caused zero flow phenomena in the mainstream of the Yellow River.The water shortage situation will become more prominent in the future.Water shortage is the biggest challenge facing the ecological protection and high⁃quality development of the Yellow River Basin.In order to solve the problem of water shortage, we revealed that the Yellow River Basin is a typical watershed in the humid⁃arid transition zone and its water cycle is highly sensitive to climate change.We discussed the impact of vege⁃tation restoration in the middle reaches of the Yellow River on water cycle such as runoff and evaporation in recent years and assessed the im⁃portance of base flow recharge to the water resources of the Yellow River Basin.We pointed out the key research topics that need to be studied to solve the water shortage problem of the Yellow River,including conducting the concept of spatial balance,carrying out water diversion pro⁃ject (the West Route of the South⁃to⁃North Water Transfer Project) and scientific water diversion.
Key words: ecological protection;high⁃quality development;water shortage;water diversion to supplement the source;Yellow River Basin
作者简介:刘昌明(1934—),男,湖南汨罗人,中国科学院院士,博士生导师,国际著名地理水文水资源学家
引用格式:刘昌明,刘小莽,田巍,等.黄河流域生态保护和高质量发展亟待解决缺水问题[J].人民黄河,2020,42(9):6-9.
