大家好,最近有朋友留言询问为什么在机器学习中的损失函数用2n为底,如下公式所示。

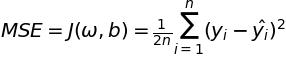
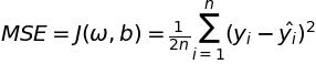
损失函数
如上图所示,MSE(Mean-square error,均方误差)是比较常用的损失函数方程。确实,MSE公式中,如果使用n替换掉2n,可以达到同样的效果。
那么,为什么大部分公式中倾向保留2n呢?
机器学习的目的
在机器学习中,当有了数据集(dataset),我们需要创建一个模型,使得模型的预测值和数据集中的真实值尽可能地接近。但是,预测值和真实值是几乎不可能一样的,这样就存在一个误差值。

误差
其中,机器学习的目的是不停地迭代,使得模型的预测值和数据集中的真实值的总体误差尽量小。
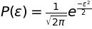
误差的分布假设

误差分布
也就是说,当我们使用机器学习模型的时候,我们是允许误差的存在。简单来说,训练数据集中有多少个数据点,就会生成相应数量的误差。简单来说,我们可以假设所有的误差符合一个统计分布,比如正态分布。

误差的正态分布
对于误差来说,自然希望误差尽可能接近0。这样可以假设误差符合标准正态分布。

误差的标准正态分布

标准正态分布
通过标准正态分布的公式可以得到误差的分布公式,如下:

误差的标准正态分布公式
对上式左右取对数,可得:

上式只是对于数据集中的一个数据点的计算,当我们需要求出所有数据点的平均值的时候,可以得到MSE的计算公式,当然第二项是常数项,在计算中可以省略。

损失函数
求导数方便
当然,使用2n而不是n对于之后的损失函数求导也会方便很多。由于(x^2)' = 2x。这样一来,求导之后,2会被约分掉。
总结
很多时候,公式里的常数项会有一定的理由存在。不用去死记硬背公式,我们需要的是去理解公式本身的含义。