“麦叔,我的老师说,我们班是她带过的最差的一届学生,如果你来做我们班主任,你会怎么管理啊?”
“麦叔,如果让你带全校最乱最难管的班级,你能胜任吗?”
看了这两个问题,你可能会猜麦叔的答案是‘以暴制暴’吧?
那你太不了解麦叔了
下文总计3194字,阅读时间约10分钟,麦叔的答案就在里面~
最近,在全网各种花式官宣声中,一部叫《嗝嗝老师》的印度电影如一股清流般无声无息的火了一把。从口碑出众的《摔跤吧,爸爸》,再到《神秘巨星》、《小萝莉的猴神大叔》,印度电影异军突起,在现实主义题材电影中脱颖而出,让中国的观众看完电影总能回味许久,当然近期上映的《嗝嗝老师》也没有让我们失望。
影片的女主奈娜患有‘抽动秽语综合症’,会不受控制地头部抽动并发出“嗝嗝”的怪声,经过18次面试失败后终于找到了自己梦寐以求的教师工作,然而却被派去教全校最差的班级9F班,她的学生是14名全部来自贫民窟而且非常调皮叛逆的孩子。于是乎,这个特殊的老师带着一群特殊的孩子展开了一场逆袭。

虽然故事一开头,我们就能猜到结局,但是在没有歌舞的前提下,仍然全剧无尿点,作为印度电影铁粉的麦叔不由得要为这部电影点个赞!同时还要感叹一句,印度除了有神油,还真的从不缺神剧啊!

同为教师的麦叔,也默默为嗝嗝老师竖起了大拇指。让一群差生们接受老师的奇怪举止已经不易,把他们带上正道更是难上加难,再将复杂的理科知识灌输给这样一群“自暴自弃”的熊孩子,在常人看来简直就是天方夜谭。
而除了感慨剧中良性的师生关系之外,麦叔的“职业病”也犯了,一边看剧一边不忘思考一个问题:这些看似很复杂的理科知识,如果让麦叔来教授,又要从哪里入手呢?不妨让麦叔来帮你划一下剧中的科学知识重点,顺便了解一下印度中学大纲吧。
片段1: 熊孩子的恶作剧

这是熊孩子的恶作剧中最具“科技含量”的一个,把液氮灌入瓶中,利用液氮在密封塑料瓶中气化产生的压力制造爆炸,威力极大。本片编导的灵感应该来自于下面这个视频:
1500个乒乓球让你感受液氮汽化爆发出的洪荒之力
大家看看就可以了哈,切勿在家模仿!

但就像嗝嗝老师说的那样,这个恶作剧也许在暗示着这群熊孩子在理科方面的天赋吧。
片段2: ‘抛鸡蛋’中的物理和数学


嗝嗝老师在赢得熊孩子们的信任后的第一课,出人意料地选择在室外上课。嗝嗝老师用抛鸡蛋的方法给学生解释了抛物运动的轨迹(parabola)。细心的麦粒儿们可能已经发现黑板上的抛物线怎么多出了一段呢?其实麦叔认为这个细节反而证明了编导的“理科功底”:老师站着抛鸡蛋,学生坐着接鸡蛋,所以鸡蛋的最终位置应该是低于抛出位置的。 此外,嗝嗝老师还用女生奥露躲开鸡蛋的动作引出了牛顿第二定理(F=ma),从黑板上的公式不难看出,编导还不忘了告诉大家:力(F)和加速度(a)都是向量!
片段3: 拉文德的数学天赋


嗝嗝老师在家访的时候发现具有数学天赋的小哥拉文德在街边聚众赌博维持生计,于是嗝嗝老师在一堂课上让小哥当众展示了自己的心算能力,并鼓励他既然要赌,就要去股票市场这个大舞台“合法地赌博”。麦叔不禁想吐槽一句,如果“嗝嗝”知道中国股市的情况,她还会这么说吗?赌博固然不好,但毕竟还有赢的几率,这跟中国股市还是有很大却别的。
片段4: 操场上的大型实验


嗝嗝老师为了解释能量守恒,在操场上和熊孩子们用篮球做起了实验。麦粒儿们看清楚这个公式了吗:Fx+mgh=1/2mv²+mc∆T. 咦?怎么和大家在中学学习的不太一样呢,不应该是重力势能转化为动能的公式mgh=1/2mv² 吗? 麦叔只能说,印度中学的物理课程似乎比英美澳加要更深一点,嗝嗝老师显然是考虑到了物体在空中运动的过程中还受到了空气阻力的影响,空气阻力使得篮球发热,从而把一部分的机械能能转化为了热,并可以用来计算。而等式左边的Fx, 麦叔推测是坐在篮球架上的小哥向下扔球对球的做功吧,做功使篮球获得了一些额外的能量。因此就有了Fx+mgh=1/2mv²+mc∆T. 简单来讲,篮球的重力势能(mgh)和通过小哥做功获得的额外能量(Fx), 在篮球下落的过程中被转化为了动能(1/2mv²)和热(mc∆T.)。


也就不难解释,为什么熊孩子们要在做实验之前测量篮球的质量和温度了吧。不过,麦叔必须说一句,从并不太高的地方让球落下,因为摩擦产生的温度变化也太小了吧,即便有热量产生,那也应该很快辐射到大气中了。当然电影就是电影,只要没有颠倒是非,又何必太较真儿呢。
片段5 ‘嗝嗝老师’的化学实验
身为理学硕士的嗝嗝老师果然是理化兼修,物理实验做得轰轰烈烈,化学实验却是精巧有趣。麦叔挑选了其中的几个和大家分享一下:
1. 膨胀反应产生的奇妙现象。

或者感兴趣的麦粒儿们可以再百度下“法老之蛇”实验,原理是差不多的。
2.用简单的实验解释内聚力(cohesion)和附着力(adhesion)的区别



连理科渣渣“小胖哥”貌似都充分理解了,不过这个类比做得有点扎心啊!
3.可乐加曼妥思的“网红实验”。

这个想必不用麦叔再多解释了吧。
片段6: 学渣KO学霸

这可以说是本剧中最精彩的片段之一了,9A班学霸和9F班学渣的正面较量! 9F学渣们在参观9A学霸们的太阳能Science Project的时候,被学霸小哥哥怒怼一通。谁料“猪队友”学霸小姐姐在关键时刻掉链子了!在计算光能过程中犯下了低级错误,居然使用了爱因斯坦的质能公式E=mc2!学过物理的麦粒儿们想必应该知道爱因斯坦的质能公式可是用来计算核裂变的能量的,而不是光伏电池的能量啊!


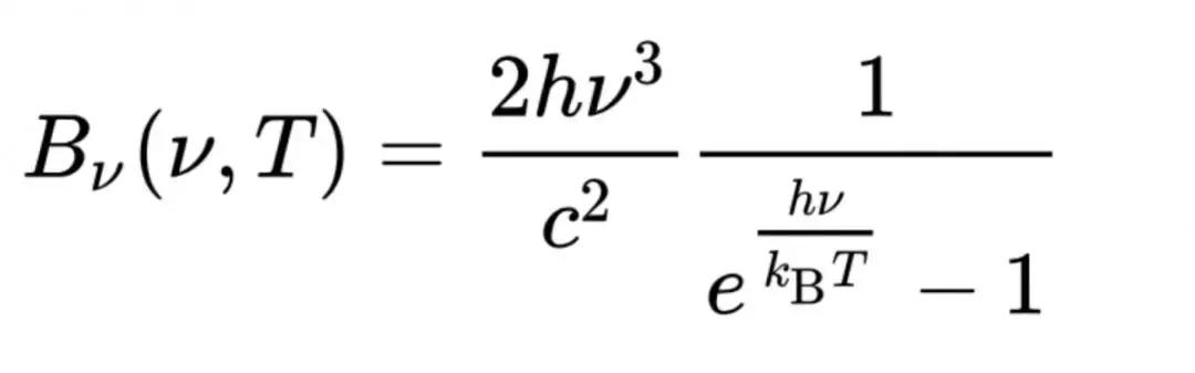
此时9F学渣小姐姐站了出来,及时把公式更正为了E=hv光子能量公式,瞬间让学霸小哥和小姐姐成了背景板!不过麦叔也要敲敲小黑板,E=hv并不叫普朗克公式,只是用到了普朗克常数h。真正的普朗克公式是长这样的:

但是这个口误已经不重要了,面对9A学霸的“羞辱”能够逆袭成功,麦叔想想也是大快人心啊。值的一提的是,这位9F学渣小姐姐,在期末考试中居然拿了全校第一名,还成功获得了优秀奖章(prefect)呢。
好了,《嗝嗝老师》的物理和化学课就介绍到这里,在文章的末尾,麦叔还是想引用一下剧中那句老掉牙的台词:没有差的学生,只有差的老师。
麦叔认为,学渣和学霸的差距就是一位优秀的老师。就如奈娜老师在影片开头的那句话:‘合格的老师教知识,优秀的老师教做人‘, 一名优秀的老师不仅能够用简单易懂的方式传递知识,更懂得如何激发学生对于学习的积极性。
正在国际课程的水深火热中挣扎的小伙伴们,你还在犹豫什么,赶紧来见一见麦粒学院里指引你爱上学习的优秀老师吧~




麦粒学院 成立于 2016 年,由数位具有深厚学术背景的国际课程专家一手创立, 旨在为国际教育体系下的中国学生以及海外留学生提供全方位的学术支持。麦粒学院的课程包括理科,商科和文科3大学科板块,覆盖A level, IB, AP, 加拿大BC,和澳洲VCE五大主流国际课程。麦粒导师们都毕业于海外顶尖名校,拥有化学工程,物理化学, 数学,经济学和英语语言教学等学位, 且均有三年以上的国际课程授课经验。麦粒导师们多年深耕于教研工作,独家研发20余款国际课程教学产品,旨在帮助学生对海外课堂应付自如,并最终获得高分。